| Issue |
JNWPU
Volume 37, Number 1, February 2019
|
|
|---|---|---|
| Page(s) | 80 - 86 | |
| DOI | https://doi.org/10.1051/jnwpu/20193710080 | |
| Published online | 03 April 2019 | |
Fast Denoising of Sonar Image Based on Saliency Detection
基于显著性检测的声呐图像快速降噪研究
School of Marine Science and Technology, Northwestern Polytechnical University, Xi’an 710072, China
Received:
2
March
2018
Abstract
Sonar image is inevitably contaminated by noise during the acquisition process, while the noise reduction algorithms with good performance are usually of high time complexity. The human visual attention mechanism usually guides the eyes to salient region and gives priority to those visual information. In view of this, saliency detection based on manifold ranking was introduced into sonar image processing, to divide the image into two parts:salient region and non-significant region. For the salient region with small proportion, block-matching and 3-D filtering (BM3D) algorithm was adopted to reduce noise and protect the main information of the image; for the non-significant background which was not very concerned, high efficiency mean filtering was used. On the collected sonar image data set, the present algorithm was compared with the classic MF and BM3D algorithms through the subjective and 2 objective evaluation indexes. The experimental results show that the efficiency of the present algorithm is much higher than that of BM3D, while the image visual effect is guaranteed, which is satisfied with the real-time application requirement of autonomous underwater vehicles.
摘要
声呐图像在获取过程中易受噪声污染,而降噪性能好的算法通常时间复杂度较高。鉴于人类视觉注意机制,将基于流形排序(MR)的显著性检测方法引入声呐图像处理,将图像自动分割为显著区域和非显著区域两部分。对于占比小的显著区域采用三维块匹配(BM3D)算法降噪以保护图像主要信息,对非显著背景区域采用执行效率较高的均值滤波(MF)算法。将所提算法同经典MF,BM3D算法进行主观和客观评价指标对比,结果表明,所提算法在提高图像视觉效果的同时,执行时间较BM3D算法大为减少,可以满足水下航行器实时作业的应用需求。
Key words: sonar image / image denoising / manifold ranking / saliency detection / image segmentation / block-matching and 3-D filtering / mean filtering
关键字 : 声呐图像 / 图像降噪 / 流行排序 / 显著性检测 / 图像分割 / 三维块匹配 / 均值滤波
© 2019 Journal of Northwestern Polytechnical University
This is an Open Access article distributed under the terms of the Creative Commons Attribution License (http://creativecommons.org/licenses/by/4.0), which permits unrestricted use, distribution, and reproduction in any medium, provided the original work is properly cited.
随着我国海洋强国和海上丝绸之路战略的实施, 水下探测技术在海洋开发和海洋军事领域的价值愈发突显。三维声呐成像技术是近几年水下探测最重要的革新之一, 通过大规模平面换能器阵列和波束形成技术实时获得水下场景三维图像[1], 在水下航行器避障、海港安保、沉船打捞和水下侦查等方面具有广泛的应用前景。相比于光学成像设备, 成像声呐作用距离远且能在浑浊水域工作。但由于水声传播环境复杂, 图像在获取过程中通常受到噪声干扰, 目标被噪声淹没的情况时有发生, 给图像特征提取、自动目标识别等后续处理造成很不利的影响[2]。
对于声呐图像降噪问题, 大多借鉴较为成熟的光学图像处理方法, 这些方法主要分3类:第一类专注于噪声图像的局部平滑, 如均值滤波(MF)、双边滤波等, 优点在于处理速度快, 但是降噪效果不理想; 第二类降噪算法利用图像的统计特性来降噪, 如小波变换[3]、离散余弦变换等。这些算法的降噪效果依赖于所变换到的空间, 无法充分利用图像自身信息, 降噪能力受到一定限制; 第三类降噪算法从图像整体出发, 充分利用图像块间的相似性和图像稀疏性, 能够取得不错的降噪效果, 如非局部均值(non-local means, NLM)算法[4]、三维块匹配(BM3D)算法[5-6]。BM3D降噪算法将非局部思想与变换域方法成功结合, 2007年提出至今仍然是图像处理领域最好的降噪算法之一。经过数年发展, BM3D算法已经从灰度图像处理扩展到彩色图像[7]和视频图像降噪[8]处理中。然而, 由于BM3D算法计算复杂度高导致图像降噪过程需要耗费较多时间, 对水下大场景成像的声呐图像, 难以满足实时性处理的应用需求[9]。
人眼视觉的一个重要特性是将有限的处理资源优先分配到感兴趣的区域上[10]。类似的, 真正影响自主水下航行器决策的, 只是声呐图像中的一部分区域[11]。所以, 不同于追求整幅图像高画质的光学图像处理, 本文提出基于显著性检测的声呐图像快速降噪方法。对于图像中目标所在的显著性区域, 采用降噪效果好的BM3D算法, 而对于声呐图像中并不十分关心的背景(非显著)区域, 采用执行效率较高的均值滤波方法降噪。从而在保证图像视觉效果的同时, 兼顾降噪算法执行效率, 以满足自主水下航行器(AUV)实时作业的应用需求。
1 图像显著性检测
1.1 三维声呐图像
三维成像声呐可以实时获取水下三维场景图像, 并能对水下观测目标进行多视角、高速连续“拍摄”, 因而在水下目标探测方面具有广泛应用前景。Echoscope[12]是全球首款也是分辨率最高的实时3D声呐, 声呐头与控制器之间通过一根电芯完成供电、数据传输和控制, 最大作用距离120 m。图 1为装载在水下航行器上的成像声呐Echoscope, 以及使用该声呐对水下坦克残骸的成像结果。
由图 1b)可以看出, 声呐图像由目标区、阴影区和海底背景区三部分组成。目标区由海底物体较强的回波形成, 与目标区相邻的阴影区是由物体对声波的遮挡形成的声学阴影, 其余区域是海底混响形成的背景区, 其特点是细碎的亮区与暗区交替出现。与光学图像相比, 声呐图像是一种低频图像, 细节信息相对较少; 人们真正感兴趣的是图像目标区, 同样也是影响水下自主航行器决策的关键区域, 而对大面积的背景区并不十分关心。为了提高图像质量, 减少噪声对航行器后续的目标识别等产生干扰, 去除噪声, 尤其是目标区噪声非常必要。
![]() |
图1 Echoscope及其成像效果 |
1.2 基于流形排序的图像显著性检测
众所周知, 人类可以从复杂场景中快速找到感兴趣的区域, 完成对场景的理解。这要归功于人类视觉系统的信息选择策略, 利用视觉注意机制引导人眼在海量数据中注视到显著区域, 并分配资源进行优先处理[13]。
显著性检测(saliency detection, SD)通过智能算法, 使计算机模拟人类的视觉注意机制, 自动地提取图像中的显著区域, 即人眼感兴趣的区域[10]。目前, 基于图模型的显著性检测方法有着很高的检测准确率。其中, 基于图的流形排序[14-15] (manifold ranking, MR)的显著性检测方法综合利用图像中背景和前景的先验位置分布以及连通性, 得到很好的显著性检测效果, 且执行效率较高。
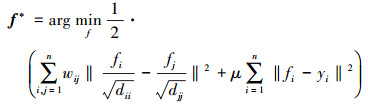
基于图的流形排序问题可以简单描述如下:定义图中某些节点为查询对象(query), 而图中剩余节点根据其与查询对象之间的相关性进行排序。具体而言, 给定一组数据集X={x1, x2, …, xn}∈Rm×n, 其中某些数据被标记为查询对象。定义排序函数f:X→Rn, 其作用是相对于查询对象给每个数据xi分配相应的排序得分, 这里可以将f看成是一个向量f=[f1, f2, fn]T。对于图模型G=(V, E), 节点V由数据集X构成, 边E的权重由关联矩阵W=[wij]n×n表示。那么对于给定的查询对象的排序评分可通过求解最优化问题(1)式获得
(1)
式中, D=diag{d11, …, dnn}是G对应的度矩阵, dii=
; y=[y1, y2, …, yn]T是定义的指示向量, 当xi是查询对象时, yi=1,否则yi=0;参数μ用于平衡第一项的平滑约束和第二项的拟合约束条件。将(1)式对f求导并令其等于0, 可得到最优解。
本文采用基于图的流行排序的显著性检测方法[15], 以检测声呐图像的显著区域, 检测算法流程如图 2所示:
1) 采用边界优先的原则, 分别以图像四边为背景, 利用流行排序估计前景的显著性
(2)
式中,f*(i)为归一化节点i的排序得分。
2) 合并四边的估计结果, 得到初始的显著性图
(3)
3) 阈值化初始显著性图得到二值前景图;
4) 利用前景进行流行排序得最终显著性图Sfq。
(4)
![]() |
图2 基于流行排序的显著性检测方法 |
2 声呐图像快速降噪
当前声呐图像降噪问题, 大多借鉴光学图像处理方法。这些方法中, 执行效率较高的降噪方法对图像边缘等细节不能很好保留, 降噪效果差; 而降噪效果好的算法计算量大, 时间复杂度高, 难以满足实际应用需求。本文在考虑声呐图像自身特点的基础上, 联系声呐图像实际应用, 借鉴人类视觉注意机制, 将基于流形排序的显著性检测方法引入声呐图像降噪中, 提出一种效果较好的声呐图像快速降噪算法, 具体流程如图 3所示。
算法首先采用基于流形排序的显著性检测方法得到与原始图像对应的显著性图; 然后对显著性图做二值形态学处理, 消除细小孔洞, 并利用最小外接矩形将显著性图自动分割为显著区域和非显著区域, 同时也就得到了原始含噪图像的显著区域和非显著区域; 对于占比小的显著区域, 采用BM3D算法降噪以保护图像主要信息; 再结合经MF处理的非显著区域图像, 得到最终降噪图像。从而在保证图像视觉效果的同时, 大大减少算法执行时间。
![]() |
图3 声呐图像快速降噪算法流程 |
2.1 显著性检测
本文以Matlab数学软件作为算法运行环境, 硬件平台配置为Intel Core i3-4160 3.6 GHz CPU和8GB RAM(下文相同)。采用MR算法对原始含噪图像I进行显著性检测, 以坦克残骸的声呐图像为例, 显著性检测结果如图 4所示。图 4a)是原始图像, 根据图中像素的显著性不同, 赋予每个像素[0, 255]之间不同的灰度值, 得到图 4b)所示的显著性图, 为1幅灰度图。灰度值越大表示越显著, 在图中表现的越明亮, 反之, 非显著区域在图 4b)中接近黑色。
![]() |
图4 声呐图像显著性检测 |
2.2 形态学处理
在得到显著性图后, 要进一步确定声呐图像显著区域, 从而将原始图像分割为显著区域和非显著区域。这就需要对显著性图进行二值化(文中采用灰度图的均值作为阈值), 并作形态学处理。
数学形态学是一门建立在集论基础之上的学科, 它的基本思想是将一结构元素与图像进行交、并等集合运算, 基本运算包括膨胀、腐蚀、开启和闭合。用B表示结构元素, 对工作空间E中每一点x, 定义:

先膨胀后腐蚀称为闭运算, 本文使用圆形结构元素对二值化后的显著性图进行闭操作, 以平滑边界并消除物体内孔洞对图像分割的影响[16]。图 5a)和图 5b)分别是对图 4b)所示显著性图二值化和形态学处理的结果, 用最小外接矩阵将形态学处理图像分割为显著性区域和非显著性区域, 矩形框内为显著性区域。参照形态学图像分割结果, 同样将原始图像I分割成包含显著性区域的图像Is和包含背景等非显著性区域的图像Ins, 原始含噪图像的分割结果如图 5c)所示。
![]() |
图5 声呐图像区域分割 |
2.3 三维块匹配算法
BM3D算法的流程如图 6所示, 算法实现主要分为2步。
step1 基础估计, 将图像分割成块并逐块估计。
1) 分组:选取合适的距离阈值τhard, 在一定图像区域里找到所有与当前参考块P相似的图像块Q, 并由这些相似块形成三维矩阵Ω(P);
2) 硬阈值滤波:对三维矩阵Ω(P)进行3D变换, 通过硬阈值收缩3D变换系数达到降噪目的, 再经过3D反变换得到图像块的降噪后估计, 并将它们返回到之前所在图像位置;
3) 聚集:对存在重叠的块估计值进行加权平均, 得到含噪图像的基础估计结果ubasic。
step2 最终估计, 结合ubasic对原图像再次分块并逐块估计。
1) 分组:在基础估计图像一定区域里寻找与参考块相似的图像块, 在原噪声图像中使用与之相同的索引, 形成2个三维矩阵Ωbasic(P)和Ω(P);
2) Wiener滤波:对2个矩阵分别进行3D变换, 由Ωbasic(P)的频谱和噪声方差σ2得到Wiener滤波系数, 对Ω(P)进行Wiener滤波, 然后通过3D反变换得到原始图像的图像块估计, 并将它们返回到之前所在图像位置;
3) 聚集:对存在重叠的块估计值进行加权平均, 得到含噪图像的最终估计结果ufinal。
![]() |
图6 BM3D算法流程 |
2.4 均值滤波
MF是典型的线性滤波算法, 以目标像素为中心构成一个滤波模板, 再用模板中全体像素的均值来代替目标像素原始值。以图 7为例, 选用3×3的滤波模板, 则滤波后中心像素点的值为:
(5)
完成原始图像显著性区域分割后, 对显著性区域图像Is采用BM3D算法降噪得到降噪图像ÎBM3D, 再结合非显著区域图像的均值滤波结果ÎMF, 便可以得到最终的处理结果Îfinal, 即:
(6)
![]() |
图7 均值滤波示意图 |
2.5 图像质量评价
图像降噪的好坏可以从主观和客观上进行衡量。主观评价方法就是让观察者根据事先规定的评价标准(水声图像的几何形状和边缘信息对于图像的理解与识别至关重要)或自己的经验, 对测试图像按视觉效果给出质量分数, 对所有观察者给出的分数进行加权平均, 结果作为图像的主观质量评价。客观评价则是用降噪图像偏离参考图像的程度来衡量降噪图像质量, 图像质量客观评价标准通常有:
1) 均方误差(mean square error, VMSE):
(7)
式中, f,
分别表示参考图像和降噪图像, M和N分别表示图像的高和宽。
2) 峰值信噪比(peak signal to noise ratio, RSN, peak):
(8)
本文将从图像降噪视觉效果、算法执行时间、降噪图像峰值信噪比等方面, 衡量各降噪算法的性能优劣。
3 实验与分析
3.1 实验数据
本文实验数据来源于Echoscope公司官方提供的该声呐在实际环境下对水下不同目标成像的实验结果, 包括飞机、沉船、坦克残骸以及蛙人、水下机器人、岩石在内的100幅声呐图像。
3.2 实验结果
采用本文提出的快速降噪算法, 按照图 3所示流程, 对获取的数百幅三维声呐图像(350×250像素)进行降噪实验, 部分图像处理结果如图 8所示, 由上至下分别是飞机、沉船、坦克残骸和岩石的声呐图像降噪处理结果。
从图 8可以看出, 受噪声污染的图像对比度低、细节模糊; 经过均值滤波处理, 图像噪点减少, 对比度有一定提升; 而BM3D算法在视觉效果上取得很好的结果, 目标轮廓变清晰, 图像对比度进一步提高, 图像细节得到保留; 整体上看, 本文算法与BM3D算法的处理效果相近, 对图像中真正关心的目标所在区域, 达到很好的降噪效果。
从声呐图像数据集中随机选取10幅声呐图像, 从客观评价标准出发, 对3种算法进行比较, 结果如表 1和表 2所示。
由表 1可见, 本文算法相对于均值滤波算法, 降噪后的图像峰值信噪比有较明显提高, 符合图 8中的观察结果; 由表 2可见, 本文提出的基于显著性检测的声呐图像快速降噪算法, 在达到较高信噪比的同时, 运行时间不到BM3D算法的三分之一, 能够更好地满足各种实际应用需求。
![]() |
图8 3种算法的降噪效果对比 |
本文算法与MF算法RSN, peak对比
本文算法与BM3D算法运行时间对比
4 结论
声呐图像对海洋开发具有重要的应用价值, 而图像降噪是图像处理不可或缺的环节。本文借鉴人眼视觉感知特征, 结合声呐图像特点, 提出基于显著性检测的声呐图像快速降噪算法。通过声呐图像降噪实验, 分别比较了经典MF、BM3D和本文所提降噪算法在主观(视觉效果)和客观(峰值信噪比、运行时间)等方面的降噪性能。实验结果表明, BM3D算法与本文算法降噪图像视觉效果相近, 但所提算法在计算效率上有明显改善, 并且比MF算法取得更高的峰值信噪比。所提算法较好地实现了声呐图像的快速降噪, 可以满足水下自主航行器实时作业的应用需求。
References
- Han Y, Tian X, Zhou F, et al. A Real-Time 3-D Underwater Acoustical Imaging System[J]. IEEE Journal of Oceanic Engineering, 2014, 39(4): 620-629 [Article] [NASA ADS] [CrossRef] [Google Scholar]
- Fei T, Kraus D, Zoubir A M. Contributions to Automatic Target Recognition Systems for Underwater Mine Classification[J]. IEEE Trans on Geoscience & Remote Sensing, 2014, 53(1): 505-518 [Article] [NASA ADS] [CrossRef] [Google Scholar]
- Hel-Or Y, Shaked D. A Discriminative Approach for Wavelet Denoising[J]. IEEE Trans on Image Processing, 2008, 17(4): 443-457 [Article] [NASA ADS] [CrossRef] [Google Scholar]
- Buades A, Coll B, Morel J M. A Non-Local Algorithm for Image Denoising[C]//IEEE International Conference on Computer Vision and Pattern Recognition, 2005, 2: 60-65 [Google Scholar]
- Dabov K, Foi A, Katkovnik V, et al. Image Denoising by Sparse 3-D Transform-Domain Collaborative Filtering[J]. IEEE Trans on Image Processing, 2007, 16(8): 2080-2095 [Article] [CrossRef] [Google Scholar]
- Lebrun M. An Analysis and Implementation of the BM3D Image Denoising Method[J]. Image Processing on Line, 2012, 2(25): 175-213 [Article] [CrossRef] [Google Scholar]
- Dabov K, Foi A, Katkovnik V, et al. Color Image Denoising via Sparse 3D Collaborative Filtering with Grouping Constraint in Luminance-Chrominance Space[C]//IEEE International Conference on Image Processing, 2007: 313-316 [Google Scholar]
- Maggioni M, Foi A. Joint Removal of Random and Fixed-Pattern Noise through Spatiotemporal Video Filtering[J]. IEEE Trans on Image Processing, 2014, 23(10): 4282-4296 [Article] [NASA ADS] [CrossRef] [Google Scholar]
- Zhang Zhexi. Research on Image Denoising Algorithm Based on BM3D[D]. Xi'an, Xidian University, 2017 (in Chinese) [Google Scholar]
- Zhu W, Liang S, Wei Y, et al. Saliency Optimization from Robust Background Detection[C]//IEEE International Conference on Computer Vision and Pattern Recognition, 2014: 2814-2821 [Google Scholar]
- Zheng Xiongbo, Zhang Xiaowei. Study to the Application of Multiwavelets Transforms in Sonar Image Denoising[J]. Journal on Numerical Methods and Computer Applications, 2011, 32(2): 89-96 (in Chinese) [Article] [Google Scholar]
- Davis A, Lugsdin A. High Speed Underwater Inspection for Port and Harbour Security Using Coda Echoscope 3D Sonar[C]//IEEE International Conference on Oceans, 2005: 2006-2011 [Google Scholar]
- Arrington C M, Carr T H, Mayer A R, et al. Neural Mechanisms of Visual Attention:Object-Based Selection of a Region in Space[J]. Journal of Conference Neuroscience, 2014, 12(suppl 2): 106-117 [Article] [CrossRef] [Google Scholar]
- Achanta R, Shaji A, Smith K, et al. SLIC Superpixels[R]. EPFL Technical Report 149300, 2010 [Google Scholar]
- Yang C, Zhang L, Lu H, et al. Saliency Detection via Graph-Based Manifold Ranking[C]//IEEE International Conference on Computer Vision and Pattern Recognition, 2013: 3166-3173 [Google Scholar]
- Huo Guanying, Liu Jing, Li Qingwu, et al. Side-Scan Sonar Image Segmentation Algorithm Based on Space-Constrained FCM and MRF[J]. Chinese Journal of Scientific Instrument, 2017, 38(1): 226-235 (in Chinese) [Article] [Google Scholar]
All Tables
All Figures
![]() |
图1 Echoscope及其成像效果 |
| In the text | |
![]() |
图2 基于流行排序的显著性检测方法 |
| In the text | |
![]() |
图3 声呐图像快速降噪算法流程 |
| In the text | |
![]() |
图4 声呐图像显著性检测 |
| In the text | |
![]() |
图5 声呐图像区域分割 |
| In the text | |
![]() |
图6 BM3D算法流程 |
| In the text | |
![]() |
图7 均值滤波示意图 |
| In the text | |
![]() |
图8 3种算法的降噪效果对比 |
| In the text | |
Current usage metrics show cumulative count of Article Views (full-text article views including HTML views, PDF and ePub downloads, according to the available data) and Abstracts Views on Vision4Press platform.
Data correspond to usage on the plateform after 2015. The current usage metrics is available 48-96 hours after online publication and is updated daily on week days.
Initial download of the metrics may take a while.








