| Issue |
JNWPU
Volume 37, Number 6, December 2019
|
|
|---|---|---|
| Page(s) | 1238 - 1247 | |
| DOI | https://doi.org/10.1051/jnwpu/20193761238 | |
| Published online | 11 February 2020 | |
Fully Connected Clustering Based Software Defined Control System and Node Failure Analysis
基于全连通群的软件定义控制系统及节点故障分析
1
School of Power and Energy, Northwestern Polytechnical University, Xi'an 710072, China
2
Faculty of Engineering, University of Waterloo, Waterloo, Ontario N2L 3G1, Canada
Received:
7
December
2018
Abstract
This paper proposes a Software Defined Control System (SDCS), which is a fully distributed controller scheme based on a fully connected cluster. The characteristic of SDCS is that the control task is virtualized into multiple Virtual Control Tasks (VCTs) and distributed on nodes with capabilities of computing and memory in the wireless network, there is no core node in the control system. The topologies of the wireless networks are inherently unstable, through constructing a Set of Migratable Nodes (SMN), a dynamic mapping relationship between VCTs and nodes to cope with the impact of potential network node failures on the function and performance of the control system is established. By equating the mapping relationship adjustment process to an external square wave pulse disturbance, the stability of the system under changing the mapping relationship is analyzed. In the scheme, the wireless network itself acts as a dynamic distributed controller, instead of using a particular core node to execute the control task, the distributed design of the controller and the dynamic mapping relationship above enhance the flexibility and the reliability of the control system. The digital simulation analysis is carried out in the MATLAB/Simulink environment, the results demonstrate the availability and effectiveness of the proposed scheme.
摘要
提出一种软件定义控制系统(software defined control system,SDCS),它是一种基于全连通群的全分布式控制器方案,其特点是控制任务被虚拟化为多个虚拟控制任务(virtual control tasks,VCTs)后分布在无线网络中具有计算和存储功能的节点上。无线网络的拓扑结构本质上是不稳定的,通过构建可迁移节点集,在虚拟控制任务和节点之间建立动态映射关系,以应对潜在的节点故障对控制系统功能和性能的影响。将映射关系调整过程等效为外部方波脉冲扰动,分析了节点故障引起的映射关系的改变对系统稳态和动态性能的影响。所提方案中无线网络充当一个动态的分布式控制器,而非使用某一特定核心节点执行控制任务,上述控制器分布式设计以及动态映射关系提升了控制系统的灵活性和可靠性。最后在MATLAB/Simulink中进行了仿真分析,结果显示了所提方案的可用性及有效性。
Key words: software defined control system / fully connected cluster / distributed controller / virtual control tasks / dynamic mapping relationship
关键字 : 软件定义控制系统 / 全连通群 / 分布式控制器 / 虚拟控制任务 / 动态映射关系
© 2019 Journal of Northwestern Polytechnical University. All rights reserved.
This is an Open Access article distributed under the terms of the Creative Commons Attribution License (http://creativecommons.org/licenses/by/4.0), which permits unrestricted use, distribution, and reproduction in any medium, provided the original work is properly cited.
为满足日益复杂的控制系统的模块化、低成本、易维修需求,出现了分布式控制系统。早期的分布式控制系统主要在传感器内部集成低成本微处理器,将传感器信号转变为控制器可用的数字信号,执行器接收从控制器传来的数字信号完成相应的动作,使控制器只执行系统控制任务,传感器、执行器和控制器之间通过工业现场总线或工业以太网进行连接,组成一个局域网。相对于集中式控制系统点对点式连接方式,其减少了线缆和连接器的使用,并且采用通用的模块和标准接口,缩短了研发周期,降低了设计成本。但是基于线缆连接的控制系统中,系统的部署和安装受到线缆的限制较大,在系统安装完毕后拓扑结构相对固定,并且在控制系统使用过程中,线缆和连接器会不可避免发生失效、老化等,给控制系统运行带来潜在的威胁。
研究人员将无线网络替代线缆应用在控制系统中,以解决分布式控制系统中存在的上述问题。其中无线网络化控制系统(wireless networked control systems, WNCS)是近几年的研究热点。WNCS中传感器、执行器和控制器之间通过无线网络进行通信,去除了系统内通信相关的线缆和连接器,系统易于部署、安装和升级改造,系统安装完毕后,拓扑结构比较灵活[1-2],同时,避免了使用过程中线缆和连接器潜在的电气故障给控制系统带来的威胁;目前国内外对于WNCS的研究主要集中于解决无线网络的延时、丢包等特性对于控制系统性能的影响[3],并且着手于设计面向控制系统的新的通信协议以满足控制系统的要求。但是WNCS中,无线网络中的节点仅作为通信介质承担数据通信任务,而不承担系统控制任务,控制任务只能在特定的节点上执行。随着控制系统规模和复杂性的提升,即使采用更先进的处理器、更大容量的程序存储器,控制系统性能也不会有太大提高,WNCS中核心控制节点的性能是控制系统性能的主要限制条件;并且在上述控制任务固定于特定核心节点上执行的设计方案中,核心控制节点的故障会影响整个系统的控制性能和稳定性,甚至导致系统不能正常工作[4-5]。
基于无线网络的分布式控制设计方案[6-7]是解决复杂系统性能需求的重要方向。本文提出了一种基于无线全连通群[8]的分布式控制器方案。本方案的主要特点是,除数据传输任务外,无线网络中的节点还承担系统控制任务,系统控制任务分散成多个子任务后分布在无线网络的节点上执行,控制任务是无线网络节点上运行的若干分布式子任务的综合。单个节点执行的任务量减少,软件代码量降低,提升了节点的软件可靠性,同时,每个节点上的子任务具有节点间迁移的功能,以应对无线网络节点潜在的故障对控制系统的影响。最后针对节点任务迁移过程对控制系统性能的影响进行了理论分析,并通过数字仿真对系统设计的有效性进行了验证。
1 软件定义控制系统结构
软件定义控制系统(SDCS)是随着无线通信技术、计算机技术、传感技术等支撑技术[9-11]的发展而提出的,图 1为SDCS控制系统拓扑抽象,图中虚线框内为无线网络,传感器与执行器都具备无线通信功能,且位于无线网络边界上。由于微处理器的迅速发展,单个处理器的体积在迅速减小,处理速度大幅提升,并且价格变得低廉,使得本文分布式控制器方案的性能和经济性得到了保证;随着无线通信技术的迅速发展,其通信速率大幅提升,通信延时降低,使得本方案所设计系统的运行过程中的数据吞吐量和实时性得到了保证。
控制系统包含控制平台和支撑平台两部分,控制平台执行系统控制任务,包括无线网络中所有物理节点以及全部虚拟控制任务;支撑平台对无线网络中节点及其上执行的控制任务进行监测、分析、调度,维护整个无线网络拓扑。本节主要介绍控制平台任务虚拟化方案和支撑平台架构。
![]() |
图1 软件定义控制系统拓扑抽象 |
1.1 控制任务虚拟化
控制平台要求将控制任务分布在无线网络的节点中,需要将系统控制任务虚拟为多个子任务,该过程称为控制任务虚拟化,每个虚拟化的子任务称为虚拟控制任务(virtual control task, VCT)。
控制系统通常采用相关软件工具进行设计,以控制系统设计中常用的MATLAB/Simulink软件工具为例,一种简单的控制任务虚拟化方案为将系统控制器封装为多个子系统(MATLAB/Simulink中的subsystem模块),每个子系统可作为一个VCT。软件工具能够由控制系统描述生成函数模型,在不同平台编译生成对应平台的可执行代码[12-13]。函数模型是平台无关的系统描述,可执行代码是平台相关的系统描述。
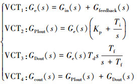
1.2 支撑平台管理器
支撑平台实现对整个无线网络中节点和VCT的监测和管理功能。支撑平台功能由支撑平台管理器(support platform manager,SPM)完成。图 2为SPM结构,每个节点上的本地操作系统(local operating system,LOS)运行与系统控制功能无关的本地任务(local tasks,LT)及映射到本节点的VCT。
SPM监测无线网络节点和VCT的CPU、内存等资源的使用状态,根据资源使用状态维护VCT与节点之间的映射关系,SPM的运行过程在第2节详细叙述。SPM不针对某一特定的节点,其作用范围跨越无线网络中的所有节点。
![]() |
图2 支撑平台管理器结构 |
2 系统运行过程介绍
为了对无线网络和VCT进行描述和控制,引入2个数据结构,SPM描述表(SPM description table,SPMDT)和节点控制表(nodes control table,NCT)。SPMDT对无线网络中节点相关状态以及VCT的状态进行描述,包括每个节点的资源使用情况以及VCT作为进程在节点LOS上运行时的资源占用情况;NCT包含VCT与网络节点的映射关系以及无线网络节点之间的数据收发关系。
无线网络中每个节点都有SPMDT和NCT的本地备份,通过周期性广播使所有节点的SPMDT和NCT保持一致。VCT的主节点和备选节点同步接收数据并处理,二者不同之处在于主节点将VCT计算数据发往下一VCT所在节点,而备选节点不再向下一VCT所在节点发送数据。
2.1 支撑平台管理器系统运行约束
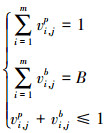
将所有VCT进行编号,记作VCT1, VCT2, …, VCTn, 引入集合SVCT={SVCT1, SVCT2, …, SVCTk}, 其中元素是VCT的集合, 如果VCTi, VCTi+1, …, VCTj之间具有加性关系, 则这几个VCT对应SVCT中的一个元素, 具有乘性关系的VCT中, 每个VCT对应SVCT中的一个元素, 编号规则为SVCTj的执行结果发送至SVCTj+1, 1≤j≤k-1;集合Snode={node1, node2, …, nodem}代表无线网络中所有物理节点的集合。每个VCT被映射到B+1个节点, 其中1个节点作为VCT的主节点, B个节点作为VCT的备选节点。
引入如下决策变量, 用于描述系统运行约束:
1) VCTj主节点分配变量vi, jp, 其中i∈{1, 2, …, m}, j∈{1, 2, …, n}

2) VCTj备选节点分配变量vi, jb, 其中i∈{1, 2, …, m}, j∈{1, 2, …, n}

3) SVCTj执行变量sja, 其中j∈{1, 2, …, k}

在系统运行过程中, 满足下面运行约束条件:
1) 每个VCT映射到1个主节点和B个备选节点, ∀i∈{1, 2, …, m}, j∈{1, 2, …, n}
(1)
2) 所有主节点的数量精确等于所有VCT的数量, 所有备选节点的数量大于或等于所有VCT的数量, ∀i∈{1, 2, …, m}, j∈{1, 2, …, n}
(2)
3) 系统运行时, 根据SVCT的编号规则, 编号α小于j的SVCT全部得到执行, 编号α大于j的SVCT全部未执行, 其中SVCTj正在执行, ∀α, j∈{1, …, k}
(3)
2.2 VCT与节点动态映射关系
节点故障(比如通信中断)或VCT所在节点性能不满足要求(比如负载率过高等)时, 调整VCT与节点的映射关系, 进行VCT的迁移, 迁移动作包括VCT的主节点和备选节点2种情况:
1) VCTj的主节点:当VCTj主节点发生故障而无法工作时, 以基于IEEE 802.11协议的对等、无中心无线网络[14]为例, 按照IP地址升序规则, IP地址最小的备选节点自动成为主节点。VCTj主节点性能不满足要求时, SPM进行可迁移性分析, 选择满足VCTj执行条件的节点构建可迁移节点集(可迁移节点集的构建见2.3节), 记Mj, 其中j∈{1, 2, …, n}, 根据IP地址升序规则, 选取Mj中IP地址最小的节点充当VCTj主节点, 空闲节点(与VCT没有映射关系的节点)优先。
2) VCTj的备选节点:当VCTj的备选节点发生故障或性能不满足要求时, SPM进行可迁移性分析, 建立可执行VCTj的节点集, 用上述相同的方式从该集合中选取节点充当VCTj的备选节点。
上述任务迁移的目的是使节点存在故障时控制任务正常执行, 避免低性能节点对控制系统性能的不良影响。本方案主要研究控制器分布式设计, 因而任务迁移只针对VCT的迁移, 不包括数据采集或执行控制任务等。
2.3 可迁移节点集构建
为了构建VCTj的可迁移节点集, 需要对所有空闲节点进行分析, 为分析方便, 引入下面决策变量:
1) 节点nodei计算资源变量cpuij, 其中i∈{1, 2, …, m}, j∈{1, 2, …, n}

2) 节点nodei存储资源变量mij, 其中i∈{1, 2, …, m}, j∈{1, 2, …, n}

可迁移节点集的构建满足如下约束条件:
1) 计算资源要求:枚举节点本地CPU使用率与VCTj在节点正常运行时的CPU使用率之和低于某一特定阈值的节点, 组成集合Mjcpu
(4)
2) 存储资源要求:枚举节点本地内存占用率与VCTj在节点正常运行时的内存占用率之和低于某一特定阈值的节点, 组成集合Mjm
(5)
VCTj的可迁移节点集Mj为上述2个约束条件枚举节点的交集, 即Mj=Mjcpu∩Mjm; 可迁移节点集的构建, 并不局限于空闲节点, 其也可包含VCT的主节点及备选节点, 这意味着, 并不一定1个节点只能运行1个VCT, 当无线网络中节点由于节点损坏等原因而没有剩余空闲节点时, 只要满足上述约束条件(4)和(5), 一个VCT可迁移到另一个VCT的主节点或者备选节点, 以保证控制系统正常运行。
SDCS在运行过程中, VCT与作为控制器的无线网络中节点的映射关系不是固定或提前设定的, 而是根据系统及节点状态动态调整, 特别对于某些节点由于死锁等软件问题导致性能不满足系统要求发生VCT迁移而变为故障节点时, 如果软件问题可修复, 该节点可自动变为空闲节点, 等待系统需要时变为备选节点或者主节点, 系统的可靠性得到提升。
本节简单介绍了系统运行过程, 给出了系统运行约束条件及VCT的迁移方案。利用无线网络中每个节点的空闲时间进行系统状态监测及分析, 以降低对控制系统的影响。VCT迁移方案的构建, 避免了节点故障或负荷率过高等无线网络中潜在故障的不良影响, 为控制系统正常运行并保持良好的性能提供了一个可行的解决方案。
3 VCT迁移性能分析
3.1 稳态性能分析
本节基于线性系统进行分析, 节点发生故障或负荷率过高会触发VCT迁移, 迁移过程中, 该VCT所在节点输出为0, 可等效为在系统正常运行过程中, 给该节点输出加入一个方波脉冲扰动d[15], 方波脉冲幅值与VCT迁移发生时刻相等, 方向相反, 方波宽度为迁移动作持续的时间, 则扰动为
(6)
式中, ε(t)为阶跃函数, t1为VCT迁移开始时刻, t2为VCT迁移完成时刻, 则有t2>t1。
图 3为基于SDCS的反馈控制系统传递函数框图, 其中VCTi+1, …, VCTj具有加性关系, 控制器内部可能包含多组具有加性关系的VCT, 为简化图形, 图中只列出一组加性关系。令VCTl的传递函数为Vl(s)。由于VCT的迁移看作给节点输出加入方波脉冲扰动, VCT迁移的影响可以看作方波脉冲扰动对系统输出的影响。
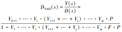
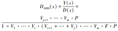
建立VCT迁移过程的等效扰动传递函数, 分以下2种情况讨论:
情况1 具有加性关系的VCT发生迁移, 假设VCTh发生迁移, 其中i+1≤h≤j, 则等效扰动如图 4所示, 建立系统扰动传递函数为
(7)
根据Laplace终值定理, 系统在d1(t)下的稳态输出为
(8)
系统在d2(t)下的稳态输出为
(9)
则控制系统在扰动d下的稳态输出为
(10)
可得, 对于情况1, 在扰动d下的稳态输出为0, 任务迁移对系统的影响主要取决于方波扰动的幅值, 也就是迁移发生时刻VCT的正常输出, 迁移发生时刻VCT输出越大, 控制系统输出偏离正常状态越远; 由(7)式可得, 加性关系的VCT发生迁移时, 可将加性环节看作一个整体, 在加性环节输出中加入等效方波扰动, 方波幅值取决于发生迁移的VCT。
情况2 具有乘性关系的VCT发生迁移, 假设VCTk发生迁移, 其中k≤i, 则等效扰动如图 5所示, 建立系统扰动传递函数为
(11)
根据Laplace终值定理, 系统在d1(t)下的稳态输出为
(12)
系统在d2(t)下的稳态输出为
(13)
则控制系统在扰动d下的稳态输出为
(14)
可得, 对于情况2, 在扰动d下的稳态输出为0, 任务迁移对系统的影响与情况1相同; 用相同分析方法, 当k>i时, 可得相同的结论。
由上述分析, 在扰动d单独作用下, 系统稳态输出为0, 则对于线性系统, 系统中存在扰动d时, 不影响控制系统的稳态误差, 迁移动作对系统输出响应的影响主要取决于迁移发生时刻VCT的输出值。该分析主要针对VCT主节点发生迁移的情况, VCT的备选节点迁移时, 由于备选节点本身不发送其所计算的VCT输出数据, 则其迁移过程对控制系统稳态误差几乎没有影响。
![]() |
图3 基于SDCS的反馈控制系统传递函数框图 |
![]() |
图4 具有加性关系的VCT迁移等效扰动图 |
![]() |
图5 具有乘性关系的VCT迁移等效扰动图 |
3.2 动态性能分析
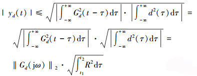
由(6)式可得, VCT迁移过程等效扰动d(t)是矩形脉冲信号, 是能量有界信号, 即‖d(t)‖2有界。控制工程中不存在非正则对象, 本节分析主要针对严格正则对象, 对于双正则对象, 可加入滤波环节, 不影响系统性能, 且使系统严格正则。可得以下结论:
图 3所示系统在等效扰动信号d(t)单独作用下的零状态响应为yd(t), 则有
(15)
式中, R为迁移发生时刻VCT的输出值, Δt为VCT迁移持续时间, Gd为等效扰动传递函数, 即(7)式的DADD(s)或(11)式的DNAD(s)。用‖yd(t)‖∞衡量VCT迁移动作给系统输出响应带来的最大扰动。
证明
(16)
则
(17)
根据Cauchy-Schwarz不等式有
(18)
根据Parseval定理[16], 可得
(19)
即
(20)
结论得证。
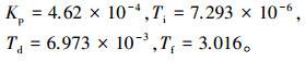
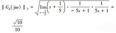
为了验证上述结论, 进行算例验证。假设系统扰动传递函数为
, 扰动输入为矩形脉冲信号, 系统参考输入为0, 系统初始状态为0。首先计算‖Gd(jω)‖2, ‖Gd(jω)‖22等于Gd(s)·Gd(-s)在复平面左半平面的留数和, Gd(s)·Gd(-s)在复平面左半平面的极点为
, 则
(21)
表 1为不同参数情况下, 系统计算及仿真结果, 其中, ydmax代表扰动输出峰值, 由仿真数据得出。
上述算例结果与本节分析结果一致, 说明本节关于VCT迁移对于系统动态性能影响的分析是正确的。
算例结果
4 仿真分析
本节针对所研究的设计方案和虚拟控制任务迁移对系统性能的影响进行仿真研究。选取Siemens SMPT-1000加热炉的物料出口温度控制问题进行仿真分析, 根据文献[17], 被控对象数学模型为
(22)
本仿真中, 控制系统基于单位闭环反馈PID控制进行设计, 如图 6所示为PID控制器的Simulink模型图, PID控制器是非正则的, 引入一个低通滤波器, 使PID控制器严格正则或双正则, 本文的控制器传递函数为
(23)
基于MATLAB/Simulink PID Tuner工具进行控制器参数整定, 采用零阶Pade近似对延时环节进行线性化, 获得的控制器整定参数分别为:

控制系统虚拟化描述如图 7所示, 4个VCT的传递函数描述分别为
(24)
设定每个VCT映射到2个节点, 一个作为主节点, 另一个作为备选节点。除传感器和执行器外, 共设置10个节点, 其中2个节点作为空闲节点, 图 8所示为无线网络初始拓扑结构及VCT与节点的映射关系, 图 8及图 9中, 数字代表VCT编号, 连线代表节点有控制数据收发关系(不包括状态监控数据的收发)。图 9所示为VCT2的主节点由于故障而发生任务迁移后网络拓扑结构及VCT与节点的映射关系, 任务迁移前后, 只改变VCT与节点的映射关系。
针对图 8所示VCT与无线网络中节点初始映射关系, 输入为一组阶跃信号的集合, 设定每500 s叠加一个新的阶跃输入, 针对(22)式的被控对象, 采用(23)式所设计的控制器, 由于SDCS的主要特点是分布式控制器, 而不存在核心控制节点, 因此, 分别针对具有核心控制节点的控制系统和本文提出的SDCS进行对比仿真分析。系统输出响应如图 10所示, 2种控制方式都取得了良好的控制品质, 由图中放大部分, SDCS控制系统的超调量相对较大, 但是与具有核心控制节点的控制系统的差距很小。从控制系统设计角度而言, 2种控制方式采用相同的控制器结构及参数, 相对于具有核心控制节点的控制系统, SDCS控制系统由于VCT间采用无线网络通信而引入一个小网络延时, 可等效为SDCS控制系统的时滞时间常数要略大于具有核心控制节点的控制系统。
设定输入与图 8中仿真相同, 具有核心控制节点的控制系统具有备份控制节点。在2 000 s时刻, 具有核心控制节点的控制系统的核心控制节点发生故障, 启动备份控制节点, 系统响应如图 11所示, 针对t=2 000 s时刻叠加的阶跃输入, 系统输出由于备份控制节点的切换动作, 系统输出响应产生较大波动。
设定输入与图 8中仿真相同, 在2 000 s时刻, SDCS控制系统的VCT2所在主节点发生故障, 启动VCT的迁移, 系统响应如图 12所示, VCT2的迁移动作引起的系统输出响应的波动明显小于具有核心控制节点的控制系统备份控制节点的切换动作引起的系统输出响应的波动。
设定输入与图 8中仿真相同, 在2 000 s时刻, SDCS控制系统的VCT3所在主节点发生故障, 启动VCT的迁移, 系统响应如图 13所示, VCT3的迁移动作引起的系统输出响应的波动小于具有核心控制节点的控制系统备份控制节点的切换动作引起的系统输出响应的波动, 大于VCT2的迁移动作引起的系统输出响应的波动。
图 14和图 15分别为在t=2 000 s时刻, VCT2和VCT3发生迁移动作与系统中没有迁移动作发生时VCT的输出对比图。可以看出, VCT2发生迁移动作时的等效方波扰动的幅值要远小于VCT3发生迁移动作时的等效方波扰动的幅值, 由第3节分析, 迁移发生时刻VCT输出越大, 控制系统输出偏离正常状态越远, 也就是引起系统输出响应的波动越大, 仿真结果与理论分析一致。
在上述仿真情况下系统的动态性能指标如表 2所示, 其中调节时间取±2%误差范围。由表 2可得, 在核心控制节点由于损坏而切换备份控制节点、SDCS控制系统中VCT2和VCT3发生迁移这3种情况中, 与系统正常运行时相比, 上升时间、调节时间和峰值时间的变化比较小, 系统响应的超调量变化较大, 可见, VCT的迁移动作主要影响控制系统输出响应的超调量。
由上述仿真结果可得,本文提出的SDCS控制系统方案获得与具有核心控制节点的控制系统几乎一致的控制品质;当VCT与节点映射关系改变而发生VCT迁移时,对控制系统输出响应影响较小,不同的VCT的迁移动作对系统输出响应的影响主要取决于迁移动作发生时刻,所迁移VCT的输出值。迁移动作省略了一次被迁移VCT的执行,从设备的角度而言,相当于无线通信丢包,从控制系统角度而言,相当于一个外部方波干扰,扰动幅值大小主要取决于该VCT正常执行时候的输出。
![]() |
图6 闭环PID控制器Simulink模型 |
![]() |
图8 初始网络拓扑及VCT与节点映射关系 |
![]() |
图9 VCT2迁移后网络拓扑及VCT与节点映射关系 |
![]() |
图10 SDCS与具有核心控制节点的系统输出对比 |
![]() |
图11 系统在2 000 s时刻发生故障并切换备份时的系统响应 |
![]() |
图12 SDCS控制系统在2 000 s时刻发生VCT2迁移动作时系统响应 |
![]() |
图13 SDCS控制系统在2 000 s时刻发生VCT3迁移动作时系统响应 |
![]() |
图14 VCT2发生迁移动作时VCT2的输出 |
![]() |
图15 VCT3发生迁移动作时VCT3的输出 |
控制系统动态性能指标对比
5 结论
本文介绍了一种基于无线网络的分布式控制系统,系统不包含执行全部(或主要)系统控制任务的核心控制节点,整个无线网络抽象为分布式控制器承担系统控制任务。通过虚拟控制任务迁移使虚拟控制任务与节点间的映射关系动态调整,确保无线网络中的潜在故障下控制系统的性能,分析了任务迁移过程对控制系统稳态和动态性能的影响。
针对本文设计的方案,利用MATLAB/Simulink软件工具进行仿真研究,仿真结果表明,控制系统正常运行时,系统具有良好的动态和稳态性能;相对于具有核心控制节点的控制系统,当控制器发生故障时,SDCS取得更优的控制品质。由此可得,本文设计的方案将总体控制任务分布在无线网络中节点的同时,节点故障给控制系统带来的风险也分布在无线网络中,控制系统具有较强的稳定性。
References
- Al-Dabbagh A W, Chen T. Design Considerations for Wireless Networked Control Systems[J]. IEEE Trans on Industrial Electronics, 2016, 63(9): 5547–5557 [Article] [CrossRef] [Google Scholar]
- Park P, Ergen S C, Fischione C, et al. Wireless Network Design for Control Systems:a Survey[J]. IEEE Communication Surveys and Tutorials, 2018, 20(2): 978–1013 [Article] [CrossRef] [Google Scholar]
- Hattori S, Kobayashi K, Okada H. ON-OFF Error Control Coding Scheme for Minimizing Tracking Error in Wireless Feedback Control Systems[J]. IEEE Trans on Industrial Informatics, 2015, 11(6): 1411–1421 [Article] [CrossRef] [Google Scholar]
- Ren Wen, Xu Bugong. Distributed Wireless Networked Control for Nonlinear System Based on Standard Neural Network Model[J]. Control and Decision, 2015, 30(4): 691–697 [Article] (in Chinese) [Google Scholar]
- SUN Chengxu. Research on the Online Application State Partition Migration for Distributed Controller[D]. Changchun, Jilin University, 2016 (in Chinese) [Google Scholar]
- Haupt A, Tognetti E, Bauchspiess A, et al. Control Design in a Distributed WNCS using Energy Optimal Scheduled Medium Access[C]//53rd IEEE Conference on Decision and Control, Los Angeles, 2014 [Google Scholar]
- Pajic M, Mangharam R. Embedded Virtual Machines for Robust Wireless Control and Actuation[C]//16th IEEE Real-Time and Embedded Technology and Application Symposium, Stockholm, 2010 [Google Scholar]
- Dong Lei, Yu Hongyi, Zhang Xia. A Fully Connected Clustering Based Sleeping Algorithm for Sensor Networks[J]. Journal of Electronics & Information Technology, 2007, 29(5): 1220–1223 [Article] (in Chinese) [Google Scholar]
- Dhillon H S, Huang H, Viswanathan H. Wide-Area Wireless Communication Challenges for the Internet of Things[J]. IEEE Communications Magazine, 2017, 55(2): 168–174 [Article] [CrossRef] [Google Scholar]
- Mocci J, Quintavalla M, Trestino C, et al. A Multi-Platform CPU-Based Architecture for Cost-Effective Adaptive Optics Systems[J]. IEEE Trans on Industrial Informatics, 2018, 14(10): 4431–4439 [Article] [CrossRef] [Google Scholar]
- Ayaz M, Din M A, Baig I, et al. Wireless Sensor's Civil Applications, Prototypes and Future Integration Possibilities:a Review[J]. IEEE Sensors Journal, 2017, 18(1): 4–30 [NASA ADS] [CrossRef] [Google Scholar]
- Wang Y W, Wu J C, Chang G H, et al. Embedded Development of Water Jet Propulsion System Based on Matlab and MDK[C]//10th International Symposium on Computational Intelligence and Design, Hangzhou, 2017 [Google Scholar]
- Hyl R, Wagnerova R. Fast Development of Controller with Simulink Coder[C]//18th International Carpathian Control Conference, Sinaia, 2017 [Google Scholar]
- Kumar A R. Smart Network Access for 802.11 Based Internet of Things[C]//International Conference on Control Instrumentation Communication and Computational Technologies, Kumaracoil, 2015 [Google Scholar]
- Fajingbesi F E, Midi N S, Khan S. Analytical Investigation of Step-Square Wave in Time and Frequency Domain Using Transform Equations[C]//International Technical Postgraduate Conference, Kuala Lumpur, 2017 [Google Scholar]
- Casagrande D, Krajewski W, Viaro U. L2-Optimal Fopdt Models of High-Order Transfer Functions[J]. Asian Journal of Control, 2017, 19(2): 428–437 [Article] [CrossRef] [Google Scholar]
- Wang Weihe, Wang Ping. Identification Method and Application of Second-Order Plus Time Delay Model[J]. Control and Instruments in Chemical Industry, 2010, 37(9): 21–24 [Article] (in Chinese) [Google Scholar]
All Tables
All Figures
![]() |
图1 软件定义控制系统拓扑抽象 |
| In the text | |
![]() |
图2 支撑平台管理器结构 |
| In the text | |
![]() |
图3 基于SDCS的反馈控制系统传递函数框图 |
| In the text | |
![]() |
图4 具有加性关系的VCT迁移等效扰动图 |
| In the text | |
![]() |
图5 具有乘性关系的VCT迁移等效扰动图 |
| In the text | |
![]() |
图6 闭环PID控制器Simulink模型 |
| In the text | |
![]() |
图7 上图 6所示PID控制器的虚拟化 |
| In the text | |
![]() |
图8 初始网络拓扑及VCT与节点映射关系 |
| In the text | |
![]() |
图9 VCT2迁移后网络拓扑及VCT与节点映射关系 |
| In the text | |
![]() |
图10 SDCS与具有核心控制节点的系统输出对比 |
| In the text | |
![]() |
图11 系统在2 000 s时刻发生故障并切换备份时的系统响应 |
| In the text | |
![]() |
图12 SDCS控制系统在2 000 s时刻发生VCT2迁移动作时系统响应 |
| In the text | |
![]() |
图13 SDCS控制系统在2 000 s时刻发生VCT3迁移动作时系统响应 |
| In the text | |
![]() |
图14 VCT2发生迁移动作时VCT2的输出 |
| In the text | |
![]() |
图15 VCT3发生迁移动作时VCT3的输出 |
| In the text | |
Current usage metrics show cumulative count of Article Views (full-text article views including HTML views, PDF and ePub downloads, according to the available data) and Abstracts Views on Vision4Press platform.
Data correspond to usage on the plateform after 2015. The current usage metrics is available 48-96 hours after online publication and is updated daily on week days.
Initial download of the metrics may take a while.















