Open Access
表1
常用的一致性检验算子
| 序号 | 方法 | 方法适用场景分析 | 特征差异 | 分辨率 |
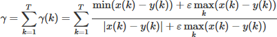
| 1 | 灰色关联分析![]() 式中:ε为分辨系数,在[0, 1]之间取值,一般取0.5;T为时间序列长度 |
适合单样本之间的关联分析; 关注曲线之间的几何相似性。 |
几何形状 | 一般 |
| 2 | 欧式距离![]() |
各分量的量纲相同对待,有时与实际问题不符; 各个分量的分布可能不同,包括参数和形式。 |
空间距离 | 一般 |
| 3 | 马氏距离![]() 式中,V为协方差阵,若V为单位阵,则马氏距离变为欧式距离 |
与量纲无关,排除变量之间的相关性干扰。 | 空间距离 | 一般 |
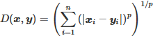
| 4 | 曼哈顿距离(绝对距离)![]() |
各分量的量纲相同对待,有时与实际问题不符; 适用于分量分布形式、参数无特殊约束场景。 |
空间距离 | 优 |
| 5 | 切比雪夫距离![]() |
各分量的量纲相同对待,有时与实际问题不符; 适用于分量分布形式、参数无特殊约束场景。 |
空间距离 | 一般 |
| 6 | 闵氏距离![]() 式中:当p=1时,为曼哈顿距离;p=2时,为欧式距离;当p→∞,为切比雪夫距离 |
各分量的量纲相同对待,有时与实际问题不符; 适用于分量分布形式、参数无特殊约束场景。 |
空间距离 | 一般 |
| 7 | B-模距离![]() 式中:B为正定矩阵,当i=1时为欧式距离;当i=2时为马氏距离 |
各分量的量纲相同对待,有时与实际问题不符; 适用于分量分布形式、参数无特殊约束场景。 |
空间距离 | 一般 |
| 8 | Cook距离![]() 式中:XTX为正定的权矩阵;pσ2为尺度因子。 |
各分量的量纲相同对待,有时与实际问题不符; 适用于分量分布形式、参数无特殊约束场景。 |
空间距离 | 一般 |
| 9 | 似然距离![]() 式中:Lmax(θ)为全局最大值;L(·)为对数似然函数 |
通过联合似然值计算排除不同量纲影响,需知道参数分布形式 | 空间距离 | 一般 |
| 10 | 余弦相似度![]() 式中:D(x, y)大小在[-1 1],若D(x, y)越大,表示2个向量的夹角越小 |
通过除法运算排除不同量纲影响 | 几何形状 | 一般 |
| 11 | TIC: ![]() |
各分量的量纲相同对待,有时与实际问题不符; 适用于分量分布形式、参数无特殊约束场景。 |
几何形状 | 一般 |
| 12 | 相关系数![]() 式中: ![]() |
各分量的量纲相同对待,有时与实际问题不符; 各分量的分布可能不同,包括参数和形式。 |
总体趋势 | 一般 |
| 13 | 误差分析![]() |
简单易懂,受量纲影响较大。 | 空间距离 | 优 |
| 14 | 概率关联法![]() |
通过积分变换将不同量级变量转换为[0 1]概率值,通过概率值一致性检验进行问题求解; 适用于变量分布形式、参数不同的场景。 |
均值、方差、样本分布、总体趋势、频率组成 与分布 |
优 |
Current usage metrics show cumulative count of Article Views (full-text article views including HTML views, PDF and ePub downloads, according to the available data) and Abstracts Views on Vision4Press platform.
Data correspond to usage on the plateform after 2015. The current usage metrics is available 48-96 hours after online publication and is updated daily on week days.
Initial download of the metrics may take a while.














![$e=\sum\limits_{k=1}^T e(k)=\sum\limits_{k=1}^T[\boldsymbol{x}(k)-\boldsymbol{y}(k)]$](/articles/jnwpu/full_html/2025/04/jnwpu2025434p831/jnwpu2025434p831-eq23.gif)
