| Issue |
JNWPU
Volume 39, Number 2, April 2021
|
|
|---|---|---|
| Page(s) | 278 - 284 | |
| DOI | https://doi.org/10.1051/jnwpu/20213920278 | |
| Published online | 09 June 2021 | |
Configuration reconstruction elastic mechanics method for repairing a faulted Walker constellation performance
Walker星座性能修复构型重构的弹性力学解法
1
State Key Laboratory of Astronautic Dynamics, Xi'an Satellite Control Center, Xi'an 710043, China
2
School of Astronautics, Northwestern Polytechnical University, Xi'an 710072, China
3
Qian Xuesen Laboratory of Space Technology, China Academy of Space Technology, Beijing 100094, China
Received:
28
June
2020
Abstract
Walker constellation is the most effective constellation for global coverage and is often used for earth observation, navigation and internet communication. A scenario that several faulted satellites in a Walker constellation lead to its performance degradation can be quickly repaired to a certain extent by reconstructing the on-orbit satellite configuration. Different from the classical strategies such as adjusting the phase of the adjacent satellites, uniform the on-satellites' phase and adjusting the plane of the adjacent satellites, this paper proposes a bionic reconstruction method which uses the elastic mechanics method of thin film plate to generate the satellite maneuver strategy in the constellation reconstruction process, minimizes the performance degradation between the repaired configuration and the previous configuration. Thus, the maneuver strategy of each satellite can be calculated in reversely. The simulation example shows that the maneuver strategy by the bionic reconstruction method is more harmonious and natural than the classical strategies.
摘要
Walker星座是全球覆盖最有效的星座,常用于对地观测、导航和互联网通信等。星座中卫星故障引起星座整体性能下降的场景可以使用在轨卫星构型重构一定程度上快速修复。与调整相邻卫星相位、均匀相位和均匀星座等经典策略不同,仿生薄膜板弹性力学应力应变过程,提出星座重构卫星机动策略,使修复后星座构型与之前相比性能下降最小,从而计算出每颗卫星机动策略。算例表明所提方法重构的星座比经典策略重构星座性能指标更优更协调。
Key words: Walker constellation / constellation reconstruction / elastic space / elastic mechanics / simulation
关键字 : Walker星座 / 星座重构 / 弹性空间 / 弹性力学
© 2021 Journal of Northwestern Polytechnical University. All rights reserved.
This is an Open Access article distributed under the terms of the Creative Commons Attribution License (http://creativecommons.org/licenses/by/4.0), which permits unrestricted use, distribution, and reproduction in any medium, provided the original work is properly cited.
Walker星座是全球覆盖最有效星座[1],常用于对地观测、导航和互联网通信等。近年来,随着卫星和运载火箭标准化、商业化和产业化,星座部署成本降低。而全球观测覆盖率、重访时间分辨率等需求增长使得星座中卫星数量急剧增长,如Space-X公司Star-link互联网星座预计最终部署约42 000颗卫星。因单颗卫星系统故障解体或空间碎片撞击引发Kessler效应[2]可能导致Walker星座中同轨道面相邻多颗卫星均处于碎片带,进而产生故障,引起星座整体性能下降[3]。星座性能快速修复有2种途径:①地面具备快速发射响应能力,补充卫星来弥补失效卫星原有职能[4];②依靠在轨卫星构型重构对星座整体性能进行一定程度修复[5]。前者由于近年来快速响应火箭技术发展逐渐被重视,但快响火箭运载能力和响应周期仍难满足现实需求,而后者因其可快速实现性被学者长期研究。对于卫星数量较少的星座可以采用轨道力学专家知识简单计算出可接受重构策略[5-6],甚至采用间接法给出最优策略[7],而对于卫星数量稍多的情况采用智能进化算法[8-10]或拍卖算法[11]给出可行重构策略。一些学者也将多Agent技术引入到卫星编队构型重构问题中来[12],但重构位置分配问题仍利用拍卖算法求解[13]。随着星座中卫星数量急剧增长,轨道力学专家知识方法难以胜任,基于进化算法或拍卖算法的搜索方式显现出维数灾难问题[14]。
本文试用薄膜弹性力学理论求解Walker星座性能修复构型重构策略。
1 在轨重构问题描述
星座重构一般发生在星座分阶段部署、任务调整重构和卫星故障在轨重构等场景。分阶段部署可以利用发射窗口[15]、升交点进动[16]和大气阻力[17](低轨)等节能方式部署;任务调整重构的典型场景如指定区域详细观测任务,一般利用专家知识[6]或进化算法[8]给出可行解;卫星故障在轨重构任务可以分为单星故障、同轨道面多星故障和多轨道面多星故障3类需要重构的场景,构成多约束多目标优化问题[18]。
1.1 Walker星座及典型故障
Walker星座可用5个参数N, P, F, h, i描述。(N, P, F)为离散正整数, 分别为卫星总个数、分布轨道面数和相位因子, 0≤F≤P-1。h, i分别为轨道高度和轨道倾角, Walker星座默认所有卫星高度和轨道倾角相同。升交点赤经
(1)
式中:
为基准轨道面升交点赤经。Walker星座有全球覆盖率和时间分辨率2项重要指标。
1.1.1 全球覆盖率
全球覆盖率主要由倾角i、轨道高度h和卫星的对地覆盖波束半张角θ决定, 如图 1所示, 全球覆盖率为
(2)
式中: S=4πRe2为地球表面积; Re为地球半径, 球冠表面积为
(3)
式中:
, 当
时, i+=i+d; 否则, i+=i-d。地面覆盖角d为
(4)
![]() |
图 1 Walker星座对地观测几何 |
1.1.2 时间分辨率
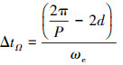
除对地可见光观测卫星外, Walker星座时间分辨率主要有经度方向和轨道面内2个方向:
1) 相邻轨道面在赤道上的经度差为
, 而覆盖带宽度为2d, 如果2d≥
, 则时间分辨率为0, 否则, 时间分辨率为
(5)
式中,ωe=7.292 115×10-5 rad/s为地球自转角速度。
2) 轨道高度决定周期T, 轨道面内卫星数为
, 如果
, 则轨道面内时间分辨率为0, 否则, 时间分辨率为
(6)
式中,
为考虑摄动的轨道角速度。时间分辨率需要分别计算经度方向和轨道面内时间分辨率, 使其较大者尽可能小, 提升观测窗口密度。
导致Walker星座中单颗卫星失效的原因可能来自于卫星自身故障或空间碎片小动量碰撞, 而同轨道面多星故障可能来自于卫星姿态控制系统失效导致的卫星解体或空间碎片大动量碰撞产生的碎片带(云), 这些碎片云会贴近轨道面沿轨道迹向散开, 一段时间后散布相位区间增大[19], 引起Walker星座单颗、相邻多颗、甚至某个轨道面内所有卫星均失效。
1.2 轨道调整模型
考虑星座重构时为了节约燃料消耗, 均采用Gauss摄动方程进行轨道小偏差调整。
1.2.1 相位调整
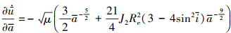
为保证均匀对地覆盖, Walker星座中卫星均为近圆轨道(e≈0), 考虑地球扁率J2=1.083×10-3项影响, 忽略高阶项, 轨道平相位角速率为
(7)
式中:μ=3.986 004 3×105 km3·s-2为地球引力系数;
为平半长轴;
为平倾角。分别对
和
求偏导
(8)
(9)
由平半长轴差
和平倾角差
引起的相位差变化速率为
(10)
1.2.2 升交点赤经调整
由Gauss摄动方程知, 直接调整升交点赤经燃料消耗代价较大, 通常采用半长轴和倾角偏置产生升交点赤经漂移速率差值调整升交点赤经。同样考虑近圆轨道地球扁率影响, 平升交点赤经漂移速率为
(11)
(11) 式分别对
和
求偏导
(12)
(13)
由平半长轴差
和平倾角差
引起的平升交点赤经差值变化速率为
(14)
如果采用切向速度增量Δvt和法向速度增量Δvh在最佳时刻分别调整轨道半长轴和倾角, 有
(15)
(16)
式中:
。
2 薄膜弹性力学解法
当Walker星座中卫星数量较多时, 可以认为所有卫星分布在地心球面或球带面薄膜板上, 当某一个或某些轨道平面卫星失效, 可以等效为该球膜或球带薄膜产生漏洞, 如图 2所示。
星座在轨重构等效为使用外力拉伸漏洞附近薄膜, 使之发生薄膜形变位移, 来缩小漏洞面积, 一定程度上恢复漏洞区域卫星的缺失职能。由于Walker星座卫星轨道调整不会给所在球面或球带面带来轨道高度显著变化, 这与薄膜板弹性力学无弯曲应力形变相似。
![]() |
图 2 星座修复重构仿生薄膜弹性力学示意图 |
2.1 仿正交异性薄膜板刚度矩阵
不考虑剪切应变的正交异性薄膜板刚度矩阵如下
(17)
式中: Exx, Eyy分别为局部坐标x, y轴向的等效弹性模量; νxy, νyx分别为x, y轴向的泊松比; 柔度矩阵S=D-1, 应变与应力关系为ε=Sσ。
与之类似, Walker星座中卫星轨道
与最佳时刻轨道调整速度增量Δvt, Δvh存在关系
(18)
对于限定轨道调整时长t的星座重构任务而言, 相位和升交点调整量分别为
(19)
2.2 弹性力学Ritz解法
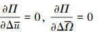
设星座重构调整总势能函数为
(20)
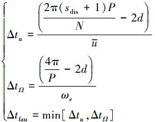
式中: U为星座重构轨道机动代价等效函数; W为星座重构前后整体性能指标下降量。
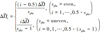
如图 3所示, 假设Walker星座某轨道面
颗卫星中连续sdis颗卫星失效, 引起失效相位区域为
。设同轨道面剩余卫星均分别向靠近失效相位区域机动, 紧邻失效区域的2颗卫星相位调整量都为Δu, 其余卫星按照弹性力学等应变线性位移法则减少相位调整量, 每颗卫星相位调整量为
(21)
式中:
, 为失效卫星所在轨道面内正常卫星颗数;i从距离失效卫星相位最远的卫星开始计数;even, uneven代表偶数和奇数。则需相位调整累加和为
或
。
设2个相邻轨道面内相位接近的2sdis卫星分别从左右两侧靠近失效区域调整升交点赤经ΔΩ, 则其余轨道面相位接近的卫星向失效区域调整升交点赤经量为
(22)
式中: spla=P-1, 为除失效卫星所在轨道面的剩余轨道面个数;i从距离失效卫星所在轨道面升交点赤经最远的轨道面开始计数。则需升交点调整累加和为
或
。
进一步可以通过(18)式和(19)式计算出最佳时刻轨道调整速度增量累加值Δvt和Δvh, 则可设轨道机动代价等效函数为
(23)
参考文献[5]中修复比例概念, 设星座未受损时时间分辨率为Δtini, Δtini取(5)式和(6)式较大值。受损后星座时间分辨率为
(24)
修复后时间分辨率为
(25)
则可设星座重构前后整体性能指标下降量等效函数为
(26)
仿照弹性力学理论中最小势能原理对(20)式求偏导, 使偏导数为0。
(27)
可得, 如图 3所示
和
表达式为
(28)
(29)
(30)
星座重构轨道机动代价等效函数U会随容许的轨道调整时长t变化。
![]() |
图 3 Walker星座重构前后失效区域示意图 |
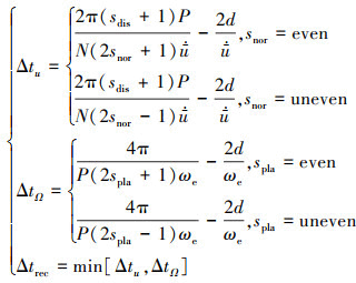
3 算例
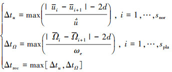
3.1 算例1
参考文献[5]中Walker星座[(N/P/F), (h, i)]=[(18/3/2), (1 000 km, 30°)], 星座未受损时的时间分辨率为48 s, 由(6)式可计算地面覆盖角约为28.626°。与文献[5]相同, 假设失效卫星为2颗和3颗, 按照本文方法计算重构前后性能与文献指标对比如表 1所示。
由受损后时间分辨率可知, 本文考虑地球扁率的模型更为精确。设置同样的重构时间, 相比于文献[5]计算结果, 本文重构策略各种性能指标也更优。原因是: 利用弹性力学方法, 使剩余卫星分别从两侧同时向故障卫星方向实施轨道机动, 分摊到每颗卫星的机动能耗和所有机动卫星的总机动能耗均有所减少, 这种星座重构策略更接近自然界中材料的弹性力学协调变形行为, 但代价是几乎全部剩余卫星都需机动。
3.2 算例2
以新一代铱星星座轨道高度为例[20], 假设Walker星座参数[(N/P/F), (h, i)]=[(66/6/?), (774.63 km, 86.39°)], 赤道连续覆盖Δtini=Δtλ=0, 通过(5)式可知单星地面覆盖角d≥30°, 取d=30°, 假设重构时长为t=86 400 s, 则某轨道面内相邻失效卫星数量sdis=1, 2, 3, …, 11时, 重构前后性能指标如表 2所示。
算例2设置的重构时长为1天, 约为算例1的10倍, 最大速度增量及速度增量总和显著降低至百米每秒量级, 具备工程实施可能。当轨道面失效卫星数接近该轨道面所有卫星数时, 即便留100天重构时长用于其余轨道面卫星调整升交点赤经, 也需千米每秒量级的变轨速度增量, 在轨卫星很难付出这样的代价, 建议由地面发射新卫星补充失效卫星原功能。
新一代铱星星座重构性能指标
4 结论
本文提出利用薄膜板线弹性力学Ritz方法求解Walker星座典型故障场景中, 在轨卫星机动重构星座构型的问题。算例表明该方法可以解析求解重构策略, 求解的重构策略相比已有文献结果更优更协调。
References
- Walker J G. Circular orbit patterns providing continuous whole earth coverage[R]. Royal Aircraft Establishment Technical Report 70211, 1970 [Google Scholar]
- Kessler D J, Cour-Palais B G. Collision frequency of artificial satellites: the creation of a debris belt[J]. Journal of Geophysical Research, 1978, 83(A6): 2637 [Article] [Google Scholar]
- Liu Guangjun, Shen Huairong. Research on satellite collision avoidance in constellation[J]. Aerospace Control, 2004, 22(6): 66–70 [Article] (in Chinese) [Google Scholar]
- Zhao Shuang, Zhang Yashen, Dai Huayu. Configuration design of navigation constellation reconfiguration based on quick response[J]. Aerospace Control and Application, 2018, 44(4): 29–36 [Article] (in Chinese) [Google Scholar]
- Zhang Yashen, Zhang Yulin. Research on the fast reconfiguration method for the performance restore type constellation[J]. Journal of Academy of Equipment Command & Technology, 2005, 16(4): 66–72 [Article] (in Chinese) [Google Scholar]
- Yu Xiaohong, Feng Shuxing. Study on reconfiguring method of small satellite constellations for regional observation[J]. Journal of Astroanutics, 2003, 24(2): 168–172 [Article] (in Chinese) [Google Scholar]
- Appel L, Guelman M, Mishne DOptimization of satellite constellation reconfiguration maneuvers[J]. Acta Astronautics, 2014, 99(6/7): 166–174 [Article] [Google Scholar]
- Paek S, Kim S, De Weck OOptimization of reconfigurable satellite constellations using simulated annealing and genetic algorithm[J]. Sensors, 2019, 19(4): 1–29 [Article] [Google Scholar]
- Ferringer M P, Spencer D B, Reed P. Many-objective reconfiguration of operational satellite constellations with the large-cluster epsilon non-dominated sorting genetic algorithm-II[C]//11th Conference on Congress on Evolutionary Computation, 2009 [Google Scholar]
- Zhao Shuang, Zhang Yashen, Dai Huayu, et al. Failure performance and reconstruction method of satellite navigation system[J]. Aerospace Control and Application, 2018, 44(2): 49–55 [Article] (in Chinese) [Google Scholar]
- Weck O L D, Scialom U, Siddiqi A. Optimal reconfiguration of satellite constellations with the auction algorithm[J]. Acta Astronautica, 2008, 62(2/3): 112–130 [Google Scholar]
- Schetter T, Campell M, Surka DMultiple agent-based autonomy for satellite constellations[J]. Journal of Artificial Intelligence, 2003, 145(1/2): 147–180 [Article] [Google Scholar]
- Zhang Jian, Dai Jinhai Agent-based autonomous formation reconfiguration techniques for distributed satellite systems[J]. Journal of National University of Defense Technology, 2007, 29(2): 5–9 [Article] (in Chinese) [Google Scholar]
- Wang Y P, Dang C Y. An evolutionary algorithm for global optimization based on level-set evolution and latin squares[J]. IEEE Trans on Evolutionary Computation, 2007, 11(5): 579–595 [Article] [Google Scholar]
- Crisp N H, Smith K, Hollingsworth P. Launch and deployment of distributed small satellite systems[J]. Acta Astronautica, 2015, 114(9/10): 65–78 [Article] [Google Scholar]
- Mcgrath C N, Macdonald M. General perturbation method for satellite constellation reconfiguration using low-thrust maneuvers[J]. Journal of Guidance, Control, and Dynamics, 2019, 42(8): 1676–1692 [Article] [Google Scholar]
- Leppinen HDeploying a single-launch nano-satellite constellation to several orbital planes using drag maneuvers[J]. Acta Astronautica, 2016, 121(4/5): 23–28 [Article] [Google Scholar]
- Zhao S, Xu Y L, Dai H Y. Research on the configuration design method of heterogeneous constellation reconstruction under the multiple objective and multiple constraint[C]//AIP Conference Proceedings, 2017 [Google Scholar]
- Zhang Binbin, Wang Zhaokui, Zhang Yulin Modeling and analysis on the long-term evolution of the space debris cloud[J]. Chinese Space Science and Technology, 2016, 36(4): 1–8 [Article] (in Chinese) [Google Scholar]
- Portillo I P, Cameron B G, Crawley E F. A technical comparison of three low earth orbit satellite constellation systems to provide global broadband[J]. Acta Astronautica, 2019, 159(3/4): 123–135 [Article] [Google Scholar]
All Tables
All Figures
![]() |
图 1 Walker星座对地观测几何 |
| In the text | |
![]() |
图 2 星座修复重构仿生薄膜弹性力学示意图 |
| In the text | |
![]() |
图 3 Walker星座重构前后失效区域示意图 |
| In the text | |
Current usage metrics show cumulative count of Article Views (full-text article views including HTML views, PDF and ePub downloads, according to the available data) and Abstracts Views on Vision4Press platform.
Data correspond to usage on the plateform after 2015. The current usage metrics is available 48-96 hours after online publication and is updated daily on week days.
Initial download of the metrics may take a while.



