Open Access
Issue
JNWPU
Volume 38, Number 2, April 2020
Page(s) 325 - 332
DOI https://doi.org/10.1051/jnwpu/20203820325
Published online 17 July 2020

© 2019 Journal of Northwestern Polytechnical University. All rights reserved.

Licence Creative CommonsThis is an Open Access article distributed under the terms of the Creative Commons Attribution License (http://creativecommons.org/licenses/by/4.0), which permits unrestricted use, distribution, and reproduction in any medium, provided the original work is properly cited.

连续式跨声速风洞通过压缩机连续运转驱动风洞回路气体流动来建立运行流场, 稳定段总压作为风洞关键流场参数, 必须对其进行精确快速控制。总压的影响因素较多, 但均以调节阀作为精确调节手段, 因此, 选取调节阀时需确保良好的性能参数, 包括:良好的流量特性、满足可调比需求[1-3]、所配置的执行器满足调压精度和速度要求等。目前国内外连续式风洞对调节阀和总压的影响关系进行定量描述的极少, 更多关注总压的控制方法或调节阀的气动和结构参数[4-12], 执行器的选取多基于经验, 导致调节阀参数和总压需求不匹配, 影响风洞调压性能。

本文主要研究内容为:通过对连续式跨声速风洞总压控制需求和调节阀各关键参数进行分析, 建立调节阀性能参数和风洞总压的对应关系, 并进行静态验证, 以选取性价比最优的调节阀控制参数, 并确定风洞阀门组合控制方式。最后, 基于上述建立的理论对0.6 m连续式风洞抽真空系统进行优化改造, 以改善该风洞负压下因总压稳定太慢导致马赫数极曲线时间较长的问题。

1 总压系统组成及原理

根据连续式跨声速风洞压力运行范围, 可分成负压、常压、增压3种工况, 如欧洲ETW风洞[13], 美国NTF风洞[14]以及中国西北工业大学NF-6风洞[15]都仅有常压增压工况, 而中国空气动力研究与发展中心0.6 m连续式跨声速风洞[5-6, 16]还具备负压试验能力。以0.6 m连续式风洞为例, 其总压系统中调节阀的结构布局见图1

当风洞在不同压力工况运行时, 参与控制的调节阀不同。为保证风洞的干燥度, 常压增压工况时, 由1至4号阀实施; 负压工况时, 由1, 2, 5号阀以及真空泵组实施。风洞压力的调节是通过对调节阀的位置控制来实现的, 要保证风洞较好的调压性能, 调节阀的性能也必须足够好, 但由图1可知, 连续式跨声速风洞调节阀较多, 必须考虑设计成本和性价比, 因此需要分析总压控制和调节阀特性的相关性, 进而合理地选取调节阀参数。

Thumbnail: 图1 Refer to the following caption and surrounding text. 图1

压力调节系统结构

2 连续式风洞调节阀概述

调节阀按行程特点可分成线性阀和旋转阀, 按驱动方式分成电动阀、气动阀、液压阀和混合阀, 按流量特性分成直线特性、等百分比特性、快开特性和抛物线特性[2, 9]。现有连续式跨声速风洞多采用电动阀, 相比气动和液动阀, 其无需气源或油源等辅助设备, 稳定性好、精度高、维护方便。

连续式风洞调节阀多采用等百分比特性, 其单位相对位移变化所引起的相对流量变化与此点的相对流量变化成正比关系[2, 17], 理想情况下(假定阀门前后压差不变), 其体积流量和阀门开度之间满足下式

Mathematical equation(1)

式中:Qvx为开度为x时的流量;QVmax为阀门最大体积流量, 单位为m3/s;x为阀门开度比;R为阀门的可调比, 其值为

Mathematical equation(2)

式中:QVmin为阀门最小体积流量;R越大调节阀的流量范围越宽, 性能指标越好。

由(1)式和(2)式可知, 等百分比特性的调节阀小开度调节时增益较小, 调节平稳缓和, 大开度时增益较大, 调节灵敏有效。考虑到实际生产中调节阀和管路串联, 调节阀动作时流量改变, 管路压损改变, 调节阀上压差也发生变化, 因此实际使用时调节阀应考虑其工作流量特性[5, 18]

Mathematical equation(3)

式中:s为阀阻比, 表示存在管道阻力的情况下, 阀门全开时, 阀门前后的最小压差占总压力的比值;s越小, 畸变越厉害, 可调比减小, 调节性能变坏, 但s小又经济节能。实际工程中s一般取0.3[2]。

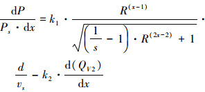
风洞总压的调节过程实际上是通过控制调节阀阀芯位置进而调节阀门流量, 通过控制风洞稳定段内气体质量的变化来达到控制总压的目的, 因此只有建立调节阀流量、阀芯位置、阀门速度等调节阀参数和风洞总压之间的相关性函数, 才能更好地选取合适的驱动机构并实施总压控制。

3 风洞调压控制与调节阀位置控制

定义风洞容积为Vs, 总压控制目标为Ps, 总压实际值为P0, 稳定段总温为T, 若初始状态下总压稳定, Ps=P0, 当改变试验状态时压力产生波动, 由于风洞换热器的作用, 假定压力从Ps开始波动至压力回到Ps的时间为t(单位s), 由于t较小, 可认为在上述调节过程中总温T变化不大, 考虑到风洞目标压力较低(图1风洞总压范围为绝压20~250 kPa), 稳定段温度多为常温, 则按照理想气体状态方程, 该过程需灌入/抽走风洞内的气体质量增量m

Mathematical equation(4)

式中:P为压力波动量, P=Ps-P0, 单位为Pa, 为探究总压和调节阀相关性, 主要考虑接近稳态下的状态, 此时总压波动量P相对较小; m为气体质量增量, 单位为g; Vs为风洞容积, 单位为m3; T为气流温度, 单位为℃; R1为气体状态常数, 值为8.314 J/(mol·K); M为空气摩尔质量, 值为29 g/mol。

风洞内气体是干燥空气, 其密度和总压以及总温的关系为

Mathematical equation(5)

式中:ρ为洞内空气密度, 单位g/m3; ρ0为0℃标准大气压下干燥空气的密度, 其值为1 293 g/m3

体积增量等于质量增量除以密度, 由(4)至(5)式可计算出风洞内气体体积的增量V, 并引入调节时间t, 根据V/t可得到该时间内平均体积流量增量

Mathematical equation(6)

在实施位置控制时, 电动调节阀运行过程中除加减速阶段外, 可认为是匀速运行。假定初始平衡状态下, 阀门开度为x1, 压力波动后达到新的平衡状态时开度为xn, 可把压力波动后的调节过程认为是调节阀在每一个细分位置(x1~xn)上对流量调节过程的叠加, 假设在上述调节过程中(t时间)经过n个细分调节位置, 且调节阀从一个细分位置到达另一个细分位置的时间相等(加减速时间可忽略), 可得到

Mathematical equation(7)

tis为在xi-1至运行至xi的时间, tiz为在该处的停留时间, 该时间由PID控制周期和调节阀机构动作延时组成。为简化考虑, 认为每一个位置点的调节时间相等, 即

Mathematical equation(8)

设阀门调节过程平均速度为vs, 阀门可识别的位置增量为d, 平均增量为d,则t时间内调节阀的行程可表示为

Mathematical equation(9)

按照调节阀国标, 调节阀可识别的位置增量d在调节阀的不同位置区间是不同的, 受死区和机构间隙影响。令

Mathematical equation(10)

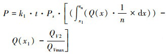
基于公式(3)、(7)、(8)、(10), 上述调节过程中体积的增量用每个细分位置叠加的方式可表示为

Mathematical equation(11)

进而得到平均体积流量增量

Mathematical equation(12)

式中,Qv1为调节阀位置叠加方式计算得到的流量增量。考虑到连续式跨声速风洞压缩机充气密封系统往风洞里漏气, 同时洞体密封不严, 调节阀也存在泄漏, 定义风洞整体的漏气流量为QV2(QV2的影响因素太多, 不便于测算), 则调节阀的流量增量QV1应该为压力波动所需求的流量增量QV与漏气量QV2的总和, 即

Mathematical equation(13)

Mathematical equation(14)

P

Mathematical equation(15)

并将(15)式用积分表示得到

Mathematical equation(16)

由此得到压力波动和调节阀位置的对应关系, 考虑到调节阀初始位置x1和调节阀开度变化量无相关性, 对(16)式两边求导, 可得到压力波动的变化量和调节阀开度变化量之间的关系

Mathematical equation(17)

Mathematical equation(18)

结合公式(9)、(10), 可得到压力调节精度和调节阀主要控制参数的关系

Mathematical equation(19)

在调节阀指标中, 分辨率(死区) r是指在几个固定测试位置上的阀门可识别的位置增量的极差值, 即rd产生且|d|≤|r|, 而精度a更是考虑了分辨率、回程误差和基本误差等影响, 因此, 后文再做定量分析时, 主要考虑综合精度, 按照数值大小可知|d|≤|r|≤|a|。

由此, 建立了总压控制和调节阀参数的相关性函数, 由公式(19)可以得到以下几条结论, 以抽真空阀为例, 在阀门前后压差不变的前提下:

1) 阀最大体积流量越小, 总压精度越高;

2) 风洞容积越大, 总压精度越高;

3) 阀精度越高、速度越快, 总压精度越高;

4) 阀稳态调节时的区间越小, 总压精度越高;

5) 阀实际可调比越大, 总压精度越高。

从上述分析可知, 影响总压精度的参数包括:风洞容积、阀门体积流量、气体介质、可调比、执行机构精度和速度等, 而调节阀的响应和执行速度又直接影响总压的稳定速度。考虑到流场稳定采集的依据为总压和马赫数均稳定, 调节阀的速度无需太快(阀门速度越快, 功率越大, 制造工艺越复杂, 且一般而言速度快和精度高是互斥的), 只需优于马赫数调节手段的调节时间。为确保风洞总压控制精度和调节速度, 又防止过设计浪费资源, 在风洞设计之初就应对上述参数进行综合考虑。

4 静态验证

为验证上述分析的正确性, 利用0.6 m风洞进行验证, 在空风洞静止状态下(压缩机不启动), 利用相同的试验条件, 采用同一个抽真空调节阀体, 分别验证执行器精度、阀门稳态调节区间对总压的影响。为便于对比分析, 首先带入风洞容积、调节阀体积流量、可调比等相关参数, 按照公式(19), 忽略漏气量QV2, 可绘制出同一个抽真空调节阀, 配置不同精度和速度参数的执行器时, 在不同调节区间时理论上的总压精度曲线, 如图2所示(图中阀门开度为百分比形式, 速度单位“%/s”代表每秒阀门开度)。

实验对象为图1所描述的风洞, 测试负压工况下调节阀性能参数对风洞总压控制的影响。控制系统采用西门子S7-300PLC作为核心控制器, 通过模拟量输出控制调节阀位置来实现总压控制。

Thumbnail: 图2 Refer to the following caption and surrounding text. 图2

理想情况下调节阀参数对总压精度的影响

4.1 执行器精度对调压精度的影响

用于试验的抽真空调节阀执行器型号为罗托克IQML18, 调节阀全行程(0~100%开度)时间为98 s。分别测试执行器在0.5%, 0.6%, 1.0%精度下稳态调节时对总压的影响, 测试目标压力为50 kPa和20 kPa, 测试结果分别见图3图4

图3中的曲线对应3个不同车次的数据, 为对比分析, 截取每个车次稳态调节时(约290 s)的数据, 并统一到一个坐标轴下绘制而成。3条曲线为采用同一个执行器(不同精度)进行抽真空50 kPa闭环时的总压曲线。从图中可以看出, 执行器精度越高, 压力波动量越小, 其中精度0.5%曲线的上下限波动为27 Pa和-29 Pa(实际精度约为目标总压的0.06%, 利用图2得到的预测精度为0.053%); 精度0.6%曲线的上下限波动为38 Pa和-37 Pa(实际精度约0.075%, 预测精度0.063%); 精度1.0%曲线的上下限波动为46 Pa和-47 Pa(实际精度约0.095%, 预测精度0.092%)。稳态调节时3条曲线的抽真空阀开度相差不超过3%, 平均开度在47%左右。对比可知, 不同精度曲线稳态时的总压控制精度和预测结果大体一致。

图4图3的处理方法一致, 将3个不同车次, 稳态调节时(约470 s)的总压波动曲线绘制于同一坐标轴, 3条曲线均为抽真空压力20 kPa闭环时的总压曲线。其中, 精度0.5%曲线的上下限波动为10 Pa和-17 Pa(实际精度约0.07%, 预测精度0.066%); 精度0.6%曲线上下限波动为14 Pa和-19 Pa(实际精度约0.08%, 预测精度0.077%); 精度1.0%曲线上下限波动为22 Pa和-28 Pa(实际精度约0.13%, 预测精度0.126%)。稳态调节时抽真空阀开度相差不超过2%, 平均开度在53%左右。由图3图4可知, 尽管目标压力不同, 但当执行器精度越高, 总压波动量就越小。

Thumbnail: 图3 Refer to the following caption and surrounding text. 图3

50 kPa下执行器精度对总压的影响

Thumbnail: 图4 Refer to the following caption and surrounding text. 图4

20 kPa下执行器精度对总压的影响

4.2 调节阀调节区间对调压精度的影响

为测试稳态调节区间对调压精度的影响, 用2款执行器进行测试(阀体相同), 其中一款型号为IQML18, 全行程时间98 s, 精度0.6%;另一款IQML20, 全行程时间25 s, 精度1.6%。测试目标压力为50 kPa, 为确保稳态调节时位于不同调节区间, 需要通过开启进气调节阀, 预置不同的进气阀开度来实现。测试结果分别见图5图6

图5图3的处理方法一致, 将2个不同车次, 稳态调节时的总压波动曲线绘制于同一坐标轴, 2条曲线均为采用IQML18调节阀在50 kPa稳态调节时的压力波动曲线。其中调节区间为30%曲线的上下限波动为28 Pa和-26 Pa(实际精度约为0.055%, 预测精度0.036%); 调节区间为60%曲线的上下限波动为36 Pa和-33 Pa(实际精度约0.07%, 预测精度0.077%)。可见, 采用小开度调节时相比大开度调节时的总压精度更高。

图6中2条曲线为采用IQML20调节阀执行器, 在不同调节区间下进行50 kPa稳态调节时2个不同车次的总压波动曲线。其中调节区间为47%曲线的上下限波动为20 Pa和-23 Pa(实际精度约0.046%, 预测精度0.04%), 调节区间为60%曲线的上下限波动为32 Pa和-34 Pa(实际精度约0.065%, 预测精度0.059%)。由图6也可看出, 采用小开度稳态调节时相比大开度调节时的总压精度更高。

图3至6可知, 当稳态下采用较小调节区间时, 风洞调压精度提高; 当执行器精度提高时, 风洞调压精度也相应提高。但定量分析时, 试验结果(实际精度)和理论预测精度仍存在一定差距(尤其如本节)。经过分析, 认为主要是几方面原因造成:①预测结果以图2为依据, 但其忽略了实际调试中的很多影响因素, 包括调节阀的执行器精度和调节阀精度是不同的(阀体和执行机构连接存在结构间隙, 且和位置传感器安装位置有关); ②风洞的漏气量的影响; ③风洞容积较大, 风洞的总压变化滞后于调节阀的位置调节; ④总压控制算法和参数对部分工况的适应性稍差。

Thumbnail: 图5 Refer to the following caption and surrounding text. 图5

调节区间对总压的影响(IQML18)

Thumbnail: 图6 Refer to the following caption and surrounding text. 图6

调节区间对总压的影响(IQML20)

5 多调节阀组合控制优化

基于上述分析以及试验验证, 在某一特定的试验工况下, 调节阀稳态下的开度区间是基本确定的, 如图3中稳态调节区间, 而该区间下调节能否实现所需的控制精度也可从上述分析中得到, 考虑到调节阀的结构制造工艺, 首末两端的加工精度以及该处的流量特性不好, 调节阀一般多使用10%~90%开度区间[2], 这就要求通过不同的阀门组合, 实现稳态时用于精调的阀门的工作区间落入上述范围, 并尽量使用小开度调节区间。

图1为例, 为保证洞内气体干燥只能采用抽真空阀以及增压调节阀配合进行负压下总压控制, 其组合方式可以有多种, 为减少调试难度、减少气源消耗, 一般固定进气阀开度, 调节抽真空阀来实施压力调节。当目标压力较高(大于60 kPa)时, 抽真空阀调节区间过小, 此时开启进气调节阀; 当目标压力较低(小于25 kPa)时, 抽真空调节区间过大, 此时须关死进气阀。这样人为使抽真空调节阀稳态运行时进入高精度调节区间。而何种目标压力下采用哪些阀门或泵进行组合控制, 可通过调试获取。

6 应用及验证

基于前述建立的理论, 针对0.6 m风洞在前期调试时存在负压工况下总压精确稳定时间较长的问题, 对抽真空系统进行改造, 主要从以下几方面:

1) 在不降低风洞总压精度的前提下提高抽真空调节阀速度。在选取新的抽真空调节阀执行机构时, 将其精度和速度等参数带入图2, 以确保风洞总压精度不受损失, 本系统选取IQML20执行器, 相比之前, 其精度稍差, 但速度大幅加快。

2) 对阀门组合方式进行优化。按照第5节思路, 尽量使抽真空调节阀稳态运行时进入小开度高精度调节区间。

3) 结合新阀门参数对总压控制算法的控制参数进行修正。由于新调节阀执行器速度大幅加快, 需要对控制算法的参数进行调整, 适当增大比例和积分系数, 提高系统响应速度。

改造前执行器为IQML18, 调节阀全行程时间98 s, 精度0.6%;改造后为IQML20, 调节阀全行程时间25 s, 精度1.6%。对改造完的系统性能进行了测试, 在相同的试验工况下与改造前的状态进行对比。试验工况为总压50 kPa和20 kPa, 空风洞(不带模型), 通过主压缩机转速调节实现0.2~0.8阶梯变马赫数, 流场参数控制目标为总压精度0.2%, 马赫数精度0.001, 流场稳定依据为总压和马赫数均进入误差区间, 且超过5 s, 尔后改变转速升下一个马赫数阶梯。图7图8为50 kPa下测试结果。

图中总压调节过程出现一个较大的尖峰, 这是由于阶梯变马赫数时, 压缩机转速增加较多, 导致总压迅速上升, 调节阀来不及泄压。从图7~8可知, 尽管新的调节阀执行器精度低, 但速度快, 仍能够满足风洞总压精度指标要求, 如图7Ma趋稳后, 压力波动更小, 且马赫数极曲线时间得到大幅缩短。

改造前后阶梯变马赫数时极曲线时间对比见表1

20 kPa下阶梯变马赫数的测试结果和图7图8近似, 受篇幅所限, 不再附图。表2为20 kPa下改造前后阶梯变马赫数极曲线时间对比。

表1表2可知, 通过合理选配调节阀参数和阀门组合方式, 在都满足总压精度的前提下, 采用速度较快的调节阀时, 总压的稳定时间显著缩短, 达到50%~60%, 进而使Ma极曲线时间也得到明显提升, 其中0.2~0.8阶梯变马赫数时极曲线时间缩短约40%~50%, 大幅提高了试验效率。

Thumbnail: 图7 Refer to the following caption and surrounding text. 图7

IQML20调试结果

Thumbnail: 图8 Refer to the following caption and surrounding text. 图8

IQML18调试结果

表1

50 kPa变马赫数的极曲线时间对比

表2

20 kPa变马赫数极曲线时间对比

7 结论

经过试验验证, 可以得出下列结论:

1) 利用本文建立的总压和调节阀特性之间的关系, 可为连续式风洞总压系统的设计提供参考。

2) 根据每个风洞的不同特性, 结合调节阀的实际特性, 可以摸索出更高效的阀门组合控制策略。

下一步将增强上述研究的适应性, 并研究优化总压控制算法和参数, 以进一步提高风洞试验效率。

References

  1. Ministry of Industry and Information Technology of the People's Republic of China. Electrical Control Valves for Industrial-Process Control Systems[S]. JB/T7387-2014(in Chinese)

    Ministry of Industry and Information Technology of the People's Republic of China. Electrical Control Valves for Industrial-Process Control Systems[S]. JB/T7387-2014(in Chinese)

    [Google Scholar]
  2. Ming Cidong. Calculation and Selection of Regulating Valve[M]. Chengdu: Chengdu University of Science and Technology Press, 1999 [Google Scholar]
  3. Lu Peiwen. Design Selection and Application Technology of Industrial Process Control Valve[M]. Beijing: China Standard Publishing House, 2016 [Google Scholar]
  4. Li Shucheng, Luo Qiang, Chen Dan, et al. Research on Control Method of Spraying System in the Icing Wind Tunnel[J]. Journal of Experiments in Fluid Mechanics, 2017, 31 (6): 93– 99 [Article] [Google Scholar]
  5. Chen Dan, Zhang Yongshuang, Li Zhuangsheng, et al. Valve Control System Design for Continuous Transonic Wind Tunnel[J]. Computer Measurement & Control, 2012, 20 (6): 1524– 1526 [Article] [Google Scholar]
  6. Li Zhuangsheng, Yang Pengcheng, Chen Dan, et al. The Design of Total Pressure Control Strategy for 0.6 m Continuous Transonic Wind Tunnel[J]. Journal of Experiments in Fluid Mechanics, 2016, 30 (4): 87– 92 [Article] [Google Scholar]
  7. Ji Hexi. Study on Large Flow Regulator Valve Constant Pressure Control Technique[D]. Shandong: Shandong University, 2011(in Chinese) [Google Scholar]
  8. Li Junhai, Yu Nanjia, Cai Guobiao. Design and Experiment of Two-Stage Flow Control Valve[J]. Journal of Aerospace Power, 2013, 28 (1): 219– 225 [Article] [Google Scholar]
  9. An Yantao. Dynamic Analysis and Fault Detection of Large Pressure Control Valve[D]. Shandong: Shandong University, 2012(in Chinese) [Google Scholar]
  10. Hou Liangxue, Cui Xiaochun, Chen Zhimin. Design and Characteristic Study of an Annular Ring Pressure Regulating Valve[J]. Mechanical Science and Technology for Aerospace Engineering, 2012, 31 (6): 1005– 1009 [Article] [Google Scholar]
  11. Li Yunze, Yuan Lingshuang, Wang Jun. Concentration Control and Simulation of Sand/Dust Environmental Test Tunnel for Helicopter[J]. Journal of System Simulation, 2005, 17 (5): 1241– 1243 [Article] [Google Scholar]
  12. Rui Wei. A Novel Approach for Modeling of an Injector Powered Transonic Wind Tunnel[C]//26th Chinese Control and Decision Conference, 2014 [Google Scholar]
  13. Dr J, Gobert L. ETW Control System: Design And First Results[R]. AIAA-1994-2514 [Google Scholar]
  14. Chan D T, Balakrishna S, Walker E, et al. Mach Stability Improvements Using an Existing Second Throat Capability at the National Transonic Facility[R]. AIAA-2015-0622 [Google Scholar]
  15. Zhang Yongshuang, Chen Dan, Chen Jiao. Comparison and Research on the Mach Number Control Methods for the NF-6 Continuous Transonic Wind Tunnel[J]. Journal of Experiments in Fluid Mechanics, 2013, 27 (2): 95– 99 [Article] [Google Scholar]
  16. Liao Daxiong, Chen Jiming, Peng Qiang, et al. Key Design Techniques of the Low Noise Continuous Transonic Wind Tunnel[J]. Journal of Experiments in Fluid Mechanics, 2011, 25 (4): 74– 78 [Article] [Google Scholar]
  17. Zhou Shihao, Ding Qiangwei, Shi Wenxiang, et al. Flow Capacity Simulation Analysis and Experiment Study of Low Noise Flow Control Valve[J]. Valve, 2016, (3): 16– 18 [Article] [Google Scholar]
  18. Zhou Zhijun. Research on the Intelligence Controls System of the Valve Positioner on Regulating Valve[D]. Shenyang: Northeastern University, 2017(in Chinese)

    ZHOU Zhijun. Research on the Intelligence Controls System of the Valve Positioner on Regulating Valve[D]. Shenyang: Northeastern University, 2017(in Chinese)

    [Google Scholar]

All Tables

表1

50 kPa变马赫数的极曲线时间对比

表2

20 kPa变马赫数极曲线时间对比

All Figures

Thumbnail: 图1 Refer to the following caption and surrounding text. 图1

压力调节系统结构

In the text
Thumbnail: 图2 Refer to the following caption and surrounding text. 图2

理想情况下调节阀参数对总压精度的影响

In the text
Thumbnail: 图3 Refer to the following caption and surrounding text. 图3

50 kPa下执行器精度对总压的影响

In the text
Thumbnail: 图4 Refer to the following caption and surrounding text. 图4

20 kPa下执行器精度对总压的影响

In the text
Thumbnail: 图5 Refer to the following caption and surrounding text. 图5

调节区间对总压的影响(IQML18)

In the text
Thumbnail: 图6 Refer to the following caption and surrounding text. 图6

调节区间对总压的影响(IQML20)

In the text
Thumbnail: 图7 Refer to the following caption and surrounding text. 图7

IQML20调试结果

In the text
Thumbnail: 图8 Refer to the following caption and surrounding text. 图8

IQML18调试结果

In the text

Current usage metrics show cumulative count of Article Views (full-text article views including HTML views, PDF and ePub downloads, according to the available data) and Abstracts Views on Vision4Press platform.

Data correspond to usage on the plateform after 2015. The current usage metrics is available 48-96 hours after online publication and is updated daily on week days.

Initial download of the metrics may take a while.