| Issue |
JNWPU
Volume 38, Number 4, August 2020
|
|
|---|---|---|
| Page(s) | 715 - 722 | |
| DOI | https://doi.org/10.1051/jnwpu/20203840715 | |
| Published online | 06 October 2020 | |
Research for Space Interception Simulation under Nonlinear Time-Varied Similarity
非线性时变相似性理论下的空间拦截仿真研究
Institute of Precision Guidance and Control, Northwestern Polytechnical University, Xi'an 710072, China
Received:
9
2019
Abstract
A nonlinear time-varied similarity(NTVS) simulation algorithm is proposed to solve the problem that the process of space interception is intractable to simulate with high precision in limited platform under the linear constant similarity(LCS). Firstly, the similarity criterions based on the dimensional analysis are given in the simulation of the interception motion at high-speed, and the disadvantage of LCS is analyzed. Then, the reference motion is introduced to establish a time-varied spatio-temporal transform system which scale factors are self-adaptive with time, and the method is proved to satisfy the similarity consistency. Finally the way that linear separation and independent mapping solve the problem that the large magnitude uniform motion in approaching directions and small magnitude overload motion in lateral directions are simulated in a limited ground platform. The results show that the NTVS can simulate the whole process of interception and perform better in accuracy comparing with that via LCS.
摘要
针对空间飞行器高速拦截过程地面物理仿真中,采用定常相似性理论难以在有限空间内实现高精度物理仿真的问题,提出了一种非线性时变相似性映射(NTVS)体系解决了大时空缩比系数与运动高精度模拟的矛盾。首先基于相似性量纲法推导了高速拦截过程的相似性准则,并分析线性定常相似映射(LCS)的不足。然后引入参考运动建立了一种时空缩比系数随时间自适应变化的相似性体系,并证明了该方法能够保证相似一致性。最后其通过运动的线性分离与独立映射方式解决了纵向高速接近运动与侧向小机动在同一物理平台上的仿真难题。仿真结果表明该方法相比于LCS能以较高精度完整再现高速拦截运动。
Key words: time-varied transform / spatio-temporal similarity / space interception / ground simulation
关键字 : 时变映射 / 时空相似性 / 空间拦截 / 地面仿真
© 2020 Journal of Northwestern Polytechnical University. All rights reserved.
This is an Open Access article distributed under the terms of the Creative Commons Attribution License (http://creativecommons.org/licenses/by/4.0), which permits unrestricted use, distribution, and reproduction in any medium, provided the original work is properly cited.
近年来空间拦截技术已成为未来空间对抗的重要手段[1-2],为了避免真实空间飞行实验所带来的高风险高成本和国际影响问题,地面仿真技术的研究已经成为一个重要课题[3]。
目前对于交汇对接、空间编队等相对速度较低的空间运动过程已在地面物理平台上开展了大量研究[4-7],美国海军研究院利用三轴气浮平台建立地面仿真系统,并用来模拟空间飞行器编队飞行中的导航、制导与控制(GNC)算法[8]。波兰科学院设计了气浮微重力仿真系统,详细描述了各个系统的组成和工作原理,并验证了空间机器人的控制算法[9]。同时为了保证仿真的有效性,相似性理论在空间仿真中被广泛使用[10-13]。都灵理工大学利用气浮平台为空间交汇对接开发了地面仿真系统,通过空间尺度缩放的方式验证了交汇对接过程中的GNC算法[10]。何兆伟等[11]对航天器地面实验进行了相似性分析,给出了完全相似条件和近似相似度量方法。孙施浩等[12]对于空间合作目标地面再现方法进行了研究,文中以相似性理论为基础设计了一种绝对运动等效代换的方案,并设计定常映射系数用于同时模拟绝对运动和相对运动。齐彧等[13]根据相似性理论建立了航天器相对运动地面动力学方程,并在仿真中对环境差异和实验干扰进行了补偿。
但是在空间拦截中,2个飞行器相对运动范围大、速度高,且整个拦截过程时间很短,这使得空间高速拦截运动在地面实施物理仿真难度较大[14-15]。美国劳伦斯利弗莫尔国家实验室(LLNL)对于空间拦截运动分别进行了气浮平台实验和气浮导轨实验的研究[16]。实验中拦截器采用侧喷发动机机动,弹目运动中纵向速度利用等效关系模拟,而对于目标运动采用激光投影的方式实现。因此该实验方案只能模拟拦截器的侧向过载运动,无法同时模拟导弹和目标的整个运动过程,同时实验中采用的等效手段往往受限于仿真平台参数。
本文针对大理石气浮平台物理环境,提出了非线性时变时空映射的地面仿真方法。其将2个飞行器高速接近运动的主分量时变映射为定常距离。而将低速的相互机动过程映射为地面非惯性系上的低速运动,从而减少了时空缩放系数量级,最终实现了空间拦截过程的地面物理模拟可实现性。
1 相似性准则的建立与分析
空间飞行器拦截过程一般发生在近地同一高度轨道上,当进入拦截制导末段时,2个飞行器的机动可近似发生在二维的攻击平面oxy内(如图1所示), 此时可忽略重力作用。
同时定义在地面仿真环境中气浮平台上的运动, 如图2所示, 其中Ms, Ts分别表示导弹和目标模拟器(漂浮体), 两者运动在osxsys平面内。
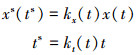
为了区分真实空间和仿真空间中的参数, 用无上标字母表示真实空间的参数, 带上标s的字母表示仿真空间中的参数。因此拦截运动的地面仿真运动可作为真实空间(RS)oxy上的运动与仿真空间(SS)osxsys上运动的互相转化。
在相似性实验中, 考虑到2个运动体初始相对距离较远, 且相对速度较大, 因此在实验中重点模拟的是仿真空间的模拟器位移、速度和加速度。同时必须保证仿真空间中位移、速度和加速度之间的内部联系与真实空间中相同, 即在实验过程中必须遵守相似性准则。根据量纲法可得到运动过程中的相似性准则
(1)
微分形式可表述为
(2)
式中, xs, vs, as分别表示仿真空间中的位移、速度和加速度。因此, 当仿真空间中的运动位移、速度、加速度必须满足(1)或(2)式, 则认为该仿真满足相似性。在线性定比例映射中, 根据以上相似性准则, 可以得到2个空间相互转化的缩放系数[18]
(3)
(4)
(5)
式中,参数kt, kd, kv, ka分别表示时间、位移、速度和加速度的缩放因子。根据(3)~(5)式可以看出, 定比例映射中缩放因子是由2个空间中的运动参数决定的。由表 1描述的运动情况可知在定常相似性理论下, 空间缩放系数量级较大, 其中位移缩放系数为1/2 000, 速度缩放系数为1/40 000, 加速度缩放系数为1/800 000, 这使得真实空间中一些运动量映射到仿真空间后难以测量(例如:真实空间中5 g的加速度映射到仿真空间为6.25×10-6g, 而常用加速度计分辨率为10-5g)。因此针对大范围的拦截运动, 定常线性映射很难物理实现。
定比例映射参数
![]() |
图1 真实空间中拦截运动坐标系定义 |
![]() |
图2 仿真空间中坐标系定义 |
2 非线性时变的时空映射
本文提出了采用时变非线性映射的相似性方法, 其核心思想是将飞行器的高速运动分离为高速匀速分量和低速机动分量。最终在地面仿真平台上构建非惯性系, 在较小的缩放系数下进行地面物理仿真, 从而避免过大的缩放系数。
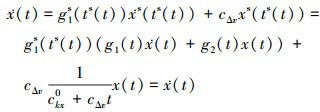
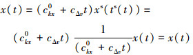
假设真实空间和仿真空间中两飞行器的运动由图3表示, 其中x(t)和xs(ts)分别表示真实空间和仿真空间中运动体位移, v(t)和vs(ts)分别为真实空间与仿真空间中的运动速度。
定义时变时空映射关系可表示为
(6)
或
(7)
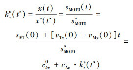
考虑到x方向上飞行器接近运动为高速运动, 因此将2个飞行器x方向上的初始速度分量作为匀速直线运动, 即参考运动(如图4所示)。其中sM0T0(t)和sM0T0s(ts)分别表示2个空间中弹目相对距离。
![]() |
图3 拦截运动映射关系 |
![]() |
图4 参考运动映射关系 |
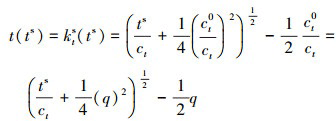
3 时间映射关系
考虑物理平台中漂浮体最大速度限制, 时间映射关系首先要保证漂浮体速度限制。定义初始时刻t0的时间映射系数为
, 结束时刻te时间映射系数为
, 其中dt0和dte分别表示初始时刻和结束时刻的仿真时间步长。则时间映射系数的变化如图5所示。
时间映射系数kt(t)为
(8)
式中,
。拦截过程中时间映射函数为
(9)
或者表示为
(10)
式中,
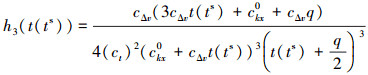
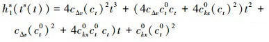
。当参数ct0和参数cte相等时, 此时非线性映射便会退化为定常比例映射。
![]() |
图5 时间映射系数变化趋势 |
4 空间映射关系
考虑到地面大理石平台的尺寸限制,并要充分利用地面空间, 这里将参考匀速运动映射为地面恒定值
(11)
假设初始时刻空间缩放系数为ckx0, 则空间缩放系数函数kxs(ts)可表示为
(12)
式中:
;
此时空间映射函数可表示为
(13)
或者
(14)
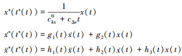
根据(2)式, 真实空间中速度
和加速度
的映射关系可由相似性准则的微分形式得到
(15)
(16)
式中
(17)
(18)
(19)
相应的仿真空间中速度
和加速度
映射关系为
(20)
(21)
式中
(22)
(23)
(24)
(25)
(26)
根据映射过程可知, 映射关系的时变非线性化可以保证在整个参考运动进行过程中仿真平台上两漂浮体的相对距离保持恒定, 极大地提高了平台的利用率。但同时非线性映射也带来了不可避免的牵连运动, 此时的气浮仿真平台成为一个非惯性系。
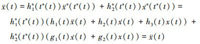
5 非线性映射无偏性分析
在非线性映射中, 无偏性分析可以评估映射的准确性以及是否满足相似性原理。常用方法是通过逆映射的方式对映射关系进行校验如图6所示。
假设仿真空间中的运动参数xs,
和
已经由(14)式、(20)式、(21)式得到为
(27)
式中系数同(22)至(26)式, 但自变量均为t。
1) 位移
根据(13)式可将(27)式中的位移表达式进行逆映射可得
(28)
2) 速度
根据(15)式可将(27)式中的速度表达式进行逆映射可得
(29)
3) 加速度
根据(16)式可将(27)式中的加速度表达式进行逆映射可得
(30)
根据(28)至(30)式可以发现,目标的运动位移、速度和加速度在映射和逆映射后仍能保持参数的一致性, 因此整个映射过程中保证了相似变换的一致性。
![]() |
图6 时间映射函数变化趋势 |
6 非线性时变相似性方法实现
虽然NTVS仿真方法可以实时调整空间映射系数, 但是由于非线性映射会带来非惯性空间特性,会影响运动量级较小的侧向过载机动上。因此提出通过线性分离、独立映射的思想同时模拟参考运动和侧向过载机动的仿真方式, 具体步骤如下:
1) 把参考运动从高速拦截运动中线性分离出来。
2) 对分离出的参考运动进行非线性映射, 形成的非惯性系运动参数由计算机进行模拟。
3) 对剩余的小量级过载机动进行线性定常映射。
拦截运动线性分离可表示为
(31)
式中:下标1表示匀速直线运动的参考运动;下标2表示剩余机动。根据2种运动的运动特性可得
(32)
(33)
式中:c1为初始时刻的接近速度;c2为机动加速度。在整个拦截过程中, 运动参数s1和v1的量级远大于s2和v2。因此运动量级较大的参考运动被时变非线性映射分离后, 只有小量级侧向机动可通过定常线性映射在大理石平台上进行模拟。
7 仿真校验
考虑真实空间中目标飞行器以最大过载逃逸, 拦截器根据制导律进行拦截, 下面对NTVS和LCS 2种仿真算法进行对比。假设地面大理石平台尺寸为5 m×10 m, 漂浮体最大运动速度350 mm/s, 加速度由开关喷力器产生。真实空间中拦截器和目标飞行器的初始相对距离为20 km, 目标初速为vTx(0)=-6 300 m/s, 拦截器初度为vMx(0)=7 000 m/s, 目标以4 g最大过载侧向机动, 拦截器根据比例导引产生制导律(比例系数K=6)且最大过载不超过5 g。真实空间中仿真周期为1 ms, 制导周期为10 ms, 整个拦截时间为te=1.503 008 s。设置初始参数:
1) LCS映射参数设置
(34)
2) NTVS映射参数设置
对于非线性映射部分:初始时刻空间映射参数ckx0=2 000;初始时刻的时间映射参数ct0=10, 结束时刻时间映射参数cte=100。对于线性映射部分
(35)
8 数学仿真
数学仿真先把真实空间的拦截运动映射到仿真空间中, 再把仿真空间中运动反映射到真实空间中得到拦截运动的返回值, 最后与真实空间的拦截运动进行对比。在单纯数学仿真中不考虑各种误差。
真实空间的拦截运动如图7所示, 在数学仿真下的运动误差如图8至10所示。
从图中可以发现, 在数学仿真中临近仿真结束时刻, 计算的舍入误差增大, 此时位置误差量级为10-12 m; 速度误差量级为10-6 m; 加速度误差量级为10-3 m/s2, 但是从整个过程来看可认为映射满足相似一致性。
映射后仿真空间中的运动情况如图11至12所示。可以发现对于LCS算法, 由于过载运动量级较小约为102 m, 因此在经过大范围缩比后, 过载运动量级为10-2 m且相对距离在最后时刻为10-3 m, 给仿真空间中的模拟和测量带来较大困难。而经过NTVS算法映射后两漂浮体在x方向上的相对距离几乎不变, 并在气浮平台上完整模拟了机动运动。
![]() |
图7 真实空间中弹目运动轨迹 |
![]() |
图8 数学仿真下的位置误差 |
![]() |
图9 数学仿真下的最大速度误差 |
![]() |
图10 数学仿真下的最大加速度误差 |
![]() |
图11 不同映射下仿真空图间弹目运动轨迹 |
![]() |
图12 不同映射下仿真空间弹目相对距离 |
9 物理仿真
物理仿真是各种物理测量误差下的数学仿真。其主要包括3步:
1) 在真实空间产生制导指令并返回到仿真空间。由于x和y方向采用不同的映射规则, 故空间的角度不再相等, 需要通过分解单独计算。
2) 漂浮体根据制导指令进行移动, 并获得运动体速度和位移。
3) 测量视线角信息并返回到真实空间用来获得下一周期的制导指令。
其中角度映射关系表示为
(36)
式中:θs为测量的角度;rs为两模拟器的相对距离;LTs表示目标在y方向上的位移。
在仿真空间中, 定位误差标准差σp=2 mm, 测角误差标准差σθ=0.01°, 喷力器产生加速度误差标准差σa=3.3×10-6 m/s2。
从图13可知, 对于LCS仿真算法, 由于缩放尺度较大, 仿真空间中的微小误差都会给真实空间中拦截运动带来较大的影响。而对于NTVS算法如图14, 由于对量级较大的参考运动进行数学等效模拟, 只在平台上模拟小量级的侧向过载运动, 且映射系数较小, 使得其对误差敏感度降低。
2种方法具体误差对比如图15所示, 误差量级对比如表 2所示。在物理平台中开关推力器的驱动下, LCS算法仿真速度误差约为10 m/s, 位置误差约为20 m; 而在NTVS仿真下, 速度误差约为2 m/s。位置误差约为1.5 m。相比于LCS算法, 采用NTVS算法速度误差缩小5倍, 位置误差缩小约10倍, 因此仿真精度更高。
误差数值对比
![]() |
图13 LCS仿真运动轨迹与真实运动轨迹对比 |
![]() |
图14 NTVS仿真运动轨迹与真实运动轨迹对比 |
![]() |
图15 NTVS与LCS真实空间中运动参数误差对比 |
10 结论
针对空间飞行器拦截过程难以在地面大理石平台上全程、同时和精确物理仿真的问题,本文提出通过运动分离,将飞行器高速参考运动和低速机动分解映射为地面物理平台上的静止运动和低速相对运动,从而降低了地面仿真的时空缩放系数,从而降低了实验误差对仿真精度的影响,这使得在大理石平台上的高速空间拦截物理仿真具有可实现性。
References
- Li S J, Lei H M, Shao L, et al. Multiple Model Tracking for Hypersonic Gliding Vehicles with Aerodynamic Modeling and Analysis[J]. IEEE Access, 2019, 7:28011-28018 10.1109/ACCESS.2019.2899678 [CrossRef] [Google Scholar]
- Shi L, Zhu Z H. Two-Dimensional Continuous Terminal Interception Guidance Law with Predefined Convergence[J]. IEEE Access, 2018, 6:46771-49780 10.1109/ACCESS.2018.2865878 [CrossRef] [Google Scholar]
- Kawano I, Kasai T, Mokuno M, et al. Result of Autonomous Rendezvous and Docking Experiment of Engineering Test Satellite VⅡ[J]. Journal of Spacecraft and Rocket, 2001, 38(1): 105-111 10.2514/2.3661 [CrossRef] [Google Scholar]
- Nikhil V V, Abhilash N, Niketh P. The 2.5 s Microgravity Drop Tower at National Centre for Combustion Research and Development(NCCRD)[J]. Microgravity Science and Technology, 2018, 30(5): 663-673 10.1007/s12217-018-9639-0 [CrossRef] [Google Scholar]
- Menon C, Aboundan A, Cocuzza S, et al. Free-Flying Robot Tested on Parabolic Flight:Kinematic Control[J]. Journal of Guidance, Control, and Dynamics, 2005, 28(4): 623-630 10.2514/1.8498 [CrossRef] [Google Scholar]
- Sun C, Chen S Y, Yuan J P, et al. A Six-DOF Buoyancy Tank Microgravity Test Bed with Active Drag Compensation[J]. Microgravity Science and Technology, 2017, 29(5): 391-402 10.1007/s12217-017-9554-9 [CrossRef] [Google Scholar]
- Smithanik J R, Atkins E M, Sanner R M. Visual Positioning System for an Underwater Space Simulation Environment[J]. Journal of Guidance, Control, and Dynamics, 2006, 29(4): 858-869 10.2514/1.16157 [CrossRef] [Google Scholar]
- Bevilacqua R, Romano M, Curti F. Guidance Navigation and Control for Autonomous Multiple Spacecraft Assembly:Analysis and Experimentations[J]. International Journal of Aerospace Engineering, 2011, 2011:342-351 [Article] [CrossRef] [Google Scholar]
- Guglieri G, Maroglio F, Pellegrino P. Design and Development of Guidance Navigation and Control Algorithms for Spacecraft Rendezvous and Docking Experimentation[J]. Acta Astronautica, 2014, 94(1): 395-408 10.1016/j.actaastro.2013.02.010 [CrossRef] [Google Scholar]
- Rybus T, Seweryn K. New Planar Air-Bearing Microgravity Simulator for Verification of Space Robotics Numerical Simulations and Control Algorithms[C]//12th ESA Symposium on Advanced Space Technologies in Robotics and Automation, Noordwijk, Holland, 2013 [Google Scholar]
- He Zhaowei, Shi Peng, Ge Bing, et al. Similitude Investigation for Ground Experiment of Spacecraft[J]. Journal of Beijing University of Aeronautics and Astronautics, 2012, 38(4): 502-508 [Article] (in Chinese) [Google Scholar]
- Sun Shihao, Zhao Lin, Jia Yingmin. Similitude Design Method for Motion Reconstruction of Space Cooperative Vehicles[J]. Journal of Astronautics, 2014, 35(7): 802-810 [Article] (in Chinese) [Google Scholar]
- Qi Yu, Sun Jun, Shi Peng, et al. Research for Ground-Based Astrodynamical Experiment for Spacecraft Relative Motion[J]. Journal of Beijing University of Aeronautics and Astronautics, 2016, 42(10): 2118-2119 [Article] (in Chinese) [Google Scholar]
- Hu Dongdong, Liu Xiaoming, Zhang Shaofang, et al. Review of Hypersonic Technologies Progresses Abroad in 2016[J]. Tactical Missile Technology, 2017(1): 28-33 [Article] (in Chinese) [Google Scholar]
- Zhang Haolong, Liao Xin, Li Bin, et al. Research on Performance Validation of Aircraft Based on Air-Table[J]. Journal of System Simulation, 2018, 30(10): 3739-3745 [Article] (in Chinese) [Google Scholar]
- Shi Xin. Design and Analysis of the Attack and Defense Ground Physical Simulation System[D]. Harbin: Harbin Institute of Technology, 2012(in Chinese) [Google Scholar]
All Tables
All Figures
![]() |
图1 真实空间中拦截运动坐标系定义 |
| In the text | |
![]() |
图2 仿真空间中坐标系定义 |
| In the text | |
![]() |
图3 拦截运动映射关系 |
| In the text | |
![]() |
图4 参考运动映射关系 |
| In the text | |
![]() |
图5 时间映射系数变化趋势 |
| In the text | |
![]() |
图6 时间映射函数变化趋势 |
| In the text | |
![]() |
图7 真实空间中弹目运动轨迹 |
| In the text | |
![]() |
图8 数学仿真下的位置误差 |
| In the text | |
![]() |
图9 数学仿真下的最大速度误差 |
| In the text | |
![]() |
图10 数学仿真下的最大加速度误差 |
| In the text | |
![]() |
图11 不同映射下仿真空图间弹目运动轨迹 |
| In the text | |
![]() |
图12 不同映射下仿真空间弹目相对距离 |
| In the text | |
![]() |
图13 LCS仿真运动轨迹与真实运动轨迹对比 |
| In the text | |
![]() |
图14 NTVS仿真运动轨迹与真实运动轨迹对比 |
| In the text | |
![]() |
图15 NTVS与LCS真实空间中运动参数误差对比 |
| In the text | |
Current usage metrics show cumulative count of Article Views (full-text article views including HTML views, PDF and ePub downloads, according to the available data) and Abstracts Views on Vision4Press platform.
Data correspond to usage on the plateform after 2015. The current usage metrics is available 48-96 hours after online publication and is updated daily on week days.
Initial download of the metrics may take a while.















