Open Access
Issue
JNWPU
Volume 39, Number 1, February 2021
Page(s) 46 - 54
DOI https://doi.org/10.1051/jnwpu/20213910046
Published online 09 April 2021

© 2021 Journal of Northwestern Polytechnical University. All rights reserved.

Licence Creative CommonsThis is an Open Access article distributed under the terms of the Creative Commons Attribution License (http://creativecommons.org/licenses/by/4.0), which permits unrestricted use, distribution, and reproduction in any medium, provided the original work is properly cited.

起落架系统是飞机的关键子系统之一,直接影响飞机起飞与着陆功能的实现与飞行安全,国内外曾发生多次起落架故障引起的飞行事故,导致重大生命和经济损失。现代飞机使用频率高,服役环境复杂,对起落架系统可靠性提出了极高要求和严苛考验。在起落架系统中,故障发生概率较高的部件是收放机构,开展收放机构可靠性研究具有重要意义。机构可靠性定义为:在规定时间内和规定条件下,机构完成规定功能的能力[1]。机构可靠性涉及运动学、动力学、可靠性等多个学科,主要关心2个问题:一是评估机构故障的发生概率即失效概率,即可靠性分析;二是评估随机变量对机构可靠性的影响程度,即灵敏度分析。杨旭锋等[2]在建立了考虑作动筒位置、摩擦因数、侧风载荷影响的起落架可靠性模型后,使用四阶矩法调用ADAMS软件计算了可靠性。陈建军等[3]考虑了机构尺寸误差、铰链间隙等因素,对四连杆机构进行了运动精度可靠性分析。李文丽等[4]通过模拟仿真试验法,对发电机的断路器机构系统进行磨损可靠性研究。国志刚等[5]给出了单个铰链与多个铰链的磨损可靠性分析方法和计算模型,并对曲柄滑块机构进行了可靠性计算。现有研究大多是在给定铰链间隙的情况下分析机构可靠性[6-13],而在实际工程中,铰链间隙是随铰接处磨损而发生变化的。因此,需要开展铰链间隙变化对机构可靠性的影响研究。

本文考虑摩擦因数和作动筒安装位置存在的不确定性,并考虑铰链随起落架收放次数增加引起的磨损,建立了卡滞失效、精度失效、定位失效3种失效模式的功能函数,基于自适应Kriging代理模型,进行了可靠性和全局灵敏度分析,获得了可靠性和灵敏度随机构收放次数的变化规律。

1 起落架收放机构动力学仿真分析

基于起落架的CATIA模型,将其中外形复杂的部件通过UG软件转为parasolid格式,导入ADAMS软件,输入质量等信息;在ADAMS中对外形简单的部件如圆柱形销钉进行建模以便于参数化;设置约束和运动副,施加驱动,对模型进行运动仿真,并与实际运动输出进行对比,保证模型运动过程与实际一致。图 1图 2分别描述了起落架的放下状态和收起状态。起落架的收起过程为:下位锁打开,通过液压系统使作动筒中的作动杆伸长,然后传动构件带动支柱及机轮等绕点A转动,待支柱到达指定位置后,起落架上位锁将其锁住。起落架的放下过程为:上位锁打开,作动杆缩回,起落架支柱绕A点做放下运动,放下到指定位置时,起落架下位锁锁起。

在ADAMS中进行多体动力学仿真,得到收放过程中起落架收放角度与起落架作动筒的驱动力随时间的变化规律,如图 34所示。

图 3中可以看出,起落架从3.5 s开始收起,绕A点旋转93.5°到达指定位置,此时速度减为零,共经历12 s完成该过程;然后在指定位置停留1 s,以模拟上位锁将起落架锁住再开启的过程;16.5 s时开始放下,同收起过程一样,经历12 s完成放下过程。整个仿真过程符合起落架在工作行程中完成开锁、收起、上锁、开锁、放下的过程。

结合图 3图 4可知,当起落架上升至最高位置时(即15.5 s时对应的位置),作动筒所需驱动力达到最大值。由于在ADAMS中将主要传动构件的连接处设为碰撞模型,这会使得驱动力的仿真结果出现波动,但从总体趋势上可以看出,驱动力在收起过程中不断增大,放下过程中不断减小。同时,缓冲支柱在相同的角度时,收起过程所需的驱动力要大于放下过程所需的力,这主要是因为起落架在收起时要克服自身重力所带来的影响。

Thumbnail: 图1 Refer to the following caption and surrounding text. 图1

起落架放下状态

Thumbnail: 图2 Refer to the following caption and surrounding text. 图2

起落架收起状态

Thumbnail: 图3 Refer to the following caption and surrounding text. 图3

收放角度的变化规律

Thumbnail: 图4 Refer to the following caption and surrounding text. 图4

作动筒所需驱动力的变化规律

2 起落架收放机构可靠性和灵敏度分析

2.1 随机因素

起落架的收放任务由传动机构(如图 5所示)来完成,它能按照指定的运动形式,将起落架准确地收或放到给定位置。考虑传动构件之间摩擦对起落架收放过程带来的影响,将图 5B, C, E铰接处的摩擦因数设为随机变量。另外,还考虑了图 1A铰接处的摩擦对起落架运动所带来的影响。由于装配误差,固定板处拉杆与机身连接点F点的位置具有不确定性,该点位置的安装误差将会影响作动筒驱动的方向,因此将F点的坐标设为随机变量。

在本文中,假定随机变量相互独立,且服从正态分布,随机变量的分布信息如表 1所示。

在飞机服役过程中, 随着起落架收放次数的增加, 部件之间的铰接处将不可避免地发生磨损, 导致铰链间隙增大, 进而可能影响收放机构的可靠性。针对该问题, 本文考虑接触力最大的铰接处即作动杆与传动杆件的连接处(图 5中的D处), 将其在ADAMS中设为碰撞模型, 如图 6所示。使用碰撞模型代替运动副, 能够反映磨损引起的铰链间隙变化。

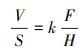
关于D处磨损量的计算, 本文选择了目前应用较广泛的Archard模型[5]进行计算, 其表达形式如下

Mathematical equation1

式中:V为磨损体积;S为滑动距离;k为磨损系数;F为法向载荷, H为材料的布氏硬度。

国志刚等[5]以(1)式为基础, 进一步推导, 建立了在给定使用时间t内, 铰链磨损增量(间隙变化)h的计算公式, 即

Mathematical equation2

式中,Pv分别为接触点应力和滑动速度。

本文将一次收放过程定义为一个周期的运动, 通过ADAMS仿真获得接触点力与相对速度, 然后代入相应计算公式得到单次磨损时铰链处的磨损量, 最后计算不同收放次数下的铰链磨损量。由于不确定性的广泛存在, 本文将磨损量视为随机变量, 记为x8, 其分布信息如表 2所示。

同时, 在ADAMS模型中更改D处的插销半径R, 即: R=R0-x8, 其中R0为未磨损时的插销半径。

Thumbnail: 图5 Refer to the following caption and surrounding text. 图5

传动构件

表1

随机变量的分布信息

Thumbnail: 图6 Refer to the following caption and surrounding text. 图6

D处铰链碰撞图

表2

不同收放次数下, 磨损量x8的分布信息

2.2 失效模式和可靠性模型

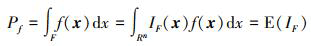
在可靠性理论中, 功能函数是基本随机变量的函数。假设机构的功能函数为Y=g(x), x=[x1, x2, …, xm]为m维随机变量, 其联合概率密度函数为f(x), 定义其失效域为

Mathematical equation3

失效域的指示函数为IF(x)…, 即

Mathematical equation4

则失效概率为

Mathematical equation5

根据所研究的起落架收放机构特点, 本文考虑了3种失效模式: 卡滞失效、定位失效、精度失效。其对应的功能函数分别为g1(x), g2(x), g3(x), 其中x=[x1, x2, x3, x4, x5, x6, x7, x8]。

起落架收放机构要完成收起功能, 就必须使作动筒能提供的最大推力Fmax大于运动所需驱动力Fneed, 否则发生卡滞。卡滞失效模式对应的功能函数为

Mathematical equation6

设实际运动所能达到的最大角度为αmax, 所需最大角度为αneed, 只有当αmax-αneed > 0, 上位锁才能完成锁住功能, 否则认为发生定位失效。定位失效模式对应的功能函数为

Mathematical equation7

同理, 设起落架放下时最终产生的角度差为Δ, 允许的角度误差为Δ0, 只有当Δ0-Δ > 0, 起落架才能被下位锁锁住, 否则认为发生精度失效。精度失效模式对应的功能函数为

Mathematical equation8

本文首先单独考虑3种失效模式, 对其可靠性及灵敏度进行分析。事实上, 只要有一种失效模式发生, 即可认为起落架收放机构发生失效, 因此3种失效模式为串联关系, 整体的功能函数为

Mathematical equation9

2.3 基于失效概率的全局灵敏度指标

灵敏度分析主要研究输入因素的不确定性对输出性能统计特征的影响, 主要分为局部灵敏度和全局灵敏度。局部灵敏度定义为输入变量分布参数的变化引起输出性能统计特征变化的比率[1], 例如失效概率关于随机变量分布参数的偏导数。全局灵敏度定义为输入变量在整个分布范围内对输出响应不确定性的贡献程度[14]。从其定义可以看出, 局部灵敏度只能反映随机变量的分布参数(如均值)在给定值邻域内变化时对输入响应的影响。相比于局部灵敏度, 全局灵敏度能够更全面地反映随机变量对输出响应的影响。

基于失效概率的全局灵敏度主要衡量输入变量在其整个分布域内变化时对失效概率的平均影响。通常使用灵敏度指标来表示其大小, 记基于失效概率的全局灵敏度指标为[14]

Mathematical equation10

式中: Pf为无条件失效概率值; Pf|xi为当输入变量xi取某一固定值时的条件失效概率值。

通过求解该指标, 可以确定输入变量对机构失效概率的影响程度。输入变量的灵敏度指标越大, 对机构可靠性的影响就越大。

2.4 基于Kriging代理模型的可靠性及灵敏度分析方法

对工程实际问题进行可靠性分析时, 通常需要借助仿真软件映射输入变量与输出响应之间的关系, 但复杂机构的动力学分析复杂费时, 特别是在对机构进行大量、反复的响应分析时, 往往需要耗费大量的时间, 效率低下。因此, 通常使用代理模型来提高计算效率。目前比较常见的代理模型有响应面、神经网络和Kriging模型等[15]。其中, Kriging模型以其预测能力强、局限性小而被广泛使用, 它能用少量的样本得到给定精度要求的代理模型, 减少了可靠性及灵敏度的计算量, 提高了效率。

2.4.1 Kriging模型

根据Kriging理论, 假设输出响应量G(x)与输入变量x之间的关系为:

Mathematical equation11

式中: f(x)为回归多项式基函数向量; β为回归系数的向量; z(x)为零均值的高斯随机过程, 协方差函数为

Mathematical equation12

式中: σz2为高斯过程的方差; R(xi, xj; θ)为具有参数向量θ的相关函数, 可表示为

Mathematical equation13

式中, xikxjk分别为向量xixj的第k个元素。

给定一组容量为N的训练样本, 则G(x)的无偏估计及预测误差定义如下

Mathematical equation14

Mathematical equation15

式中:Mathematical equationβ的估计值;r(x)为训练样本点和预测点之间的相关函数向量; Y为训练样本响应量

Mathematical equation

2.4.2 基于自适应Kriging模型的可靠性和灵敏度分析方法

原始的Kriging代理模型法无法平衡精度与效率的矛盾, 因为其无法保证用于构造Kriging代理模型的样本点都是对预测精度具有显著贡献的点。为了提高代理模型的预测精度, 本文使用均方误差法来训练Kriging代理模型[16], 该方法挑选预测方差最大的点作为更新的训练样本点更新Kriging代理模型, 即

Mathematical equation16

式中, s为标准差。

确定Kriging模型构建的收敛条件为

Mathematical equation17

式中, S=max s, S1为上一次未加点时的最大标准差。E值越小, Kriging代理模型的预测精度越准。

本文基于自适应Kriging代理模型, 对起落架收放机构进行可靠性和灵敏度分析, 流程图如图 7所示, 具体步骤包括以下6步:

1) 抽取样本池。根据输入变量的联合概率密度函数产生样本池, 该样本池由N=106个样本组成。

2) 构建初始训练样本集。从样本池中抽取50组初始训练样本, 调用ADAMS仿真计算出响应值G0=[Fneed, αmax, Δ], 形成初始训练样本集。

3) 构建模型。使用训练样本集(x0, G0)拟合出Kriging模型。

4) 选择更新样本点。根据公式xnew=argmax s2(x), 从样本池中选择更新的样本点xnew

5) 判别Kriging模型自学习过程的收敛性。当E≤5×10-4, 停止学习过程, 执行第6)步骤; 若E > 5×10-4, 将更新样本点xnew输入ADAMS, 计算G(xnew), 将{xnew, G(xnew)}加入训练样本池, 更新Kriging模型。

6) 计算失效概率与灵敏度。基于最终建立的Kriging模型, 使用Monte Carlo法估计失效概率Pf和灵敏度指标δip

Thumbnail: 图7 Refer to the following caption and surrounding text. 图7

基于自适应Kriging代理模型的可靠性和灵敏度分析流程

3 计算结果与分析

3.1 各失效模式的可靠性与灵敏度分析

3.1.1 失效概率

本文考虑的各失效模式阈值范围为: 作动筒最大推力Fmax∈(30 000, 30 000+δ1)N, 所需最大角度αneed∈(93.5°-δ2, 93.5°), 允许角度误差Δ0∈(0.31°, 0.31°+δ3)。其中δ1, δ2, δ3用于控制阈值变化范围。图 810给出了3种失效模式下失效概率分别随着作动筒最大推力、所需最大角度、允许角度误差的变化规律。

图 10可知, 在给定允许角度误差Δ0时, 随着收放次数的增大(磨损的增加), 精度失效模式的失效概率逐步增大, 但在图 89中出现了不同的趋势, 选择图 9对应的定位失效模式进行分析。

图 11给出了所需最大角度αneed为93.35°时, 定位失效模式的失效概率变化规律。从图中明显看出失效概率出现了“先减小后增大”的变化趋势。初步推断其原因为: 当起落架收放次数小于1万次时, 铰链磨损量较小, 此时起落架的可靠性主要受其他变量影响, 而随着工作次数的增加, 磨损量增大, 其造成的影响也开始增大, 导致失效概率降低; 当收放次数达到2万~4万次时, 各变量都对起落架可靠性造成影响, 且影响可能较小, 此时机构的失效概率低且相对稳定; 超过4万次后, 由磨损导致的铰链间隙不断增加, 可能成为影响起落架的主要因素, 进而导致起落架机构的失效概率也不断增大。可以看到, 收放机构可靠性的变化与经典可靠性理论中的“浴盆曲线”表现出了类似的趋势。值得指出的是, 图 11反映的规律仅适用于取当前最大角度时的起落架机构, 不能作为运动机构的普适性结论。

Thumbnail: 图8 Refer to the following caption and surrounding text. 图8

卡滞失效模式的失效概率变化规律

Thumbnail: 图9 Refer to the following caption and surrounding text. 图9

定位失效模式的失效概率变化规律

Thumbnail: 图10 Refer to the following caption and surrounding text. 图10

精度失效模式的失效概率变化规律

Thumbnail: 图11 Refer to the following caption and surrounding text. 图11

给定所需最大角度时, 定位失效模式的失效概率

3.1.2 灵敏度

利用已经建立的Kriging代理模型, 结合Monte Carlo法计算各失效模式对应的灵敏度, 结果如图 1220所示。图 12图 15图 18给出了在给定阈值下(即Fmax=3.72×104N, αneed=93.35°, Δ0=0.35°), 各输入变量的灵敏度随收放次数的变化规律。图 13图 16图 19给出起落架在5万次收放时, 各失效模式输入变量的灵敏度随阈值改变的变化规律。图 14图 17图 20选择了5万次收放时灵敏度最大的输入变量, 给出了其灵敏度随收放次数、阈值变化的变化规律。

图 12中可以看出: 对于卡滞失效模式, 在给定作动筒最大推力Fmax情况下, 在收放次数较少时, 各输入变量的影响都比较小; 而随着收放次数的增加, 在一段时间内时, 除C处摩擦力外, 安装点处Y轴的坐标所带来的影响最大, 这是因为Y坐标的改变将直接引起液压驱动力方向的偏离; 收放次数超过4万后, 传动结构的摩擦力造成的影响进一步增加, 成为影响可靠性的最大因素。

图 15中可以看出: 对于定位失效模式, 在给定所需最大角度αneed.情况下, 起落架收放次数小于2万时, 传动构件C处的摩擦力带来的影响最大; 在2万~3万次收放时, 各变量的影响较小且几乎相同; 但收放次数超过3万后, 磨损成为不可忽略的因素, 且随着收放次数的增大, 其带来的影响也逐步增大。

图 18中可以看出: 对于精度失效模式, 在给定允许角度误差Δ0情况下, 收放次数在3万次之前, 各变量几乎没有影响, 之后随着收放次数的增加, 磨损所带来的影响最大, 相比而言, 其他因素所造成的影响几乎没有变化。因此, 通过降低磨损量可以有效降低起落架收放机构因精度不足导致的故障。

图 13图 16图 19给出了在整个阈值的取值范围, 各输入变量灵敏度对阈值变化的完整规律。从中可以看出, 各输入变量灵敏度的变化曲线是一条中间高, 两端逐渐下降且较对称的钟形曲线。

图 14图 17图 20给出了单个变量灵敏度在整个空间(整个阈值的取值范围, 收放次数)的变化规律, 从中可以得到单个变量灵敏度变化的完整信息。

Thumbnail: 图12 Refer to the following caption and surrounding text. 图12

给定作动筒最大推力时, 卡滞失效模式灵敏度变化规律

Thumbnail: 图13 Refer to the following caption and surrounding text. 图13

5万次收放时, 卡滞失效模式灵敏度变化规律

Thumbnail: 图14 Refer to the following caption and surrounding text. 图14

x7灵敏度随作动筒最大推力, 收放次数改变的变化规律

Thumbnail: 图15 Refer to the following caption and surrounding text. 图15

给定所需最大角度时, 定位失效模式灵敏度变化规律

Thumbnail: 图16 Refer to the following caption and surrounding text. 图16

5万次收放时, 定位失效模式灵敏度变化规律

Thumbnail: 图17 Refer to the following caption and surrounding text. 图17

x8灵敏度随所需最大角度, 收放次数改变的变化规律

Thumbnail: 图18 Refer to the following caption and surrounding text. 图18

给定允许角度误差时, 精度失效模式灵敏度变化规律

Thumbnail: 图19 Refer to the following caption and surrounding text. 图19

5万次收放时, 精度失效模式灵敏度变化规律

Thumbnail: 图20 Refer to the following caption and surrounding text. 图20

x8灵敏度随允许角度误差, 收放次数改变的变化规律

3.2 考虑失效模式串联时的机构可靠性与灵敏度分析

考虑3种失效模式串联时, 分别给出在给定阈值下的失效概率与各输入变量的灵敏度, 如图 2122所示。从失效概率的结果来看: 整体系统的失效概率也呈现“先减小后增大”的趋势。从灵敏度的结果来看: 传动构件之间的摩擦所带来的影响一直都比较大, 只是不同位置处的摩擦对可靠性的影响不同, 因此应该对起落架传动构件之间的接触部位做好润滑。另外, 起落架收放次数在3万~4万时, 安装点处Y轴的坐标所带来的影响偏大, 这说明提高装配精度, 降低装配误差, 对于提高机构可靠性具有积极意义。

考虑3种失效模式串联时, 起落架系统的可靠性和灵敏度分析结果与考虑单一失效模式时的结果存在差别, 这是可以预见到的。此外, 每个失效模式对起落架整体可靠性的影响程度也有所不同, 需要进一步开展后续研究。

Thumbnail: 图21 Refer to the following caption and surrounding text. 图21

考虑3种失效模式串联的失效概率变化规律

Thumbnail: 图22 Refer to the following caption and surrounding text. 图22

各输入变量的灵敏度随收放次数改变的变化规律

4 结论

1) 本文基于在ADAMS中建立的起落架收放机构刚体模型, 考虑安装位置、摩擦因数、磨损量的不确定性, 考虑作动筒驱动力、运动角度等机构响应量, 建立了起落架收放机构多个失效模式(卡滞失效、定位失效、精度失效)的可靠性模型。

2) 基于Kriging代理模型, 结合Monte Carlo法对起落架收放机构进行了可靠性及灵敏度分析, 从分析结果可以看出: 起落架机构的失效概率整体上呈“先减小后增大”的趋势。全局灵敏度指标结果反映了不同收放次数下输入变量的不确定性对失效概率的贡献程度, 该计算结果可以为起落架可靠性设计提供参考。

3) 本文提供的研究思路和方法可以用于其他运动机构的可靠性和灵敏度分析中, 能够为机械装备的可靠性设计提供有益支撑。在后续工作中, 将进一步考虑部件变形以及不同失效模式对机构可靠性的影响。

References

  1. Lyu Zhenzhou, Song Shufang, Li Hongshuang, et al. Reliability and reliability sensitivity analysis of structural mechanism[M]. Beijing: Science Press, 2009 (in Chinese) [Google Scholar]
  2. Yang Xufeng, Liu Yongshou, He Yong. Functional reliability and parameter sensitivity analysis for retraction-extension system of landing gear[J]. Aeronautical Manufacturing Technology, 2014, 447(3): 78–81 [Article] (in Chinese) [Google Scholar]
  3. Chen Jianjun, Chen Yong, Gao Wei, et al. Reliability analysis and simulation for kinematics accuracy of the flat four-bar mechanism[J]. Jounal of Xidian University, 2001, 28(6): 759–763 [Article] (in Chinese) [Google Scholar]
  4. Li Wenli, Yuan Daning, Liu Hongzhao, et al. Reliability research on the mechanism system wear simulation under the case of the small-scale sample[J]. Journal of Mechanical Engineering, 2015, 51(13): 235–244 [Article] (in Chinese) [Google Scholar]
  5. Guo Zhigang, Feng Yunwen, Feng Yuansheng. Wear reliability of linkage under periodic loading[J]. Journal of Northwestern Polytechnical University, 2006, 24(5): 644–647 [Article] (in Chinese) [Google Scholar]
  6. Zhang Juan, Wang Yanyan. Research on time-variant reliability and time-varying global reliability sensitivity of aircraft landing gear mechanism[J]. Mechanical Science and Technology for Aerospace Engineering, 2018, 37(3): 358–363 [Article] (in Chinese) [Google Scholar]
  7. Zhao Jinbiao, Zheng Xiangwei, Feng Yunwen, et al. Reliability analysis of landing gear mechanism during emergency extending[J]. Machinery Design & Manufacture, 2014(8): 38–40 [Article] (in Chinese) [Google Scholar]
  8. Chen Lin. Analysis on the kinematic and dynamic performance of landing-gear retraction[D]. Nanjing: Nanjing University of Aeronautics and Astronautics, 2007 (in Chinese) [Google Scholar]
  9. Chang Qingchun. Research on fatigue reliability and functional reliability with interrelated multiple failure modes of landing gear steering mechanism[D]. Naijing: Nanjing University of Aeronautics and Astronautics, 2018 (in Chinese) [Google Scholar]
  10. Wang Yulong, Wei Xiaohui, Yin Yan, et al. Failure analysis and gap impact analysis of a landing gear's extension retraction test[J]. Mechanical Science and Technology for Aerospace Engineering, 2015, 34(2): 325–328 [Article] (in Chinese) [Google Scholar]
  11. Pang Huan. Motion functional reliability modeling methods and applications for typical mechanisms of aircraft[D]. Xi'an: Northwestern Polytechnical University, 2016 (in Chinese) [Google Scholar]
  12. Xu Wei. The reliability analysis of a military aircraft's landing gear retracting-extending mechanism[D]. Xi'an: Xidian University, 2015 (in Chinese) [Google Scholar]
  13. Liu Fuchao, Wei Peifeng, Zhou Changcong, et al. Time-dependent reliability and sensitivity analysis for planar motion mechanisms with revolution joint clearances[J]. Acta Aeronautica et Astronautica Sinica, 2018, 39(11): 222–230 [Article] (in Chinese) [Google Scholar]
  14. Lyu Zhenzhou, Li Luwei, Song Shufang, et al. Importance analysis theory and solution method of uncertain structural system[M]. Beijing: Science Press, 2014: 223–225 (in Chinese) [Google Scholar]
  15. Han Zhonghua. Kriging surrogate model and its application to design optimization: a review of recent progress[J]. Acta Aeronautica et Astronautica Sinica, 2016, 37(11): 3197–3225 [Article] (in Chinese) [Google Scholar]
  16. Liu Haitao, Cai Jianfei, Ong Y S. An adaptive sampling approach for Kriging metamodeling by maximizing expected prediction error[J]. Computers & Chemical Engineering, 2017, 106: 171–182 [Article] [Google Scholar]
  17. Wang Jian, Sun Zhili. The stepwise accuracy-improvement strategy based on the Kriging model for structural reliability analysis[J]. Structural and Multidisciplinary Optimization, 2018, 58(2): 595–612 [Article] [Google Scholar]
  18. Zhang Zheng, Zhou Changcong, Dai Zhihao, et al. Robust optimization of hydraulic piping system based on importance measure dimension-reduction[J]. Acta Aeronautica et Astronautica Sinica, 2018, 39(8): 281–289 [Article] (in Chinese) [Google Scholar]
  19. Zhou Changcong, Tang Chenghu, Liu Fuchao, et al. Regional moment-independent sensitivity analysis with its applications in engineering[J]. Chinese Journal of Aeronautics, 2017, 30(3): 1031–1042 [Article] [Google Scholar]
  20. Zhou Changcong, Zhang Zheng, Liu Fuchao, et al. Sensitivity analysis for probabilistic anti-resonance design of aeronautical hydraulic pipelines[J]. Chinese Journal of Aeronautics, 2019, 32(4): 948–95 [Article] [Google Scholar]

All Tables

表1

随机变量的分布信息

表2

不同收放次数下, 磨损量x8的分布信息

All Figures

Thumbnail: 图1 Refer to the following caption and surrounding text. 图1

起落架放下状态

In the text
Thumbnail: 图2 Refer to the following caption and surrounding text. 图2

起落架收起状态

In the text
Thumbnail: 图3 Refer to the following caption and surrounding text. 图3

收放角度的变化规律

In the text
Thumbnail: 图4 Refer to the following caption and surrounding text. 图4

作动筒所需驱动力的变化规律

In the text
Thumbnail: 图5 Refer to the following caption and surrounding text. 图5

传动构件

In the text
Thumbnail: 图6 Refer to the following caption and surrounding text. 图6

D处铰链碰撞图

In the text
Thumbnail: 图7 Refer to the following caption and surrounding text. 图7

基于自适应Kriging代理模型的可靠性和灵敏度分析流程

In the text
Thumbnail: 图8 Refer to the following caption and surrounding text. 图8

卡滞失效模式的失效概率变化规律

In the text
Thumbnail: 图9 Refer to the following caption and surrounding text. 图9

定位失效模式的失效概率变化规律

In the text
Thumbnail: 图10 Refer to the following caption and surrounding text. 图10

精度失效模式的失效概率变化规律

In the text
Thumbnail: 图11 Refer to the following caption and surrounding text. 图11

给定所需最大角度时, 定位失效模式的失效概率

In the text
Thumbnail: 图12 Refer to the following caption and surrounding text. 图12

给定作动筒最大推力时, 卡滞失效模式灵敏度变化规律

In the text
Thumbnail: 图13 Refer to the following caption and surrounding text. 图13

5万次收放时, 卡滞失效模式灵敏度变化规律

In the text
Thumbnail: 图14 Refer to the following caption and surrounding text. 图14

x7灵敏度随作动筒最大推力, 收放次数改变的变化规律

In the text
Thumbnail: 图15 Refer to the following caption and surrounding text. 图15

给定所需最大角度时, 定位失效模式灵敏度变化规律

In the text
Thumbnail: 图16 Refer to the following caption and surrounding text. 图16

5万次收放时, 定位失效模式灵敏度变化规律

In the text
Thumbnail: 图17 Refer to the following caption and surrounding text. 图17

x8灵敏度随所需最大角度, 收放次数改变的变化规律

In the text
Thumbnail: 图18 Refer to the following caption and surrounding text. 图18

给定允许角度误差时, 精度失效模式灵敏度变化规律

In the text
Thumbnail: 图19 Refer to the following caption and surrounding text. 图19

5万次收放时, 精度失效模式灵敏度变化规律

In the text
Thumbnail: 图20 Refer to the following caption and surrounding text. 图20

x8灵敏度随允许角度误差, 收放次数改变的变化规律

In the text
Thumbnail: 图21 Refer to the following caption and surrounding text. 图21

考虑3种失效模式串联的失效概率变化规律

In the text
Thumbnail: 图22 Refer to the following caption and surrounding text. 图22

各输入变量的灵敏度随收放次数改变的变化规律

In the text

Current usage metrics show cumulative count of Article Views (full-text article views including HTML views, PDF and ePub downloads, according to the available data) and Abstracts Views on Vision4Press platform.

Data correspond to usage on the plateform after 2015. The current usage metrics is available 48-96 hours after online publication and is updated daily on week days.

Initial download of the metrics may take a while.