| Issue |
JNWPU
Volume 39, Number 1, February 2021
|
|
|---|---|---|
| Page(s) | 182 - 188 | |
| DOI | https://doi.org/10.1051/jnwpu/20213910182 | |
| Published online | 09 April 2021 | |
Study on effect of geometry on performance of pulse detonation rocket engines
爆震管结构对脉冲爆震发动机性能影响研究
Received:
19
May
2020
Abstract
In order to investigate the effect of the geometry on the performance of pulse detonation rocket engines under valveless self-adaptive working mode, the multi-cycle experiment was carried out on the pulse detonation rocket engines with different mixing sections and obstacles, while the operating frequency was 20 Hz. Gasoline was utilized as fuel, and oxygen-enriched air as oxidizer. Experimental results indicate that the DDT distance and DDT time of PDRE can be shortened by using the mixing section of gradual-expansion structure. The effect of the spiraling grooves and annular grooves on the DDT process is weak. The mixture-based specific impulse of the mixing section with gradual-expansion structure is 4.2%-7.2% lower than that of the mixing section with sudden-expansion structure. The mixture-based specific impulse of PDRE with sudden-expansion structure and Shchelkin spirals is the largest, about 116.4 s.
摘要
为了探究爆震管结构对无阀自适应式脉冲爆震火箭发动机性能的影响,采用汽油为燃料,富氧空气为氧化剂,对采用不同结构掺混段和障碍物的脉冲爆震火箭发动机进行了工作频率为20 Hz的无阀式多循环实验研究。研究结果表明,渐扩结构掺混段的使用可以缩短PDRE的DDT距离和DDT时间;螺旋凹槽和环形凹槽对DDT过程的加速效果较差;渐扩结构掺混段相较于突扩结构的掺混段有4.2%~7.2%的混合物比冲损失;使用突扩结构掺混段和Shchelkin螺旋的PDRE的混合物比冲最大,约为116.4 s。
Key words: pulse detonation rocket engines / valveless / geometry / DDT / propulsive performance
关键字 : 脉冲爆震火箭发动机 / 无阀 / 结构 / DDT / 推进性能
© 2021 Journal of Northwestern Polytechnical University. All rights reserved.
This is an Open Access article distributed under the terms of the Creative Commons Attribution License (http://creativecommons.org/licenses/by/4.0), which permits unrestricted use, distribution, and reproduction in any medium, provided the original work is properly cited.
脉冲爆震发动机(pulse detonation engine, PDE)是利用脉冲式爆震波产生推力的新概念发动机[1]。PDE具有热循环效率高、结构简单、推重比大、运行简单等特点,引起了世界各国的广泛关注和积极研究[2-3]。根据是否携带氧化剂,可以分为吸气式脉冲爆震发动机(air-breathing pulse detonation engine, APDE)和脉冲爆震火箭发动机(pulse detonation rocket engine, PDRE)。无阀式PDRE相较于传统的PDRE减少了隔离气体的使用,缩短了循环周期,能够有效提高PDRE的工作频率上限[4-5]。
发动机主爆震室内的爆震波可通过直接起爆、两级起爆和由缓燃向爆震转变(deflagration to detonation transition, DDT)的方式产生[6]。在发动机的实际应用中为减轻发动机质量和降低发动机结构复杂性,主要采用DDT的方式来实现爆震的起始。为加速DDT过程,研究人员通常在爆震管中加装各种形式的障碍物,如孔板、Shchelkin螺旋、凹槽等[7-8]。Ciccarelli等[9]和Gamezo等[10]分别通过实验和数值计算研究了障碍物间距对DDT过程的影响,结果表明障碍物间距等于管径时的效果较好,过小的障碍物间距会抑制爆震波的形成,障碍物间距过大会导致DDT距离增大。Gagnon等[11]和Goodwin等[12]分别通过实验和数值计算研究了阻塞比对火焰加速过程的影响,结果表明障碍物阻塞比在0.3~ 0.6之间可以有效地加速DDT过程,而阻塞比超出这个区间会使DDT距离急剧增大。Li等[13]比较了螺旋凹槽和Shchelkin螺旋对煤油氧气DDT过程的影响,两者都可实现爆震的起始,但没有进行两者DDT距离和DDT时间的差别。此外,Brophy等[14]研究发现使用文式管、渐扩等爆震管前端结构可以提高无障碍物的爆震管中的起爆概率并缩短DDT距离。蒋弢等[15]的研究表明爆震管前端使用文式管可以优化填充,但会限制爆震发动机的工作频率,因此在高频工作时不能使用文式管。以上研究分别针对障碍物和爆震管的前端结构对DDT过程的影响进行了研究,但两者对DDT过程的综合影响没有被研究。
平均推力和比冲是衡量PDRE推进性能的重要参数。Cooper等[16]利用悬摆法进行了单次爆震的冲量测量,装满Shchelkin螺旋的爆震管和不加障碍物相比约有13%的冲量损失,而装满孔板的爆震管有25%左右的冲量损失。Wintenberger等[17]建立了半经验等截面无喷管和障碍物的PDE推力计算模型。严传俊等[1]基于一维两相爆震方程,推导了考虑液滴尺寸和流动阻力对爆震波速和比冲影响的计算模型。Li等[13]利用直接测量法比较了螺旋凹槽与Shchelkin螺旋对PDRE推力的影响,结果表明在工作频率较低时,螺旋凹槽有增推效果,但随着工作频率的增大,增推效果降低。Wang等[18]采用直接测量法研究了频率对APDE推进性能的影响,混合物比冲随着PDE工作频率的提高而增加,所测比冲比Wintenberger等的计算模型低37%~45%,考虑液滴雾化效果和流动阻力对比冲的影响,实验结果和严传俊等[1]的模型计算结果接近。以上研究均集中于障碍物和液滴尺寸对PDE推进性能的影响,对爆震管前端的结构对PDE推进性能的影响缺乏研究。
本研究基于Wang等[4]提出的PDRE无阀自适应方式,对不同爆震管结构的PDRE的起爆和推进性能进行了实验研究。实验中采用离子探针和压力传感器分别测量爆震管内火焰锋面位置和压力振荡信号,利用推力传感器对PDRE的推力进行测量,分析了PDRE的DDT过程,讨论了爆震管结构对推进性能的影响,研究结果对于PDRE的设计和工程应用有一定的参考价值。
1 实验系统介绍
实验系统图如图 1所示,由爆震管、动架、静架、供给系统、点火系统和数据采集系统等组成。爆震管采用模块化设计,分别为掺混段(爆震管前端),障碍物段和光滑管段,其中掺混段长122.5 mm,障碍物段长195 mm,光滑段长307.5 mm,爆震管内径30 mm。实验采用汽油作为燃料,氧气与氮气体积比为40%∶60%的富氧空气作为氧化剂。实验中采用无阀自适应的方式控制汽油与富氧空气的供给,汽油与富氧空气从爆震管头部进入并填满爆震管。可燃混气由火花塞(50 mJ)点燃,PDRE的工作频率与点火频率相同(20 Hz),火花塞距爆震管头部80 mm。
![]() |
图1 PDRE实验系统图 |
实验选取了2种掺混段结构和4种障碍物结构来研究爆震管结构对PDRE性能的影响。掺混段结构如图 2所示,突扩结构的掺混段为等截面,进气孔到爆震管是突扩结构;渐扩结构的掺混段为逐渐扩张截面,一端的内径等于进气孔的内径(10 mm),另一端的内径等于障碍物段和光滑管段的内径。障碍物结构如图 3所示,Shchelkin螺旋的丝径为3 mm,螺旋凹槽的截面形状为长轴3 mm、短轴1.5 mm的半椭圆,孔板为外径30 mm、内径24 mm、长3 mm的圆环,环形凹槽为深3 mm、宽3 mm的凹槽,其中Shchelkin螺旋和孔板的阻塞比为0.36,4种障碍物的间隔均与管径相等。
![]() |
图2 掺混段结构示意图 |
![]() |
图3 障碍物结构示意图 |
为监测爆震管障碍物段和光滑管段内的火焰传播和压力振荡情况,在爆震管壁面不同截面上分别安装离子探针和压电式压力传感器(SINOCERA CY-YD-205,频响500kHz,测量误差±72.5mV/MPa),离子探针和压力传感器的安装夹角为90°。离子探针和压力传感器的位置如图 1所示,从前向后依次标记为U1~U7, P1~P7。为避免传感器和障碍物之间的相互影响,不同障碍物段传感器的安装位置不同,装有Shchelkin螺旋和螺旋凹槽的爆震管上U1~U3, P1~P3距爆震管头部的距离分别为160 mm, 220 mm, 280 mm,而装有孔板和环形凹槽的爆震管上U1~U3, P1~ P3距爆震管头部的距离分别为150 mm, 210 mm, 270 mm,光滑管段的传感器位置相同,U4~U7, P4~P7距爆震管头部的距离分别为355 mm, 415 mm, 475 mm, 535 mm。PDRE的瞬态推力由安装在动架与静架之间的压电式推力传感器(Kistler 9331B,灵敏度3.845 pC/N,测量范围±20 kN)直接测量。离子探针信号、压力传感器信号和推力传感器信号分别经信号放大器处理后,由高速采集仪(DEWETRON 3020)采集获得,采样频率为200 kHz。
2 实验结果分析
为了研究不同掺混段结构和障碍物结构对无阀自适应式PDRE性能的影响,实验中固定填充当量比为1.4,进行了工作频率为20 Hz的无阀式两相多循环实验。
2.1 结构对DDT过程的影响分析
混合物的C-J爆震参数可以通过NASA CEA程序计算得到,由于该程序只能计算气态混合物的C-J爆震参数,本文中采用与汽油性质相近的正辛烷来进行替代计算。氧化剂与正辛烷的初始温度均为283 K,初始压力为1.01×105 MPa,由NASA CEA程序计算可得混合物的C-J速度为2 105.7 m/s,C-J压力为2.95 MPa。实验中通过采集系统可以获得每个循环中火焰锋面位置和压力振荡的信号,将火焰锋面的轴向传播速度和峰值压力分别与C-J速度和C-J压力进行比较,来判定是否有爆震产生。火焰锋面的轴向速度可以通过离子探针采集到的信号计算得到:假设n和n+1离子探针感应到火焰锋面的时刻分别为tn和tn+1,两者间隔距离为Δx,则火焰在2个离子探针之间平均速度v=Δx/(tn+1-tn)。
Li等[19]和Zhang等[20]对于气态燃料爆震在有障碍物和无障碍物管道中传播的实验结果表明,爆震稳定传播的速度下限约为C-J速度的80%。在对于液态燃料爆震的研究中,考虑液滴尺寸的影响,Wang等[21]将C-J速度和C-J压力的80%作为判断无障碍物管道中爆震是否产生的依据。因此在本实验中,若火焰速度和对应位置的峰值压力分别超过80%的C-J速度和C-J压力,则认为形成了爆震,同时DDT距离定义为从爆震管头部到2个离子探针和压力传感器中间位置的距离,DDT时间定义为从发出点火信号到火焰锋面到达起爆位置时所用的时间[22]。
掺混段为突扩结构且装有孔板的PDRE的连续10个循环的火焰速度和对应的压力如图 4和图 5所示,其中循环1的压力波形放大图如图 6所示。不同循环中火焰速度在爆震起始之前存在一定的差异,爆震起始后,受离子探针布置间距和采样频率的影响,火焰在光滑管段中的速度相同为2 000 m/s,约为C-J速度的95%。各循环的压力峰值在P4处最高(约4 MPa),后3个压力传感器测得的压力峰值有所下降,峰值稳定在2.7 ~ 2.9 MPa,略低于C-J压力。综合图 4和图 5可以确定PDRE中产生了稳定的爆震波。将火焰速度和压力峰值与80%的C-J速度和C-J压力进行比较,可得循环1, 5和8的DDT距离为312.5 mm,其余7个循环的DDT距离为385 mm。
![]() |
图4 突扩掺混段孔板的火焰速度图 |
![]() |
图5 突扩掺混段孔板的压力图 |
![]() |
图6 循环1的压力波形放大图 |
图 7为装有不同掺混段结构和障碍物结构PDRE的DDT距离。从图中可以看出,使用突扩结构的掺混段可以缩短DDT距离。装有螺旋凹槽、环形凹槽和孔板的PDRE的受掺混段结构的影响较大,三者均缩短50 mm左右,而掺混段结构对装有Shchelkin螺旋的PDRE的影响较小,DDT距离仅缩短7 mm。螺旋凹槽和环形凹槽的DDT距离基本相同,在使用突扩结构的掺混段时,两者相差4 mm,使用渐扩结构的掺混段时相差6 mm。使用渐扩结构的掺混段时,Shchelkin螺旋和孔板的DDT距离相差5 mm,这是由于离子探针和压力传感器安装位置不同导致的,可以认为两者的DDT距离相等。装有不同掺混段结构和障碍物结构PDRE的DDT时间如图 8所示。
![]() |
图7 不同结构的DDT距离 |
![]() |
图8 不同结构的DDT时间 |
使用渐扩结构的掺混段可以有效降低使用4种障碍物结构PDRE的DDT时间,Shchelkin螺旋、螺旋凹槽、环形凹槽和孔板的DDT时间分别缩短0.149 ms, 0.245 ms, 0.314 ms, 0.212 ms。螺旋凹槽和环形凹槽及Shchelkin螺旋和孔板的DDT时间在使用突扩结构的掺混段时均基本相等,螺旋凹槽的DDT时间比环形凹槽长0.023 ms,而Shchelkin螺旋仅比孔板短0.009 ms,但在使用渐扩的结构掺混段时两组的差距增大,螺旋凹槽的DDT时间比环形凹槽短0.092 ms,Shchelkin螺旋比孔板长0.054 ms。渐扩结构掺混段的使用缩短了PDRE的DDT距离和DDT时间,有利于在应用中实现PDRE的小型化和高频工作。
渐扩结构的掺混段能缩短DDT距离和DDT时间主要是因为其有效提高了爆震管中汽油填充的均匀度。在从封闭端填充液态燃料和氧化剂的爆震管中,由于爆震管头部存在回流区以及障碍物的影响,液态燃料会在头部附近和障碍物段聚集,从而使得爆震管后端的燃料分布较少。渐扩结构掺混段的使用可以减少头部回流区的形成,使得原来会在爆震管头部聚集的燃料能够向爆震管后端填充,提高爆震管中燃料分布的均匀度。此外,PDRE多循环工作中爆震管的壁温会随着工作时长增加而逐渐升高,在使用渐扩结构掺混段的爆震管中,更多的燃料会在掺混段壁面聚集,从而可以提高燃料的蒸发速度,有助于加快DDT过程。但渐扩结构的掺混段对Shchelkin螺旋的影响较小,这是由于Shchelkin螺旋在4种障碍物中对于燃料填充的影响最小,掺混段结构的改变对于其填充效果的改善不明显,且其对于火焰的加速的效果也优于其他3种障碍物导致的。螺旋凹槽和环形凹槽由于其对火焰的拉伸效果较小,也不能高效地增加流动的湍流度,不利于火焰加速,使得两者的DDT距离和DDT时间都比Shchelkin螺旋和孔板的长。
2.2 结构对推进性能的影响分析
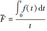
实验中PDRE的瞬时推力f(t)由安装在动架和静架之间的推力传感器测量,平均推力
和混合物比冲Isp可由以下公式求得,
1
2
式中: m为混合物的质量;
为氧化剂的质量流量;
为燃料的质量流量。
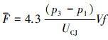
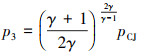
根据Wintenberger[15]的推力计算模型,等截面不加喷管和障碍物的直爆震管的理论平均推力可由公式(3)和(4)求得
3
4
式中: p3为爆震管内封闭端压力; p1为环境压力; UCJ为爆震波的C-J速度; V为爆震管的体积; f为PDRE的工作频率; γ为反应产物的比热比; pCJ为爆震波的C-J压力。公式(3)和(4)中所需的爆震参数可由化学平衡计算程序NASA CEA计算得到。忽略实验中所用爆震管中的障碍物和掺混段结构,使用突扩结构掺混段PDRE的理论平均推力约为17.3 N,使用渐扩结构掺混段PDRE的理论平均推力约为15.6 N。
图 9为装有不同掺混段结构和障碍物结构PDRE的平均推力。实验测得的PDRE平均推力较理论值有不同程度的亏损,使用突扩结构掺混段和Shchelkin螺旋、螺旋凹槽、环形凹槽和孔板的PDRE平均推力分别比理论值低13.3%,20.2%,19.1%和15.6%,使用渐扩结构掺混段的PDRE平均推力分别比理论值低18.5%,23.7%,24.3%和21.8%。平均推力的损失主要来自于障碍物和渐扩结构掺混段使用带来的流阻损失及液滴尺寸带来的爆震波速与压力亏损,其次填充混合物从爆震管流出也会带来推力的损失。螺旋凹槽和环形凹槽虽然流阻损失较小,但其DDT距离和DDT时间长,从而推力损失大于Shchelkin螺旋和孔板。掺混段由突扩结构变为渐扩结构,PDRE的平均推力由不同程度的下降。装有Shchelkin螺旋、螺旋凹槽、环形凹槽和孔板的PDRE使用渐扩结构掺混段的平均推力分别为使用突扩结构掺混段时的84.6%,86.2%,84.3%和83.5%。平均推力下降的主要是由使用渐扩结构掺混段使得爆震管的体积减小,管内装填的燃料和氧化剂质量减少导致的,少部分来自渐扩结构导致的流动损失。
![]() |
图9 不同结构的平均推力 |
PDRE在工作时处于过填充状态,理论上过填充的可燃混合物直接从爆震管排出,而爆震管外的反应物是无约束的,因此不会产生推力。仅考虑爆震管内的燃料和氧化剂质量,装有不同掺混段结构和障碍物结构PDRE的混合物比冲如图 10所示。在计算混合物比冲时假设过填充时燃料和氧化剂会按照填充时的当量比从爆震管中排出,但实际上燃油由于会在爆震管头部和障碍物段富集,从爆震管开口端排出的混合物中燃料的流量量低于填充流量,因此计算的混合物比冲比实际值略大。渐扩结构掺混段的使用会带来一定的比冲损失,装有Shchelkin螺旋、螺旋凹槽、环形凹槽和孔板的PDRE在使用渐扩结构掺混段时的比冲比使用突扩结构掺混段时的比冲分别下降5.9%,4.2%,6.3%和7.2%。渐扩结构掺混段PDRE的比冲下降主要受到渐扩结构带来的流动损失的影响。此外突扩结构掺混段头部的回流区相较于渐扩结构会使更多的燃料在头部富集,使得突扩结构掺混段PDRE的比冲计算值偏大更多,从而会带来两者之间的比冲差别。
![]() |
图10 不同结构的混合物比冲 |
3 结论
本文通过实验研究了不同掺混段结构和障碍物结构对无阀自适应式PDRE性能的影响,通过对PDRE的DDT过程和推进性能的讨论分析,可以得到如下结论:
1) 渐扩结构掺混段的使用可以缩短PDRE的DDT距离和DDT时间,但采用Shchelkin螺旋的PDRE的DDT距离受掺混段结构的影响较小。
2) 螺旋凹槽和环形凹槽对火焰加速效果较弱,DDT距离和DDT时间均比Shchelkin螺旋和孔板的要长。
3) 受液滴尺寸和流阻损失等的影响,使用突扩结构掺混段的PDRE平均推力和Wintenberger模型的理论值相比有13.3%~20.2%的损失,而渐扩结构掺混段的PDRE平均推力比理论值低18.5%~24.3%。
4) 渐扩结构掺混段PDRE的性能都低于突扩结构掺混段PDRE,渐扩结构掺混段的使用会带来4.2%~7.2%的比冲损失。
References
- Yan Chuanjun, Fan Wei. Pulse detonation engine principle and key issues of technology[M]. Xi'an: Northwestern Polytechnical University Press, 2005 (in Chinese) [Google Scholar]
- Roy G D, Frolov S M, Borisov A A, et al. Pulse detonation propulsion: challenges, current status, and future perspective[J]. Progress in Energy and Combustion Science, 2004, 30: 545–672 [Article] [Google Scholar]
- Wolanski P. Detonative propulsion[J]. Proceedings of the Combustion Institute. 2013, 34: 125–158 [Article] [Google Scholar]
- Wang K, Fan W, Lu W, et al. Study on a liquid-fueled and valveless pulse detonation rocket engine without the purge process[J]. Energy, 2014, 71(1):605–614 [Article] [Google Scholar]
- Lu W, Fan W, Wang K, et al. Operation of a liquid-fueled and valveless pulse detonation rocket engine at high frequency[J]. Proceedings of the Combustion Institute, 2017, 36: 2657–2644 [Article] [Google Scholar]
- Wang Z W, Zhang T, Chen X G, et al. Investigation of hot jet effect on detonation initiation characteristic[J]. Combustion Science and Technology, 2017, 189(3):498–519 [Article] [Google Scholar]
- Coates A M, Mathias D L, Cantwell B J. Numerical investigation of the effect of obstacle shape on deflagration to detonation transition in a hydrogen-air mixture[J]. Combustion and Flame, 2019, 209: 278–290 [Article] [Google Scholar]
- Zhang Q B, Wang K, Dong R X, et al. Experimental research on propulsive performance of the pulse detonation rocket engine with a fluidic nozzle[J]. Energy, 2019, 166: 1267–1275 [Article] [Google Scholar]
- Ciccarelli G, Fowler C J, Bardon M. Effect of obstacle size and spacing on the initial stage of flame acceleration in a rough tube[J]. Shock Wave, 2005, 14(3):161–166 [Article] [Google Scholar]
- Gamezo V N, Ogawa T, Oran E S. Flame Acceleration and DDT in channels with obstacles: effect of obstacle spacing[J]. Combustion and Flame, 2008, 155: 302–315 [Article] [Google Scholar]
- Gagnon N E, Attia M. The Effect of axial spacing of constant and variable blockage on the deflagration to detonation transition in a pulse detonation engine[C]//Proceedings of 52nd AIAA/ASME/SAE/ASEE Joint Propulsion Conference and Exhibit, 2016 [Google Scholar]
- Goodwin G B, Houim R W, Oran E S. Effect of decreasing blockage ratio on DDT in small channels with obstaces[J]. Combustion and Flame, 2016, 173: 16–26 [Article] [Google Scholar]
- Li J L, Fan W, Yan C J, et al. Performance enhancement of a pulse detonation rocket engine[J]. Proceedings of the Combustion Institute, 2011, 33: 2243–2254 [Article] [Google Scholar]
- Brophy C M, Netzer D W. Effects of iginition characteristics and geometry on the performance of a JP-10/O2 fueled pulse detonation engine[C]//Proceedings of 35th AIAA/ASME/SAE/ASEE Joint Propulsion Conference and Exhibit, 1999 [Google Scholar]
- Jiang Tao, Wen Chunsheng. Experimental study on venturi effect on working process of pulse detonation rocket engine[J]. Journal of Nanjing University of Science and Technology, 2014, 38(2):241–245 [Article] (in Chinese) [Google Scholar]
- Cooper M, Jackson S, Austin J, et al. Direct experimental impulse measurements for detonations and deflagrations[J]. Journal of Propulsion and Power, 2002, 18(5):1033–1041 [Article] [Google Scholar]
- Wintenberger E, Austin J M, Cooper M, et al. Analytical model for the impulse of single-cycle pulse detonation tube[J]. Journal of Propulsion and Power, 2003, 19(1):22–38 [Article] [Google Scholar]
- Wang Z W, Liang Z J, Zhang Y, et al. Direct-connected experimental investigation on a pulse detonation engine[J]. Journal of Aerospace Engineering, 2017, 231(7):1338–1246 [Article] [Google Scholar]
- Li Q, Kellenberger M, Ciccarelli G. Geometric influence on the propagation of the Quasi-detonation in a stoichiometric H2-O2 mixture[J]. Fuel, 2020, 269: 117396 [Article] [Google Scholar]
- Zhang B, Liu H, Li Y. The Effect of instability of detonation on the propagation modes near the limits in typical combustible mixtures[J]. Fuel, 2019, 253: 305–310 [Article] [Google Scholar]
- Wang K, Fan W, Lu W, et al. Propulsive performance of a pulse detonation rocket engine without the purge process[J]. Energy, 2015, 79: 228–234 [Article] [Google Scholar]
- Li J, Lai W H, Chung K, et al. Uncertainty analysis of deflagration-to-detonation run-up distance[J]. Shock Wave, 2005, 14(5/6):413[J]. 420 [Article] [Google Scholar]
All Figures
![]() |
图1 PDRE实验系统图 |
| In the text | |
![]() |
图2 掺混段结构示意图 |
| In the text | |
![]() |
图3 障碍物结构示意图 |
| In the text | |
![]() |
图4 突扩掺混段孔板的火焰速度图 |
| In the text | |
![]() |
图5 突扩掺混段孔板的压力图 |
| In the text | |
![]() |
图6 循环1的压力波形放大图 |
| In the text | |
![]() |
图7 不同结构的DDT距离 |
| In the text | |
![]() |
图8 不同结构的DDT时间 |
| In the text | |
![]() |
图9 不同结构的平均推力 |
| In the text | |
![]() |
图10 不同结构的混合物比冲 |
| In the text | |
Current usage metrics show cumulative count of Article Views (full-text article views including HTML views, PDF and ePub downloads, according to the available data) and Abstracts Views on Vision4Press platform.
Data correspond to usage on the plateform after 2015. The current usage metrics is available 48-96 hours after online publication and is updated daily on week days.
Initial download of the metrics may take a while.










