| Issue |
JNWPU
Volume 43, Number 6, December 2025
|
|
|---|---|---|
| Page(s) | 1091 - 1100 | |
| DOI | https://doi.org/10.1051/jnwpu/20254361091 | |
| Published online | 02 February 2026 | |
Transient analysis method of aerothermoelasticity based on ARMA model
基于ARMA模型的瞬态热气动弹性分析方法
1
School of Aeronautics, Northwestern Polytechnical University, Xi'an 710072, China
2
National Key Laboratory of Aircraft Configuration Design, Xi'an 710072, China
3
Unmanned System Research Institute, Northwestern Polytechnical University, Xi'an 710072, China
4
National Key Laboratory of Unmanned Aerial Vehicle Technology, Xi'an 710072, China
5
Sichuan Tengden Technology Co., Ltd., Chengdu 610036, China
Received:
27
February
2025
Abstract
A novel time-domain method is introduced to address the challenges of aerothermoelastic analysis in the rapidly changing transient thermal environments for hypersonic vehicles. The present method strikes a balance between the computational accuracy and the efficiency. Firstly, the autoregressive moving average (ARMA) model is used to replace the aerodynamic simulations. Subsequently, a time-domain method for aeroelastic analysis is established by coupling the ARMA model and the modal superposition method. Thereafter, the aerodynamic heating is calculated by using the numerical method based on Euler equations in conjunction with the established engineering techniques. The transient thermal field is simulated by using the bidirectional coupling of aerodynamic heating, heat conduction and heat radiation. Finally, based on the hierarchical coupling strategy, an efficient and accurate time-domain method for aerothermoelastic analysis in the transient thermal environment is presented. This method utilizes the structural mode as a connecting hub between aeroelastic analysis and transient thermal field simulation. The performance of the present method for aerothermoelastic analysis is evaluated by using the hypersonic wing. Results indicate that computational efficiency is improved by about 3.5 times comparing with the aerothermoelastic analysis method that directly employs the RANS method for aerodynamic calculations. Meanwhile, the relative error in the thermal flutter boundary is below 12%.
摘要
针对时变性强的瞬态热环境下高超声速飞行器所面临的热气动弹性问题, 发展了一种兼顾计算精度与效率的瞬态热气动弹性时域分析方法。采用自回归滑动平均模型(autoregressive moving average, ARMA)进行非定常气动力降阶, 并耦合模态叠加法建立气动弹性时域分析方法; 结合基于Euler方程的数值方法与工程算法进行气动热高效计算, 并通过气动热-热传导-热辐射双向耦合实现瞬态热环境求解; 以结构热模态为枢纽实现气弹分析与热环境计算之间的单向耦合, 从而建立了瞬态热环境下的热气动弹性时域分析方法。针对高超声速机翼开展的热气弹分析算例表明: 相较于不使用降阶模型而直接采用RANS方法进行气动力计算的热气弹分析方法, 所建立的瞬态热气动弹性分析方法计算效率提升约3.5倍, 同时热颤振边界的相对误差控制在12%以内。
Key words: hypersonic / transient thermal environment / unsteady aerodynamic identification / reduced-order model / aerothermoelastic analysis
关键字 : 高超声速 / 瞬态热环境 / 非定常气动力辨识 / 降阶模型 / 热气动弹性
© 2025 Journal of Northwestern Polytechnical University. All rights reserved.
This is an Open Access article distributed under the terms of the Creative Commons Attribution License (https://creativecommons.org/licenses/by/4.0), which permits unrestricted use, distribution, and reproduction in any medium, provided the original work is properly cited.
高超声速飞行器具有飞行速度快、巡航距离远以及突防能力强等显著优势,已成为21世纪航空航天领域的重要发展方向,以美国和俄罗斯为首的世界军事强国近年来不断加大对高超声速飞行器技术的研究力度[1–2]。有别于常规飞行器,高超声速飞行器在高速飞行时,需要承受严酷的气动力、热载荷,容易诱发热气动弹性问题[3]。这一问题对于飞行器的飞行安全和任务性能影响重大,甚至会造成灾难性后果[4]。因此,热气弹问题已成为高超声速飞行器研究领域的重要方向,并在近年来得到了广泛关注与深入研究[5]。
目前针对热气弹问题的研究手段主要包括地面试验、风洞试验和计算热气动弹性力学(computational aerothermoelasticity, CATE)等。其中CATE方法相较于其他方法具有成本低和使用方便的优势,被广泛应用于复杂热气动弹性问题的研究中。CATE方法的建立主要包括2个方面:气动、热、结构等子学科的计算方法和多学科间的耦合方式。多学科间的耦合方式包括流-热-固分层耦合方法[4]和双向耦合方法[6]。其中,分层耦合方法将热气弹问题分解为气动热问题和气动弹性问题两部分,抓住了主要物理特征,同时有助于提高计算效率,因此现有研究普遍采用该方法[5, 7]。
随着计算机计算能力和数值仿真方法的不断发展,高精度计算流体力学(computational fluid dyna-mics, CFD)、计算热力学(computational thermal dynamics, CTD)以及计算结构力学(computational structural dyna-mics, CSD)等方法被大量应用于各子学科的数值计算。为了更加准确和深入地分析热气弹问题的物理规过程和规律,这些高精度方法开始逐渐被应用于CATE方法。秦梦竹[8]基于高精度CFD/CTD/CSD多场耦合方法研究了空天飞行器舵面的热气动弹性问题。徐飞[9]基于高精度CFD/CTD/CSD多场耦合方法研究了考虑瞬态加热的高超声速翼面热气弹问题。
然而,热气弹问题是一个典型的复杂多学科耦合问题,采用各子学科均为高精度仿真方法的CATE方法,虽然可以保证计算精度的大幅提高,但也将导致计算效率的下降,难以满足工程型号研制中对气弹设计快速性、准确性的严格要求[10]。因此,建立兼顾热气弹分析精度和效率的CATE方法是十分必要的。对此,Falkiewicz等[11]基于Kriging模型和本征正交分解(proper orthogonal decomposition, POD)方法建立了气动热和结构瞬态热传导的降阶模型,大幅提高了热气弹分析的效率。Huang等[12]使用Kriging模型和POD方法对热气弹分析模型中的非定常气动力进行降阶,并针对降阶模型CFD样本的生成策略进行改进,进一步提高了热气弹分析的效率。杨享文等[13]分别采用CFD方法和基于CFD的当地活塞流理论进行气动热与气动力计算,对高超声速全动舵面进行了热气动弹性分析。辛健强等[14]采用修正的牛顿碰撞理论进行非定常气动力计算,利用有限元方法建立温度场影响下舵面结构动力学模型,分析了高温加热效应对舵面颤振稳定性的影响。
上述研究多聚焦于稳态热环境下的热气动弹性问题分析,但是实际飞行中,高超声速飞行器往往需要经历由热累积效应造成的热环境时变性较强的飞行阶段。该阶段飞行器的结构温度与热应力将不断变化,从而导致飞行器热气弹特性的持续改变。若要准确分析该阶段的热气弹问题,必然会加剧计算效率与精度之间的矛盾。因此,本文发展了一种兼顾计算精度与效率的瞬态热环境下的热气动弹性时域分析方法。该方法基于分层耦合策略,将瞬态热气弹问题分解为气动热-热传导-热辐射问题和气动弹性问题的耦合。采用基于系统辨识方法的ARMA降阶模型[15]进行气弹分析过程中非定常气动力求解,耦合气动热与热辐射工程算法和热传导数值方法实现瞬态热环境的求解,从而在保证较高计算精度的前提下,有效提高瞬态热气弹分析的效率。
1 计算方法
2 模态叠加法
结构运动方程可以统一写成(1)式所示形式。
(1)
式中: M为质量阵; D为阻尼阵; K为刚度阵; q为位移; f为外力。
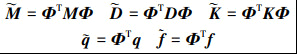
为了提高系统动响应分析效率, 往往将(1)式转化至模态空间, 采用模态叠加(mode superposition)法进行求解。通过求解(2)式的特征值问题, 即可获得模态频率与模态振型。
(2)
式中: φm为第m阶模态振型; ωm为第m阶模态频率。由相关振动理论, 通常忽略对结构影响很小的模态, 仅保留前N阶模态, 并将模态振型记作Φ, 则(1)式转化为模态方程形式,即
(3)
式中:
为广义质量阵;
为广义阻尼阵;
为广义刚度阵;
为广义位移;
为广义力, 其具体形式为
(4)
3 基于RANS方程的非定常气动力求解方法
本文将RANS方程作为主控方程,进行高精度气动力求解, 其守恒形式的表达式为
(5)
式中:Q为流场守恒变量; F, G和H为x, y, z方向的无黏通量; Fv, Gv和Hv为黏性通量。RANS方程的求解采用团队自研三维可压缩求解器[16], 其中无黏通量采用Roe格式离散, 黏性通量采用中心差分格式离散, 湍流模型采用k-ω SST两方程模型, 非定常时间推进采用双时间步方法。
采用高超声速双椭球算例[17]进行求解器精度验证。图 1展示了数值模拟(CFD)和风洞试验的压力系数Cp的对比, 二者吻合良好, 表明求解器在高超声速流动中具有较高的计算精度。
![]() |
图1 对称面上表面与下表面压力系数分布 |
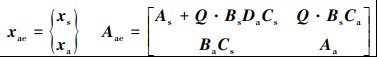
4 基于ARMA模型的非定常气动力降阶方法
基于1.2节所述的高精度CFD技术的气弹时域数值模拟计算量非常大, 其中非定常气动力的计算量占据了整个数值模拟的绝大部分。为此, 本文基于ARMA模型建立了一种气动力降阶模型, 以提高非定常气动力的计算效率。
基于ARMA模型的非定常气动力降阶模型是一种基于时间序列的降阶模型, 其差分方程表达式为
(6)
式中:
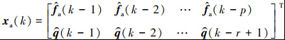
为CFD计算所得n维广义气动力输出向量; p, r分别为系统输出和输入的延迟阶数; k为离散时间变量; Ai, Bi是模型中待辨识的参数;
为n维广义位移输入信号。考虑到过滤高斯白噪声(FWGN)信号频带宽且幅值范围广, 选其作为输入信号。
将离散差分方程(6)转化为离散状态空间方程形式, 其状态方程和输出方程可表示为
(7)
式中:
为静平衡气动力, 对动气弹动稳定性分析无影响, 在后续分析中将其去除; xa为气动力降阶模型的状态变量;
和
为降阶模型系数矩阵, 其具体形式如(8)~(9)式所示。
(8)
(9)
基于(7)式构建“多输入-多输出”(multiple input multiple output, MIMO)非定常气动力降阶系统, 采用同时输入N个广义位移信号激励N个模态的方式, 通过最小二乘方法辨识出
和
, 从而实现非定常气动力的ARMA降阶模型的建立。
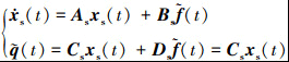
5 气动弹性时域分析方法
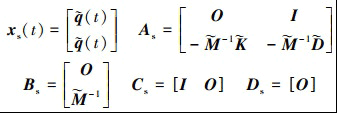
为构建气动弹性系统状态空间形式的控制方程, 首先将模态空间的结构运动方程(3)转换为状态空间形式, 即
(10)
式中
(11)
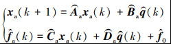
将离散状态的气动力降阶模型(7)通过特征系统实现方法(eigensystem realization algorithm, ERA)转化为连续时间状态空间方程, 可以得到
(12)
耦合结构运动方程(10)和气动力降阶模型方程(12), 将广义气动力
乘以动压作为结构所受外力
, 将结构广义位移
作为气动力降阶模型的位移输入
, 建立如(13)式所示的气动弹性控制方程。
(13)
式中
(14)
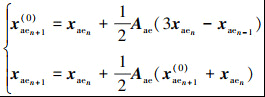
因预估-校正方法能够提高颤振分析的效率和鲁棒性, 故采用二阶Euler预估-校正方法求解状态空间方程(13), 该方法具体形式如(15)式所示。
(15)
式中: xaen+1(0)表示tn+1=(n+1)δt(n=1, 2, 3⋯)时刻状态变量的预估值; xaen+1表示tn+1时刻的校正值。基于上述时间推进方法, 本文所建立的时域气动弹性分析流程如图 2所示, 描述如下:
![]() |
图2 时域气动弹性分析流程 |
1) 建立结构有限元模型并进行模态分析, 获得模态频率、模态振型及相关模态参数;
2) 将模态振型从结构网格插值到气动网格上, 而后输入FWGN信号, 通过基于RANS方程的CFD求解器计算得到模态强迫激励下的广义气动力, 采用ARMA模型辨识,建立非定常气动力的降阶模型;
3) 输入初始扰动值, 采用二阶Euler预估-校正方法求解气动弹性状态空间方程, 直至满足结束要求, 即具备颤振特性判断条件后结束计算;
4) 结果后处理, 计算广义位移时间响应曲线的对数衰减(发散)率, 以判断颤振收敛或发散状态。
6 瞬态热环境计算方法
高超声速飞行器瞬态热环境主要由气动加热、热辐射和热传导构成。
对于气动加热的部分, 基于普朗特边界层理论, 可将全流场简化为边界层外的无黏流场和边界层内黏性主导的区域两部分来进行求解。①边界层外无黏流场直接采用三维可压缩Euler方程求解, 获得物面压力pe。而后结合等熵关系式和激波关系式等, 确定其他的边界层外缘参数。②边界层内黏性区域的求解, 可将机翼分为驻点、迎风面和背风面3个区域, 分别利用Kemp-Riddell公式[18]、Eckert参考焓方法[19]和经验公式法[20]进行表面热流qw求解。该方法在高超声速气动热计算中的精度已得到广泛验证, 具体可参见文献[21–22]。
对于热辐射部分, 飞行器表面涂层向外辐射的辐射换热公式为
(16)
式中: qwr为壁面辐射热流; Tw为壁面温度; σ=57.6×10-9 W/(m2·K4)为波尔兹曼常数。ε为壁面向外辐射系数, 大多数涂层的取值在0.7~0.9之间, 不失一般性, 本文取ε=0.85用于后续计算。
对于热传导部分, 依据Fourier定律, 不考虑内部热源的结构内部瞬态热传导方程如(17)式所示。
(17)
式中: kx, ky, kz为热导率;cs为结构比热容; ρs为结构密度。该方程求解时空间离散方法采用中心差分格式, 时间推进采用二阶Runge-Kutta方法, 边界条件采用给定热流的边界条件。
上述三部分热环境间存在紧密的相互作用。其中, 气动加热产生的热流qw与热辐射的热流qwr共同决定了热传导的热流qws(如(18)式所示), 而热传导所得壁温又将作为qw与qwr计算的边界条件。
(18)
对此, 本文采用松耦合方法将上述三部分相互耦合, 建立了如图 3所示的瞬态热环境分析方法, 描述如下:
![]() |
图3 瞬态热环境的流热双向耦合分析流程 |
1) 给定飞行参数初始化翼面温度;
2) 将tn(n=0, 1, 2, ⋯)时刻的翼面温度分布作为温度边界条件, 求解机翼气动加热和辐射换热热流;
3) 根据(18)式计算壁面向结构内部传导的热流, 将其作为热流边界条件求解热传导方程, 获得tn+1时刻的结构内部和翼面温度分布;
4) 若计算时间tn+1达到给定时间ttotal, 则结束迭代, 否则更新翼面温度分布返回步骤2进行下一时间步迭代。
7 热气弹分析方法
分层耦合方法在热气弹问题中已被广泛采用[5],其通过考虑各物理场的时间尺度差异与气动-热-结构各学科之间耦合关系的强弱(如图 4所示),忽略其中弱耦合的影响,将瞬态热气弹问题分解为气动热-热传导-热辐射问题和气动弹性问题的耦合。
![]() |
图4 热气弹问题中各学科的强弱耦合关系 |
气动热-热传导-热辐射问题和气弹问题的求解可分别采用上文所建立的瞬态热环境计算方法和气动弹性时域分析方法进行求解,二者之间通过结构热模态建立单向耦合关系,从而实现瞬态热环境下基于ARMA/Engineering/CTSD耦合框架的热气动弹性分析方法的建立,后文简记为AEC方法。该方法的具体流程如图 5所示,描述如下:
![]() |
图5 瞬态热环境下的热气弹分析流程 |
1) 在给定时间内,根据飞行参数,开展气动热-热传导-热辐射耦合分析,获得瞬态热环境下各个时刻机翼表面与结构内部的温度分布;
2) 针对上述各时刻开展结构热模态分析,获得各个典型时刻的模态频率、模态振型及相关模态参数;
3) 依据模态分析结果,选取热气弹分析的典型时刻,而后采用ARMA模型辨识建立非定常气动力的降阶模型;
4) 针对各典型时刻,开展时域气动弹性分析,并根据广义位移时间响应曲线的对数衰减(发散)率计算颤振边界。
8 算例验证
本文选择典型高超声速机翼作为研究算例,其几何尺寸如图 6所示,其中c表示机翼弦长。为避免尖锐的前后缘,对前缘进行了钝化处理,后缘则保留很小的厚度。
![]() |
图6 机翼几何外形 |
选取总巡航飞行时间为4 000 s,飞行参数如表 1所示。CFD计算网格和结构有限元网格如图 7所示。其中CFD计算网格量为139万,壁面法向第一层网格满足y+小于1的要求,以确保气动力计算的精度。结构有限元模型采用实体单元,根部固支约束条件,结构材料选用Ti60高温钛合金。
来流计算参数
![]() |
图7 机翼CFD计算网格与结构有限元网格 |
9 热气弹分析
为验证AEC方法的有效性,本文选用精度更高的CFD/Engineering/CTSD耦合方法(简记为CEC方法)进行对比分析。两方法的整体分析流程基本相同,主要区别在于CEC方法的气动力计算采用基于RANS方程的高精度CFD方法。除此之外,气动热、热辐射、热传导、结构动力学求解等均与AEC方法保持一致。
首先进行气动热-热传导-热辐射耦合分析。计算时间取为0~4 000 s。其中,零时刻为初始没有受到气动加热的时刻,表面初始温度为300 K。对于时间步长的选取,由于气动热系统与热传导系统的特征时间相差过大,可将气动热-热传导-热辐射的瞬态耦合简化为准定常耦合。即以慢变的热传导系统的特征时间进行瞬态求解,而在每个瞬态时刻对气动热系统进行稳态求解。另外,在时间步长选取时,还需要保证初始热流剧烈变化阶段机翼温度的精确计算,最终方案选取为:0~20 s,时间步长为0.01 s;20~400 s,时间步长为0.1 s;400~4 000 s,时间步长为1 s。
图 8展示了机翼在0, 20, 600和2 400 s时的表面温度分布,分析可知,机翼表面温度随迭代时间增长而不断增大,且不同位置的温升速度差异较大,如图 9所示。其中,驻点处强烈的气动加热和慢变的结构热传导使得前缘附近温度和温度梯度升高得最快,在最初的20 s左右,前缘驻点温度就达到了稳态热饱和,饱和温度为1 256 K。随后在外部气动热流和高温前缘的共同作用下,其他部位的温度开始逐渐升高。在2 400 s,根弦中点位置的温度达到了稳态热平衡,且饱和温度为965 K。
![]() |
图8 不同时刻机翼表面温度分布 |
![]() |
图9 根弦驻点与根弦中点温度随时间变化 |
接下来对机翼达到稳态热平衡之前的各个时刻均开展热模态分析。为简单起见,后续分析仅展示前2阶模态的结果,这2个模态对于机翼的颤振特性起主导作用。图 10为前2阶模态频率随时间的变化曲线,分析可知各阶模态频率随时间增加而不断减小并最终趋于稳定。其中,在0~200 s内,由于瞬态热耦合初期前缘附近温度迅速升高和温度梯度增长较快导致各阶模态频率快速下降;在200~1 200 s内,各阶模态频率还是有明显下降,但是下降速度大幅度减小;在1 200~2 400 s内,各阶模态频率几乎没有变化,机翼各个位置的温度基本达到了热饱和状态。另外,如图 11~12所示,t=0, 20和2 400 s的前2阶模态振型基本一致,可见温升与热应力对于机翼的模态振型影响较小。
![]() |
图10 第一阶与第二阶模态频率随时间变化 |
![]() |
图11 不同时刻第一阶模态振型 |
![]() |
图12 不同时刻第二阶模态振型 |
基于上述分析,选取机翼达到稳态热平衡之前t=0, 10, 20, 200, 400, 600, 800, 1 200, 1 600, 2 000和2 400 s作为热气弹分析的典型时刻。而后,采用各时刻的前4阶热模态进行气动力降阶模型训练。图 13所示为t=1 200 s时刻,FWGN信号激励下ARMA降阶模型预测的前2阶广义气动力与CFD计算结果的对比,分析可知,ARMA模型的预测值与CFD计算结果吻合良好。
![]() |
图13 ARMA模型预测的广义气动力与CFD结果对比 |
针对各典型时刻,分别采用AEC方法和CEC方法开展气弹分析以计算热颤振边界。首先,选取一组飞行速度(共计10个状态)作为热颤振边界搜索的假定值,分别对其进行气弹分析,并计算每次获得的广义位移时间响应曲线的对数衰减(发散)率。而后,通过插值求解得到对数衰减率为0时所对应的速度,该速度即为颤振速度。利用该速度进行热气弹分析所得振动频率即为颤振频率,本文所研究机翼的颤振主要由一、二阶模态的耦合振动所致,且一阶模态的振幅占据主导,因此颤振频率取第一阶模态振动频率。图 14~15给出了AEC方法和CEC方法的气弹计算结果对比。分析可知,AEC方法和CEC方法所预测的瞬态热环境下机翼的热颤振边界变化趋势基本一致,即在0~200 s内,颤振边界下降的最快,200~1 200 s内,下降速度逐渐减小,1 200~2 400 s内,颤振边界几乎没有下降,逐渐收敛到稳态值。同时,AEC方法预测所得颤振速度和颤振频率与CEC方法的相对误差均保持在12%以内,说明本文所建立的AEC方法针对瞬态热环境下的热气弹问题具有相对较高的精度。
![]() |
图14 AEC方法与CEC方法颤振速度对比 |
![]() |
图15 AEC方法与CEC方法颤振频率对比 |
为进一步探究AEC方法相较于CEC方法的误差来源,选取典型时刻t=2 400 s进行分析。当给定来流速度U=2 500 m/s时,图 16所示分别为AEC方法和CEC方法计算所得前2阶广义位移的时间响应曲线。此时前两阶段广义位移的振幅均较小且逐渐收敛。对比两方法所得一阶和二阶广义位移的结果可知,AEC方法与CEC方法计算所得广义位移振幅和频率十分接近,且一阶广义位移的衰减率也基本保持一致。
![]() |
图16 AEC与CEC方法广义位移对比(U=2 500 m/s) |
当来流速度U=5 500 m/s时,图 17所示分别为AEC方法和CEC方法计算所得前2阶广义位移的时间响应曲线。此时2种计算方法所得结果仍表现出收敛趋势,但AEC方法所对应的振幅衰减率明显更高,因而机翼振动衰减得也更快。
![]() |
图17 AEC与CEC方法广义位移对比(U=5 500 m/s) |
当进一步增加来流速度至U=6 000 m/s时,图 18为AEC方法和CEC方法计算所得前2阶广义位移的时间响应曲线,此时两方法的差异性进一步扩大。其中,CEC方法所得结果的衰减趋势较弱,基本趋于等幅振荡,且由于一、二阶模态频率此时已十分接近,因此振幅相较于U=2 500 m/s时增加了约1个量级。但AEC方法此时仍表现出一定的收敛趋势。
![]() |
图18 AEC与CEC方法广义位移对比(U=6 000 m/s) |
通过上述分析可知,随着来流速度的增加,两方法的差异也逐步增大。由于ARMA降阶模型均基于来流速度(真实来流速度)训练,该速度远离颤振速度(如图 14所示),因此训练过程中机翼的振幅相对较小。而随着颤振分析时施加的来流速度不断增大后,机翼振幅也增大。大振幅下高超声速流动的非线性变化增强,原小振幅下气动力与振动运动间关系同样可能发生非线性变化,导致ARMA模型的精度下降,最终使AEC方法预测的颤振边界较CEC方法产生一定差异。
10 计算效率
为进一步评估AEC方法在瞬态热环境下热气弹分析效率的提升,本文对CEC方法与AEC方法的计算时间进行了统计分析。统计结果均基于Intel(R) Xeon(R) CPU E5-2682 v4 @ 2.50 GHz 32进程的计算平台。
表 2为CEC方法与AEC方法的计算耗时,分析可知AEC方法相较于CEC方法其计算效率提高了3.5倍左右。由于两方法瞬态热环境计算所采用的方法相同,因此二者的主要差距来自于气弹分析部分。其中,CEC方法在每次颤振边界搜索计算时均需要采用高精度CFD方法进行非定常气动力计算,而AEC方法在每个状态点仅需进行1次ARMA模型的样本数据计算及模型训练,即可实现多次颤振边界快速搜索计算,其气弹分析部分的计算时间大幅缩短,仅为CEC方法的16%。因此,AEC方法相较于CEC方法对于瞬态热环境下的热气弹分析问题具有一定的效率优势,且该优势可随着颤振分析时刻的增多而进一步增大。
计算时间对比
11 结论
本文针对高超声速飞行器所面临时变性强的瞬态热环境下的热气动弹性问题,基于ARMA气动力降阶模型,建立了一种兼顾计算精度与效率的热气弹时域分析方法(AEC方法),实现了考虑热累积效应的瞬态热气弹问题的分析。
为验证AEC方法的有效性,本文以高超声速机翼为研究对象开展了热气弹分析。结果表明,与直接采用RANS方法进行气动力计算的CEC方法相比,AEC方法在计算颤振边界时的相对误差控制在12%以内,且颤振边界随飞行时间的变化趋势与CEC方法基本一致。此外,由于ARMA降阶模型的使用,AEC方法在气弹分析部分的计算耗时仅为CEC方法的16%,总计算效率则提高了约3.5倍。
综上所述,AEC方法在计算效率和精度方面表现出较高的工程实用价值,有望进一步应用于高超声速翼、舵等结构在全飞行轨迹内所面临的瞬态热气弹问题的研究。
References
- BERTIN J D, CUMMINGS R M. Fifty years of hypersonics: where we've been, where we're going[J]. Progress in Aerospace Sciences, 2003, 39(6/7): 511–536 [Google Scholar]
- ZHANG Can, WANG Yipeng, YE Lei. Summary of the technological development of overseas hypersonics in the past ten years[J]. Tactical Missile Technology, 2020, 204(6): 81–86 (in Chinese) [Google Scholar]
- YE Zhengyin, MENG Xianzong, LIU Cheng, et al. Progress and prospects on aeroelasticity of hypersonic vehicles[J]. Acta Aerodynamica Sinica, 2018, 36(6): 984–994 (in Chinese) [Google Scholar]
- WU Zhigang, HUI Junpeng, YANG Chao. Hypersonic aerothermoelastic analysis of wings[J]. Journal of Beijing University of Aeronautics and Astronautics, 2005, 31(3): 270–273 (in Chinese) [Google Scholar]
- YANG Chao, ZHAO Huangda, WU Zhigang. Research progress of aerothermoelasticity of air-breathing hypersonic vehicles[J]. Journal of Beijing University of Aeronautics and Astronautics, 2019, 45(10): 1911–1923 (in Chinese) [Google Scholar]
- CULLER A J, MCNAMARA J J. Studies on fluid-thermal-structural coupling for aerothermoelasticity in hypersonic flow[J]. AIAA Journal, 2010, 48(8): 1721–1738 [Article] [Google Scholar]
- YE Kun. Research on the critical aerothermoelastic problems for air-breathing hypersonic vehicle[D]. Xi'an: Northwestern Polytechnical University, 2018 (in Chinese) [Google Scholar]
- QIN Mengzhu. The aerothermoelastic simulation of aerospace vehicle in hypersonic environment[D]. Xi'an: Northwestern Polytechnical University, 2017 (in Chinese) [Google Scholar]
- XU Fei. Multi-field coupled fluid-thermal-structural analysis of hypersonic wing[D]. Nanjing: Nanjing University of Aeronautics and Astronautics, 2015 (in Chinese) [Google Scholar]
- LI Qiuyan, LI Gang, WEI Yangtian, et al. Review of aeroelasticity design for advanced fighter[J]. Acta Aeronautica et Astronautica Sinica, 2020, 41(6): 44–70 (in Chinese) [Google Scholar]
- FALKIEWICZ N J, CESNIK C E S, CROWELL A R, et al. Reduced-order aerothermoelastic framework for hypersonic vehicle control simulation[J]. AIAA Journal, 2011, 49(8): 1625–1646 [Article] [Google Scholar]
- HUANG D, ROKITA T, FRIEDMANN P P. An aerothermoelatic analysis framework enhanced by model order reduction with applications[C]//58th AIAA/ASCE/AHS/ASC Structures, Structural Dynamics, and Materials Conference, 2017 [Google Scholar]
- YANG Xiangwen, WU Jie, YE Kun, et al. Study on aerothermoelasticity of a hypersonic all-movable control surface[J]. Chinese Journal of Theoretical and Applied Mechanics, 2014, 46(4): 626–630 (in Chinese) [Google Scholar]
- XIN Jianqiang, QU Qiang, XU Xiaojing, et al. Aerothermoelastic analysis method of hypersonic vehicle rudder[J]. Structure & Environment Engineering, 2015, 42(3): 1–9 (in Chinese) [Google Scholar]
- GUPTA K K, BACH C. Systems identification approach for a computational-fluid-dynamics-based aeroelastic analysis[J]. AIAA Journal, 2007, 45(12): 2820–2827 [Article] [Google Scholar]
- ZHANG Yu, BAI Junqiang, QU Feng. Study on design characteristics of airfoil pressure distribution for low Mach number general aircraft[J]. Journal of Northwestern Polytechnical University, 2023, 41(1): 28–38 [Article] (in Chinese) [Google Scholar]
- LI Suxun. Hypersonic flow characteristics for typical configurations[M]. Beijing: National Defense Industry Press, 2007 (in Chinese) [Google Scholar]
- KEMP N H, ROSE P H, DETRA R W. Laminar heat transfer around blunt bodies in dissociated air[J]. Journal of the Aerospace Sciences, 1959, 26(7): 421–430 [Article] [Google Scholar]
- ECKERT E R G. Engineering relations for friction and heat transfer to surfaces in high velocity flow[J]. Journal of the Aeronautical Sciences, 1955, 22(8): 585–587 [Google Scholar]
- ENGEL C D, PRAHARAJ S. Miniver upgrade for the avid system1: lanmin user's manual[R]. NASA-CR-172212, 1983 [Google Scholar]
- YANG Kai, GAO Xiaowei. Engineering algorithm for aeroheating environment of hypersonic aircrafts[J]. Missiles and Space Vehicles, 2010, 308(4): 19–23 (in Chinese) [Google Scholar]
- CHEN Xin, LIU Li, LI Yulin, et al. Engineering calculation of aerodynamic heating for airfoils of hypersonic vehicles[J]. Journal of Projectiles, Rockets, Missiles and Guidance, 2013, 33(3): 133–137 (in Chinese) [Google Scholar]
All Tables
All Figures
![]() |
图1 对称面上表面与下表面压力系数分布 |
| In the text | |
![]() |
图2 时域气动弹性分析流程 |
| In the text | |
![]() |
图3 瞬态热环境的流热双向耦合分析流程 |
| In the text | |
![]() |
图4 热气弹问题中各学科的强弱耦合关系 |
| In the text | |
![]() |
图5 瞬态热环境下的热气弹分析流程 |
| In the text | |
![]() |
图6 机翼几何外形 |
| In the text | |
![]() |
图7 机翼CFD计算网格与结构有限元网格 |
| In the text | |
![]() |
图8 不同时刻机翼表面温度分布 |
| In the text | |
![]() |
图9 根弦驻点与根弦中点温度随时间变化 |
| In the text | |
![]() |
图10 第一阶与第二阶模态频率随时间变化 |
| In the text | |
![]() |
图11 不同时刻第一阶模态振型 |
| In the text | |
![]() |
图12 不同时刻第二阶模态振型 |
| In the text | |
![]() |
图13 ARMA模型预测的广义气动力与CFD结果对比 |
| In the text | |
![]() |
图14 AEC方法与CEC方法颤振速度对比 |
| In the text | |
![]() |
图15 AEC方法与CEC方法颤振频率对比 |
| In the text | |
![]() |
图16 AEC与CEC方法广义位移对比(U=2 500 m/s) |
| In the text | |
![]() |
图17 AEC与CEC方法广义位移对比(U=5 500 m/s) |
| In the text | |
![]() |
图18 AEC与CEC方法广义位移对比(U=6 000 m/s) |
| In the text | |
Current usage metrics show cumulative count of Article Views (full-text article views including HTML views, PDF and ePub downloads, according to the available data) and Abstracts Views on Vision4Press platform.
Data correspond to usage on the plateform after 2015. The current usage metrics is available 48-96 hours after online publication and is updated daily on week days.
Initial download of the metrics may take a while.


















