| Issue |
JNWPU
Volume 38, Number 3, June 2020
|
|
|---|---|---|
| Page(s) | 465 - 470 | |
| DOI | https://doi.org/10.1051/jnwpu/20203830465 | |
| Published online | 06 August 2020 | |
Aeroacoustic Noise Characteristics of Flow around a Square Column Based on Large Eddy Simulation
基于大涡模拟的方柱绕流噪声特性研究
School of Marine Science and Technology, Northwestern Polytechnical University, Xi'an 710072, China
Received:
15
August
2019
Abstract
Large eddy simulation and Ffowcs Williams-Hawkings (FW-H) equation were used to investigate the aeroacoustic noise characteristics of flow around a square column. After verifying the accuracy of the numerical model, the influences of flow velocity and flow direction on noise field characteristics are discussed. The noise prediction result of the base model was in good agreement with the experiment data in the vortex-shedding frequency and in the general trend. It was shown that there were typical dipole noise sources in the direction of 110° and 250°, respectively. With the increase of distance, the total sound pressure level was decreased and the directionality of the noise field is becoming worse. The results showed that the vortex-shedding frequency was increased with the increase of flow velocity, and the corresponding sound pressure level was also raised. The change of flow direction would make the directionality of noise flied more complicated, which is related to the complexity of flow field.
摘要
采用大涡模拟结合Ffowcs Williams-Hawkings(FW-H)方程声类比的方法,研究了方柱绕流噪声特性,将基准模型数值计算结果与前人试验结果进行对比,并分析方柱绕流噪声辐射特性以及流速和流向对声场的影响规律。研究表明:基准模型数值计算结果与试验值较为一致,说明了文中计算方法的适用性;在约110°和250°的圆周方向上的存在偶极子噪声模态,且随着距离的增大,噪声辐射声压级逐渐减小,噪声指向性变得逐渐不明显;随着流速的增大,涡脱落频率逐渐增大,且涡脱落频率处的声压级也随之增大,辐射噪声声压级在频域上呈增大趋势;流向的改变使得方柱绕流辐射噪声的声场指向性变得复杂。
Key words: flow around a square column / aerodynamic noise / large eddy simulation / acoustic analogy / dipole noise / sound pressure level / directionality
关键字 : 方柱扰流 / 气动噪声 / 大涡模拟 / 声类比 / 偶极子
© 2019 Journal of Northwestern Polytechnical University. All rights reserved.
This is an Open Access article distributed under the terms of the Creative Commons Attribution License (http://creativecommons.org/licenses/by/4.0), which permits unrestricted use, distribution, and reproduction in any medium, provided the original work is properly cited.
河流绕过桥墩、风吹过建筑物以及高速行驶中的汽车,都是典型的钝体绕流问题,其中,方柱绕流问题作为流体力学的经典问题之一,一直以来受到很多研究人员的关注[1-2]。流体经过柱体时会在柱后方产生漩涡脱落,导致结构表面附近流体产生脉动力及湍流应力,向周围空气产生压力波动,从而产生气动噪声[3]。目前,对于结构绕流噪声的研究,目前公开的文献主要集中于圆柱[4]、翼型[5]、开孔结构[6]等结构,而对于方柱绕流产生流噪声方面的研究则相对较少,且缺少系统性。
对于方柱绕流的研究,其流场特性已有相关文献[1-2],而对于其涡脱落噪声的研究则有待于进一步深入研究。对于方柱绕流噪声,一些学者已经进行相关风洞试验研究。Escobar等[7]利用风洞测试研究了方柱的涡脱落频率;Octavianty等[8]试验研究了2个并列圆柱在雷诺数在104~3.3×104之间的流噪声特性。鉴于风洞声学试验的成本代价较高,因此通常采用数值模拟方法进行初期研究。目前研究气动噪声的主要数值方法之一是CFD(computation fluid dynamics)和声类比相结合的混合方法。Chen等[9]采用雷诺平均N-S方程进行了机翼后缘噪声的预报研究;Weinmann等[10]采用混合RANS/LES方法对串列的圆柱流噪声进行了研究;Moratilla-Vega等[11]基于LES方法耦合声学扰动方程研究了喷流噪声;Juan等[12]采用混合的LES-FWH方法研究了低速流体在开口空腔内的噪声特性。以上数值研究仅关注了声场中某一点的频谱特性,而忽略了噪声的指向性,同时也没有研究流场改变,如流速、流向等的改变对于声场特性的影响。
基于以上背景,本文采用大涡模拟求解方柱绕流非定常湍流流场,以流场结果作为输入参数求解FW-H方程求解声场特性。本文不仅系统研究了方柱绕流噪声的特性规律,而且为后续该方面的更加深入研究提供参考。
1 控制方程与数值方法
1.1 大涡模拟
湍流是流体的一种不规则流动状态,数值模拟方法主要有直接数值模拟(direct numerical simulation, NDS)、雷诺时均(Reynolds averaged navier-stokes, RANS)和大涡模拟(large eddy simulation, LES)3种。其中,LES方法是一种介于DNS和RANS方法之间的一种方法,它基于过滤尺度将湍流场信息分解为直接求解的各向异性大尺度运动和需要进行合理模型处理的各项同性的亚格子尺度运动。LES方法需要过滤尺度在湍动能谱的惯性子区内,此时的亚格子尺度湍流趋向于各项同性,因此可以建立相对普适的亚格子湍流模型,其数学和物理意义上的表达式为[13]。
(1)
式中:
是计算流体区域; Δ是滤波器特征尺度, 通常等于网格单元尺寸; dζ表示过滤尺度Δ内的体积微元; G(x-x′, Δ)是低通滤波函数, 尺度小于Δ的亚格子尺度内的高频成分将被过滤掉, 低频的脉动将保留。
LES方法可以克服DNS方法和RANS方法各自的不足, 并能准确计算流场脉动信息, 可以大大降低计算量, 而且可以在较高的数值精度下获得瞬时湍流流场中的低频演化信息, 因此该方法能够较好地模拟流场脉动的细节特性, 从而更准确地计算出声场特征。
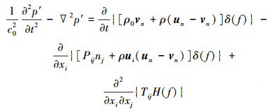
1.2 基于FW-H方程的声类比方法
FW-H方程是通过引入广义函数将Navier-Stokes方程按波动方程的形式表示[14]
(2)
式中:c0为声速; p′为观测点声压; ui为流体在xi方向的速度分量; un为垂直表面的流体速度分量; vn为垂直表面的速度分量; Pij为可压缩的应力张量; Tij是Lighthill应力张量; δ(f)代表Dirac函数, H(f)代表Heaviside函数, 满足
(3)
(4)
方程(2)右端3项分别代表厚度声源、载荷声源和四极子声源; 厚度声源和载荷声源是面声源, 四极子声源是体声源; 在低速和亚音速流动中, 面声源贡献占整体气动噪声的绝大部分, 而在跨音速或超音速时, 四极子声源贡献变得突出。基于FW-H方程的声类比方法的特点是将声音的产生和传播分别计算, 求解该方程可以得到采样点处总声压级和声压级频谱, 相比直接计算声学法计算量大大减少。
2 计算模型
2.1 计算域和边界条件设置
方柱绕流模型计算域如图 1所示, 沿流向长度为25D, 沿法向长度为10D, 方柱位于水平对称轴上, 且距入口边界为5D。方柱体的展向长度取为L, 研究结果提取方柱体沿展向二分之一截面处的声学特性。入口边界设置为速度入口, 出口边界设置为压力出口, 上下左右边界设置为对称边界, 方柱体壁面为无滑移壁面边界条件。
![]() |
图1 方柱绕流模型计算域示意图 |
2.2 网格生成
利用ANSYS Workbench 15.0对模型进行网格划分, 为避免产生较大的数值扩散, 同时也使得网格具有较高的精度:①能够捕捉到相关的湍流长度尺寸; ②使得数值误差小于亚格子尺度湍流黏度, 整个模型划分采用六面体网格, 其沿方柱展向二分之一截面如图 2所示。在方柱体上设置边界层并进行局部加密, 同时在方柱体所在流向和法向方向上的网格也进行适当加密处理, 以提高计算精度。基准模型整体网格数量约为36万。
![]() |
图2 沿方柱展向二分之一截面上的计算网格 |
2.3 求解设置
计算基于LES模型, 求解控制中压力-速度耦合采用Fractional Step算法, 为保证计算精度, 离散格式采用二阶迎风格式[15]。选择瞬态求解器, 求解步长设置为Δt=5×10-6 s, 使得声学分析最高频率为
, 迭代步数设置为4 000, 使得求解频率间隔为50 Hz; 为保证精确计算低频声学特性, 需另设置一组计算模型, 求解步长设置为Δt=5×10-4 s, 使得计算模型声学分析最高频率为f=
, 迭代步数设置为400, 使得求解频率间隔为5 Hz。
流场连续性、x、y、z方向速度分量的残差收敛标准均设为1×10-5。流场非稳态求解至收敛稳定后, 设置基于FW-H方程的声学模型, 声学模型计算完成后, 进行傅里叶变换得到噪声值。
3 计算结果与分析
将本文数值结果与文献[7]中的风洞声学试验结果进行对比, 验证本文计算方法的有效性; 并分析方柱绕流声场指向性、频谱特性, 研究流速、流向对方柱绕流噪声的影响规律。
3.1 数值方法验证
根据文献[7]的描述, 方柱绕流噪声试验完成于德国埃朗根-纽伦堡大学的气动声学风洞。试验共分3组, 分别包括不同尺寸的方柱模型以及风洞测试速度。本文选择对比第二组试验(D=1.5 cm, L=9 cm, 风洞测试速度为10 m/s), 以此作为基准模型。试验测量时声学采样采用B & K 4189传声器, 位于喷嘴外部正对方柱中心且距其0.5 m处。为使得方柱绕流噪声测量结果不受风洞本身噪声特性影响, 分别对风洞中有无方柱时的噪声进行测量, 其与本文数值结果的对比如图 3所示。由图可见, 风洞试验测量的方柱涡脱落频率为71.5 Hz, 而本文计算结果为73.2 Hz, 相对误差为2.4%, 且两者在涡脱落频率处的声压级也较为接近, 本文数值计算结果与试验结果较为吻合, 验证了本文数值方法的有效性。在频率较低时, 如当f < 30 Hz时, 试验测量与仿真结果存在较大的差异, 原因在于风洞试验测量结果掩盖了方柱绕流噪声的真实特性。
3.2 声场指向性
为了准确地得到噪声在传播方向上的分布, 图 4给出了方柱绕流涡脱落噪声辐射的指向性, 它是在离计算中心半径为20D的圆周内测量得到的, 可以发现在约110°和250°的圆周方向上存在偶极子噪声模态, 该结论与文献[16]有较为一致的结论。同时发现, 随着距离的增大, 噪声辐射声压级逐渐减小, 且噪声指向性变得不明显。
为研究噪声频域上的特性, 分别在流场中选取下风向(0°)、2个指向性方向(110°和250°)距离方柱中心D, 2D和5D距离处的声压级频谱进行对比, 如图 5所示。通过图 5a)至图 5c), 均可以发现在距离方柱中心相同的位置处, 2个指向性方向的声压级基本一致, 高于下风向处的声压级, 且2个指向性方向可以反映出涡脱落频率处的声学特性。通过三图的纵向对比发现, 随着距离增大, 声压级逐渐降低; 同时可以看出, 随着距离的增大, 2个指向性方向的涡脱落频率是不变的。
![]() |
图4 方柱绕流声场声压级云图 |
![]() |
图5 方柱绕流噪声频谱特性 |
3.3 流速对声场特性影响
为研究流速对噪声在传播方向上的分布, 在距离方柱中心2D位置处均匀布置12个声音压强信号接收点, 图 6给出了在流场速度分别为10, 12以及15 m/s时的声压级方向性分布。由图可见, 声压级随流速变化明显, 流速的增大会显著提高噪声的声压级。流速为10, 12 m/s的噪声指向性特点显然符合图 4的规律, 而流速为15 m/s的声压级分布中, 尽管最大声压级点也在指向性的方向, 但和0°~90°和270°~360°方向的声压级相差不大。可以看出, 随着流速的增大, 同一圆周上噪声的指向性变得逐渐不明显。
图 7所示是在10, 12以及15 m/s 3种流速下2个指向性方向(110°和250°)的距离方柱中心2D位置处的频谱特性。由图可见, 随着流速的增大, 方柱涡脱落频率逐渐增大, 且涡脱落频率处的声压级逐渐增大。在整个研究频域内, 流速越大, 声压级也越高。2个指向性方向的变化规律是一致的。
![]() |
图6 不同流速下声压级的方向性分布 |
![]() |
图7 流速对噪声频谱特性的影响 |
3.4 流速对声场特性影响
实际工程中, 风向以及洋流的方向是会变化的, 基于此, 本小节研究流向对于方柱绕流噪声声场的影响规律。为便于研究, 仅研究单一流向的改变对于声场的影响特性, 计算中流场的流向保持恒定, 而方柱产生不同角度的旋转(30°, 45°, 60°及90°等), 鉴于方柱结构的对称性, 仅研究不旋转(旋转0°)以及旋转30°和45°时, 方柱涡脱落噪声的特性, 其模型示意图见图 8。
图 9给出了方柱旋转30°和45°时的方柱绕流声场声压级云图。对比图 4(方柱旋转0°)的声场声压级云图, 可以看出, 声场的指向性随着方柱旋转角度不同会产生较大的变化。不同于方柱旋转0°时产生的110°和250°方向的典型偶极子的声场指向性, 当方柱旋转30°时, 声场在75°, 165°和345°方向各存在一个小的指向性, 在30°和290°方向存在较大的指向性; 当方柱旋转45°时, 声场的指向性在90°和300°存在典型的偶极子辐射特性。相比之下, 方柱旋转30°时的声场指向性较为复杂, 原因在于方柱旋转0°以及旋转45°时的模型关于来流方向对称, 而方柱旋转30°时的模型关于来流方向不对称。对比图 4和图 9可以发现, 方柱旋转0°以及旋转30°, 45°时声场声压级最大值分别为118.0, 119.1以及116.4 dB。可以看出, 当方柱旋转30°时, 流体流过方柱表面时产生的水流压力脉动最大, 进而产生较大的噪声声压级。由此可见, 方柱扰流噪声辐射特性与流向有着非常大的关系。
![]() |
图8 方柱旋转不同角度示意图 |
![]() |
图9 方柱旋转30°和45°时声场声压级云图 |
4 结论
本文基于大涡模拟和FW-H方程研究方柱绕流的涡脱落噪声特性, 其主要结论如下:
1) 基准模型数值结果获得了与试验结果较为一致的频谱形状, 较准确地捕捉到了方柱涡脱落频率, 说明本文计算方法适用于求解方柱绕流的气动噪声问题。
2) 方柱绕流涡脱落噪声在110°和250°方向上存在偶极子噪声模态, 且这2个方向上的声压级频谱曲线上存在明显的涡脱落现象, 而方柱下风向的声压级频谱曲线上则没有涡脱落现象。
3) 随着流速的增大, 方柱涡脱落频率逐渐增大, 且涡脱落频率处的声压级逐渐增大; 但随着流速的增大, 同一圆周上噪声的指向性变得不再那么明显。
4) 流向的改变会显著影响方柱涡脱落噪声辐射特性, 这与不同流向下流场的复杂程度密切相关。
References
- Wang Yangang, Chen Junxu, Xian Songchuan. Analysis of Square Cylinder Unsteady Flow at Low Reynolds Number with POD Method[J]. Journal of Northwestern Polytechnical University, 2014, 32(4): 612-617 [Article][Article](in Chinese) [Google Scholar]
- Huang Q G, Pan G. On the Hydrodynamics of Three In-Line Square Cylinders in a Uniform Flow[J]. Modern Physics Letters B, 2019, 33(6): 1950066 [Article] [CrossRef] [Google Scholar]
- Lighthill J. Waves in Fluids[M]. Cambridge: Cambridge University Press, 1978:23-40 [Google Scholar]
- Cai J C, Pan J, Kryzhanovskyi A. A Numerical Study of Transient Flow around a Cylinder and Aerodynamic Sound Radiation[J]. Thermophysics and Aeromechanics, 2018, 25(3): 331-346 [Article] [CrossRef] [Google Scholar]
- Dang Z, Mao Z, Tian W. Reduction of Hydrodynamic Noise of 3D Hydrofoil with Spanwise Microgrooved Surfaces Inspired by Sharkskin[J]. Journal of Marine Science and Engineering, 2019, 7(5): 136 [Article] [CrossRef] [Google Scholar]
- Tabrizi A B, Wu B. The Role of Compressibility in Computing Noise Generated at a Cavitating Orifice[J]. International Journal of Aeroacoustics, 2019, 18(1): 73-91 [Article] [CrossRef] [Google Scholar]
- Escobar M, Ali I, Hahn C, et al. Numerical and Experimental Investigation on Flow Induced Noise from a Square Cylinder[C]//10th AIAA/CEAS Aeroacoustics Conference, 2004: 3004 [Google Scholar]
- Octavianty R, Asai M. Effects of Short Splitter Plates on Vortex Shedding and Sound Generation in Flow Past Two Side-By-Side Square Cylinders[J]. Experiments in Fluids, 2016, 57(9): 143 [Article] [CrossRef] [Google Scholar]
- Chen L, MacGillivray I R. Prediction of Trailing-Edge Noise Based on Reynolds-Averaged Navier-Stokes Solution[J]. AIAA Journal, 2014, 52(12): 2673-2682 [Article] [CrossRef] [Google Scholar]
- Weinmann M, Sandberg R D, Doolan C. Tandem Cylinder Flow and Noise Predictions Using a Hybrid RANS/LES Approach[J]. International Journal of Heat and Fluid Flow, 2014, 50:263-278 [Article] [CrossRef] [Google Scholar]
- Moratilla-Vega M A, Xia H, Page G J. A Coupled LES-APE Approach for Jet Noise Prediction[C]//Inter-Noise and Noise-Con Congress and Conference Proceedings, 2017: 3946-3957 [Google Scholar]
- Juan H, Wei C, Songpin W U. Influence of Cavity Shape on Aerodynamic Noise by a Hybrid LES-FWH Method[J]. Applied Mechanics & Materials, 2014, 543:358-361 [Article] [Google Scholar]
- Dang Z, Mao Z, Song B, et al. Noise Characteristics Analysis of the Horizontal Axis Hydrokinetic Turbine Designed for Unmanned Underwater Mooring Platforms[J]. Journal of Marine Science and Engineering, 2019, 7(12): 465 [Article] [CrossRef] [Google Scholar]
- Williams J E F, Hawkings D L. Sound Generation by Turbulence and Surfaces in Arbitrary Motion[J]. Philosophical Transactions of the Royal Society of London:Series A, Mathematical and Physical Sciences, 1969, 264(1151): 321-342 [Article] [CrossRef] [Google Scholar]
- FLUENT Theory Guide[M]. Canonsburg, PA: ANSYS Inc, 2011 [Google Scholar]
- Si Haiqing, Zhu Weijun. Aerodynamic Noise Calculating Method and Its Application[M]. Beijing: Science Press, 2017:82-87 (in Chinese) [Google Scholar]
All Figures
![]() |
图1 方柱绕流模型计算域示意图 |
| In the text | |
![]() |
图2 沿方柱展向二分之一截面上的计算网格 |
| In the text | |
![]() |
图3 本文数值结果与试验结果[7]对比 |
| In the text | |
![]() |
图4 方柱绕流声场声压级云图 |
| In the text | |
![]() |
图5 方柱绕流噪声频谱特性 |
| In the text | |
![]() |
图6 不同流速下声压级的方向性分布 |
| In the text | |
![]() |
图7 流速对噪声频谱特性的影响 |
| In the text | |
![]() |
图8 方柱旋转不同角度示意图 |
| In the text | |
![]() |
图9 方柱旋转30°和45°时声场声压级云图 |
| In the text | |
Current usage metrics show cumulative count of Article Views (full-text article views including HTML views, PDF and ePub downloads, according to the available data) and Abstracts Views on Vision4Press platform.
Data correspond to usage on the plateform after 2015. The current usage metrics is available 48-96 hours after online publication and is updated daily on week days.
Initial download of the metrics may take a while.









