| Issue |
JNWPU
Volume 39, Number 2, April 2021
|
|
|---|---|---|
| Page(s) | 258 - 266 | |
| DOI | https://doi.org/10.1051/jnwpu/20213920258 | |
| Published online | 09 June 2021 | |
Dynamics and control of a bio-inspired Stewart platform
仿生抗冲击Stewart隔振平台的动力学与控制
1
School of Astronautics, Northwestern Polytechnical University, Xi'an 710072, China
2
National Key Laboratory of Aerospace Flight Dynamics, Xi'an 710072, China
3
Technology and Engineering Center for Space Utilization, Chinese Academy of Sciences, Beijing 100094, China
Received:
19
June
2020
Abstract
Collision and strong impacts take place in mission of the on orbit capture of non-cooperative spacecraft. So, it is necessary to design a vibration isolation system with efficient vibration isolation performance. A Stewart vibration isolation platform based on the bio-inspired isolation system is proposed in this paper. The characteristics of the novel bio-inspired Stewart platform realizes the vibration isolation protection of the serving spacecraft during the capture mission. The dynamic model of the vibration isolation platform is established by Lagrange's equations. The fidelity of the established dynamic model is verified via a comparison of the theoretical simulation and the ADAMS simulation. Comparisons between the presently proposed vibration isolation platform and the traditional spring-mass-damper type Stewart vibration isolation platform demonstrates the advantages of the present platform. The effects of system parameters on the isolation performance of the present platform are thoroughly investigated. The feedback linearization control method is used to control the present platform which overcomes the drift motion that occurs in the passive isolation case. The results show that the novel bio-inspired Stewart platform has excellent vibration isolation performance, which provides a promising way for the vibration isolation of the non-orbit capture mission.
摘要
空间非合作目标柔顺抓捕过程中伴随有碰撞、强冲击等问题,因此必须设计具有高效隔振性能的隔振系统。设计了基于仿生抗冲击结构的Stewart隔振平台,通过隔振平台的仿生抗冲击特性实现抓捕过程中服务航天器的隔振保护。隔振平台的理论动力学建模以拉格朗日动力学方程为基础,借助ADAMS软件验证了理论建模的正确性。仿真对比发现,设计的隔振平台的被动隔振性能优于基于线性弹簧阻尼隔振器的Stewart隔振平台。进一步研究了隔振平台参数对隔振性能的影响。采用反馈线性化的控制方法对隔振平台进行主动隔振控制,克服了被动隔振的速度漂移问题。研究表明设计的新型隔振平台具有优良的隔振性能,为非合作目标柔顺抓捕中的隔振系统选择提供了有效参考。
Key words: bio-inspired isolation system / non-cooperative target compliant capture / active-passive vibration isolation / Stewart platform / dynamics / ADAMS / simulation / feedback linearization
关键字 : 仿生抗冲击结构 / 非合作目标柔顺抓捕 / 主被动隔振 / Stewart平台 / 动力学 / ADAMS / 仿真 / 反馈线性化
© 2021 Journal of Northwestern Polytechnical University. All rights reserved.
This is an Open Access article distributed under the terms of the Creative Commons Attribution License (http://creativecommons.org/licenses/by/4.0), which permits unrestricted use, distribution, and reproduction in any medium, provided the original work is properly cited.
非合作目标包括故障航天器[1]、空间碎片[2]等,在非合作目标的柔顺抓捕过程中,由于和服务航天器之间存在相对速度,产生接触碰撞[3],将对服务航天器的组件造成冲击,不利于服务航天器精密仪器的安全保护和后续的姿态稳定控制[4],因此,必须采取有效的隔振手段对抓捕目标和服务航天器之间的冲击进行隔离。
Park[5]在理论和实验上详尽地分析了线性阻尼弹簧隔振器的隔振性能,但是线性阻尼弹簧隔振器主要通过增加线性阻尼来加快速度的衰减同时也会降低振幅,导致对大于系统固有频率的周期力的隔振性能变差。Carrella等[6-7]和Zheng等[8-9]对准零刚度隔振器的各种隔振应用进行了广泛研究。然而,研究表明,由于准零刚度隔振器的非线性刚度性质,可能会发生非常复杂的非线性行为,例如分叉和混沌[10-11]。而且,在低刚度的情况下,准零刚度隔振器负载能力低,隔振应用场合受到极大限制。Dai等[12]提出了二自由度新型仿生抗冲击结构,并详尽分析了被动隔振时仿生抗冲击结构的参数对隔振性能的影响,研究表明仿生抗冲击结构具有更好的隔振效果,但无法消除被动隔振存在的速度漂移问题。对于多自由度的隔振平台研究,主要围绕并联隔振平台的研究展开,其中主要包括Stewart平台。王超新等[13]对下平台固定的Stewart隔振平台进行了星载微振动的主动隔振性能分析,但未考虑下平台的运动情况。Wu等[14]研究了下平台固定的Stewart隔振平台的被动隔振性能,但未考虑主动隔振以及隔振器的安装限制。
综上所述,当前的隔振平台研究存在2个核心问题:①虽然基于仿生结构的隔振系统具有优良的抗冲击性能,但是当前的研究仍然以二自由度模型为主,只能处理轴向冲击载荷;②空间目标抓捕过程中,由于目标体对服务平台施加的初始冲量,导致抓捕后组合体处于漂移状态,不利于轨道的保持。针对上述问题,本文提出了“仿生隔振单元+Stewart平台”的新型隔振系统,在保证高效抗冲击性能的前提下实现了非轴向抗冲击功能。此外,采用了反馈线性化主动控制,通过对服务航天器平台施加作用力,实现组合体航天器姿态的主被动耦合控制。
1 隔振平台的动力学建模
1.1 问题描述
为了满足空间非合作目标柔顺抓捕的隔振需求,设计了基于仿生抗冲击结构的Stewart隔振平台。隔振平台安装在服务航天器和非合作目标之间,在抓捕非合作目标的过程中非合作目标会带来碰撞,造成与非合作目标直接接触的隔振平台上平台的运动,此时隔振平台开始工作,通过隔振作用降低传递给与隔振平台下平台固连的服务航天器的冲击力,降低抓捕过程中对服务航天器组件的冲击。传统Stewart隔振平台[15]具有高结构刚度、高精度、高承载等特点,能实现多自由度隔振;但是,由于高刚度特性,导致其对冲击载荷的隔振效果不佳,无法满足非合作目标抓捕的任务需求。因此,本文采用仿生抗冲击隔振单元与传统Stewart平台进行耦合设计,从而实现柔顺抓捕目标。作为仿生抗冲击Stewart隔振平台的隔振器,仿生抗冲击结构由连杆、线性阻尼元件、线性弹簧组成。利用自身的结构性质,由结构非线性性质产生隔振器的非线性刚度和非线性阻尼,其结构参数包括连杆杆长、连杆之间的安装夹角、连杆之间的阻尼因数及连接连杆的线性弹簧的刚度系数,可以根据不同的隔振需求进行结构参数调整。
图 1表示Stewart隔振平台构型, 考虑初始时刻两平台都在中性位置, 6个隔振器与上下平台通过6个球铰连接, 上下平台铰点绕体轴旋转对称分布, 对于传统Stewart隔振平台其隔振器为线性阻尼弹簧隔振器, 而仿生抗冲击Stewart隔振平台隔振器为仿生抗冲击结构。定义上平台代表非合作目标,质量为ma, 下平台代表服务航天器,质量为mb。
定义参考坐标系OgXgYgZg, 在上平台质心建立体坐标系OaXaYaZa, 在下平台质心建立体坐标系ObXbYbZb, 初始时刻下平台体坐标系ObXbYbZb与参考坐标系OgXgYgZg重合。图 2表示了上下平台的位置关系, 铰点a1与铰点a2关于坐标轴OaXa对称, 二者之间的夹角为2α, Oaa1与坐标轴OaXa之间的夹角为α1; 铰点b1与铰点b2关于坐标轴ObXb对称, 二者之间的夹角为2β; Obb1与坐标轴ObXb之间的夹角为β1。
在体坐标系OaXaYaZa中, 上平台质心的位置矢量rao, 质心到第i个铰点的位置矢量ai为
(1)
在体坐标系ObXbYbZb中, 下平台质心的位置矢量rbo, 质心到第i个铰点的位置矢量bi为
(2)
经坐标转换,可得位置矢量ai, bi到参考坐标系中的表示为
(3)
式中: Ra, Rb分别表示体坐标系OaXaYaZa, ObXbYbZb到参考坐标系OgXgYgZg的转换矩阵; Ra, Rb的表达式为
(4)
式中, (αa, βa, γa)和(αb, βb, γb)分别表示上下平台体坐标系和参考坐标系各轴的夹角。
图 3表示了第i个支腿Li的位置关系, 可得其表达式为
(5)
可得支腿Li的长度为
(6)
在支腿Li处安装仿生抗冲击结构, 通过球铰副和上下平台连接。图 4a)为仿生抗冲击结构简图, 仿生抗冲击结构的层数为n, 连杆的杆长为l, 两杆间夹角为θi, 杆与杆之间的摩擦阻尼因数为c, 线性弹簧的刚度系数为k, 连杆之间通过铰链进行连接。假设由于冲击造成其长度缩短, 图 4b)表示了单层结构的形状变化。
运动后单层结构的形状变化为
(7)
式中: li为第i个仿生抗冲击结构发生形变后单层结构在支腿Li方向的长度; si为第i个仿生抗冲击结构发生形变后单层结构在垂直支腿Li方向的长度; Δsi为第i个仿生抗冲击结构发生形变后单层结构在垂直支腿Li方向上的长度变化; θ0为第i个仿生抗冲击结构连杆的初始安装角度。
单层机构连杆之间的角度变化为
(8)
![]() |
图 1 仿生抗冲击Stewart隔振平台模型示意图 |
![]() |
图 2 上下平台的位置关系 |
![]() |
图 3 支腿Li的位置关系 |
![]() |
图 4 仿生抗冲击结构的结构关系 |
1.2 隔振平台的拉格朗日动力学建模
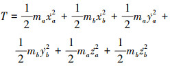
仿生抗冲击结构杆的质量比上平台ma和下平台mb轻得多, 忽略其质量可得系统的动能表达式
(9)
系统的势能表达式
(10)
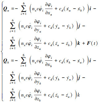
摩擦因数cd表示上下平台与外界的动摩擦因数, 系统非势力的广义力为

式中: i, j, k代表OgXg, OgYg, OgZg的方向矢量; nx为仿生抗冲击结构中连杆间铰链的数量, 其表达式为
(11)
系统的非势力虚功为
(12)
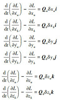
系统的拉格朗日方程[12]为
(13)
其中动势为
(14)
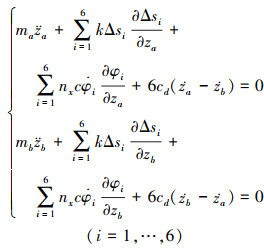
在研究隔振平台某一方向的隔振性能时, 假设其他方向变量为0, 对受碰撞时, 隔振平台Z方向的隔振性能进行研究; 隔振平台的动力学微分方程为
(15)
2 理论模型验证
为了验证理论建模的准确性, 本节将理论仿真结果和ADAMS仿真结果进行对比。
表 1显示了ADAMS参数设置, 图 5所示为基于仿生抗冲击结构的Stewart隔振平台的ADAMS模型。
服务航天器在抓捕非合作目标时会发生碰撞, 为了模拟隔振平台受瞬时冲击力作用的动力学响应, 将碰撞产生的冲量转化为非合作目标的动量, 假设非合作目标ma初始速度为0.2 m/s, 方向沿OaZa方向。
图 6为基于仿生抗冲击结构的Stewart隔振平台的理论仿真结果和ADAMS仿真结果的对比。图 6a)和6b)分别表示了ma和mb的速度对比, 由图可知, ADAMS仿真结果和理论仿真结果的速度变化趋势相同, 稳态值相同。对比曲线可以发现, 在速度变化曲线的极值点附近有小范围波动, 对于ma在理论仿真中的速度最小值为-3.378×10-2 m/s, 在ADAMS仿真中的速度最小值为-3.481×10-2 m/s, 二者误差为3.05%;对于mb在理论仿真中的速度最大值为3.913×10-3 m/s, 在ADAMS仿真中的速度最大值为3.896×10-3 m/s, 误差为0.44%。误差范围都在3.05%以内, 理论建模具有较高的准确性和可信度,因此验证了基于仿生抗冲击结构的Stewart隔振平台的理论建模正确性。由速度仿真结果可知, 抓捕后的组合体最终将以3.3×10-3 m/s的速度进行漂移。由于ma, mb的速度终值不为0, 导致抓捕后的组合体偏离工作轨道, 需要进行主动隔振控制, 将在第5节进行研究。
基于仿生抗冲击结构的Stewart隔振平台仿真参数
![]() |
图 5 基于仿生抗冲击结构的Stewart隔振平台的ADAMS模型 |
![]() |
图 6 ADAMS仿真结果和理论仿真结果对比 |
3 隔振平台被动隔振性能研究
为了显示受碰撞时基于仿生抗冲击结构的Stewart隔振平台的隔振性能优势, 与传统Stewart隔振平台进行仿真对比, 二者的初始仿真参数一致。图 7a)和b)表示了ma和mb的加速度对比, 可以看到本文提出的隔振平台加速度在1.5 s左右衰减到0;传统Stewart隔振平台的加速度振荡幅值几乎是本文提出的隔振平台的2倍, 冲击作用更大, 一直处于振荡变化且衰减慢。因此传统Stewart隔振平台不利于对服务航天器和非合作目标进行隔振,而基于仿生抗冲击结构的Stewart隔振平台加速度衰减快, 振荡时间短, 振荡幅值小, 有利于服务航天器的正常工作。
![]() |
图 7 2种Stewart隔振平台仿真对比 |
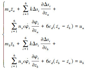
4 隔振平台参数对隔振性能的影响
上下平台半径以及上下平台铰点位置是隔振平台的重要参数, 直接影响了隔振平台的构型以及隔振器的安装。在本节研究了参数变化对隔振性能的影响, 为了方便叙述在本节中最大加速度代表绝对值最大的加速度, 考虑下平台代表服务航天器, 因此本节主要关注参数变化对下平台的振幅、速度以及加速度的影响; 为了进行位移振动对比, 在本节中位移变化曲线消除漂移运动。
4.1 上下平台半径的影响
上下平台半径变化对隔振性能的影响如图 8和图 9所示。由图 8可知,增加ra会增加振幅, 减缓速度的衰减, 减小加速度最值。增加ra对速度影响不大, 却能明显增大加速度不利于隔振, 对于mb, ra=0.5 m的最大加速度是ra=0.3 m的67%, 但二者的速度响应却区别不大; 因此, 采用较大的ra有利于减小加速度。
由图 9可知,增加rb会减小振幅, 加快速度的衰减, 加速度会增加。对于mb, rb=0.4 m的最大加速度约为ra=0.2 m时的2倍, 减小rb有利于降低对服务航天器组件的冲击; 因此, 可以选择较小的下平台半径rb。
![]() |
图 8 不同ra的仿真结果 |
![]() |
图 9 不同rb的仿真结果 |
4.2 上下平台铰点之间夹角的影响
上下平台铰点之间夹角变化对隔振性能的影响如图 10和11所示。图 10显示随着上平台铰点夹角α的增加会增加振幅, 速度衰减变慢, 加速度得到抑制。对于mb, α=45°时最大加速度是4.823×10-2 m/s2, α=55°时最大加速度为2.61×10-2 m/s2仅为α=45°时加速度的54.1%;因此, 增加α有利于减小加速度。
图 11显示随着下平台铰点夹角β的增加会减小振幅, 加快速度的衰减, 加速度会增大。随着β的增大, 下平台加速度初值明显增加, 意味着下平台将承受更大的冲击力。对于mb, β=5°时最大加速度是2.61×10-2 m/s2; β=15°时最大加速度为4.823×10-2 m/s2, 相对于β=5°时的加速度大约增加了84.5%。因此, 减小下平台铰点夹角β有利于减小加速度。与图 10的仿真结果对比可以发现, 增加相同的角度, β的增加导致mb加速度的增加量和α增加导致mb加速度的减小量相同。
![]() |
图 10 不同α的仿真结果 |
![]() |
图 11 不同β的仿真结果 |
5 隔振平台的主动隔振控制
对于非合作目标和服务航天器这一系统来说, 系统动量守恒, 由第2节的仿真结果可知ma, mb将以3.3×10-3 m/s的速度漂移, 导致服务航天器偏离预定工作轨道, 不利于抓捕后服务航天器的工作。为了克服被动隔振的不足, 有必要采用主动隔振控制消除速度漂移, 将抓捕后的组合体保持在期望位置。将采用反馈线性化的控制方法, 通过ADAMS和MATLAB联合仿真对控制方法进行验证。
5.1 控制器设计
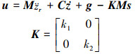
对于基于仿生抗冲击结构的Stewart隔振平台这一多输入多输出控制系统, 采用反馈线性化方法对系统进行控制, 系统的期望轨迹为zad(t), zbd(t)。
动力学控制方程如下
(16)
可以写成如下形式
(17)
式中

定义组合误差为
(18)
式中, λ1, λ2为正常数。
设控制输入为
(19)
式中: K代表增益矩阵; k1, k2为控制增益系数。
可得闭环系统为
(20)
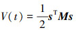
设计半正定李雅普诺夫函数[16]为
(21)
对(21)式求导可得
(22)
所以组合误差s有界, 因M正定且有界, 由闭环系统(20)式可得
有界, 对(22)式求导可得
(23)
有界, 由Barbalat引理[16]可知

在该控制规律下系统稳定k1=2。
5.2 主被动隔振性能对比
图 12所示为ADAMS和MATLAB联合仿真控制框图, 控制器的参数为k1=2, k2=2, λ1=2, λ2=2, 设期望轨迹为zad(t)=0, zbd(t)=0。
图 13显示了被动隔振和主动隔振控制的ma, mb仿真对比曲线。图 13a)所示为ma的主被动隔振速度对比曲线。可以看到被动隔振中ma的速度最小值的绝对值为3.38×10-2 m/s, 速度变化在1.5 s左右收敛到稳态值大小为3.3×10-3 m/s, 主动隔振中ma的速度最小值的绝对值为3.13×10-2 m/s,小于被动隔振速度最小值的绝对值, 速度变化在0.8 s左右收敛到0。图 13 b)为mb的主被动隔振速度对比曲线, 可以看到被动隔振中mb的速度最大值为3.9×10-3 m/s, 速度变化在1.5 s左右收敛到稳态速度大小为3.3×10-3 m/s, 主动隔振中mb的速度最大值为9.1×10-5 m/s不到被动隔振速度最大值的1%, 速度变化在0.5 s左右收敛到0。由速度对比可知, 主动隔振中隔振平台消除了速度漂移, 速度响应更快, 幅值更低, 特别是mb的速度远小于被动隔振时的速度, 避免对服务航天器mb的组件造成冲击。图 13c)所示为主被动隔振ma的位移变化曲线, 对于主动隔振可以看到在0.8 s左右, ma的位移达到期望轨迹, 相较于被动隔振ma的偏离中性位置的距离更小, 最大偏移量约为被动隔振的64%。图 13d)所示为主被动隔振mb的位移变化曲线, 对于主动隔振可以看到在0.8 s左右, mb的位移达到期望轨迹, 且mb最大的位移值为2.07×10-5 m, 振动影响很小。在主动隔振中, 消除了被动隔振组合体存在的速度漂移, 抓捕后的组合体将在期望的轨道上继续运动, 提升了隔振性能。
![]() |
图 12 ADAMS和MATLAB联合仿真控制框图 |
![]() |
图 13 主动隔振和被动隔振仿真对比 |
6 结论
针对空间非合作目标抓捕过程的碰撞问题, 提出了仿生抗冲击隔振研究方法, 设计了基于仿生抗冲击结构的Stewart隔振平台, 理论仿真和ADAMS仿真对比验证了理论建模的正确性。被动隔振性能分析表明, 本文提出的隔振平台比传统Stewart隔振平台速度衰减更快, 速度振荡幅度更小, 振荡次数更少, 具有优良的隔振性能。隔振平台参数对隔振性能影响的研究表明采用较大上平台半径的ra, 较小下平台半径的rb以及较大的上平台铰点夹角α, 较小的下平台铰点夹角β有利于提升隔振性能。采用反馈线性化控制方法对隔振平台进行了主动控制, 有效消除了组合体漂移问题。在主动控制作用下隔振平台在0.8 s左右达到期望位置, 消除了被动隔振的速度漂移, 特别是服务航天器mb的位移变化为2.07×10-5 m远小于被动隔振的位移变化, 有利于服务航天器的正常工作。本文提出的非合作目标抓捕后仿生抗冲击隔振平台及隔振方法, 在空间非合作目标柔顺抓捕任务中具有潜在应用价值。
References
- Mark C P, Kamath S. Review of active space debris removal methods[J]. Space Policy, 2019, 47: 194–206 [Article] [Google Scholar]
- Sun Chong, Wan Wenya, Cui Yao, et al. Optimal caging configuration design for flat non-cooperative target capture based on multi-fingered mechanism[J]. Chinese Space Science and Technology, 2019, 39(6): 8–20 [Article] (in Chinese) [Google Scholar]
- Dou Bo, Yue Xiaokui. Contact dynamics analysis and control of space capture considering friction[J]. Chinese Space Science and Technology, 2018, 38(1): 54–62 [Article] (in Chinese) [Google Scholar]
- Luo J J, Wei C S, Dai H H, et al. Robust inertia-free attitude takeover control of post-capture combined spacecraft with guaranteed prescribed performance[J]. ISA Transactions, 2018, 74: 28–44 [Article] [Google Scholar]
- Park W H. Mass-spring-damper response to repetitive impact[J]. Journal of Engineering for Industry, 1967, 89(4): 587–596 [Article] [Google Scholar]
- Carrella A, Brennan M J, Waters T P. Static analysis of a passive vibration isolator with quasi-zero-stiffness characteristic[J]. Journal of Sound & Vibration, 2007, 301(3/4/5): 678–689 [Article] [Google Scholar]
- Carrella A, Brennan M J, Kovacic I, et al. On the force transmissibility of a vibration isolator with quasi-zero-stiffness[J]. Journal of Sound & Vibration, 2009, 322(4/5): 707–717 [Article] [Google Scholar]
- Zheng Y S, Zhang X N, Luo Y J, et al. Analytical study of a quasi-zero stiffness coupling using a torsion magnetic spring with negative stiffness[J]. Mechanical Systems and Signal Processing, 2018, 100: 135–151 [Article] [Google Scholar]
- Zheng Y S, Zhang X N, Luo Y J, et al. Design and experiment of a high-static-low-dynamic stiffness isolator using a negative stiffness magnetic spring[J]. Journal of Sound and Vibration, 2016, 360: 31–52 [Article] [Google Scholar]
- Cao Q J, Han Y W, Liang T W, et al. Multiple buckling and codimension-three bifurcation phenomena of a nonlinear oscillator[J]. International Journal of Bifurcation and Chaos, 2014, 24(1): 1430005 [Article] [Google Scholar]
- Dai H H, Wang X C, Schnoor M, et al. Analysis of internal resonance in a two-degree-of-freedom nonlinear dynamical system[J]. Communications in Nonlinear Science and Numerical Simulation, 2017, 49: 176–191 [Article] [Google Scholar]
- Dai H H Jing X J Wang Y, et al. Post-capture vibration suppression of spacecraft via a bio-inspired isolation system[J]. Mechanical Systems and Signal Processing, 2018, 105: 214–240 [Article] [Google Scholar]
- Wang Chaoxin, Liu Xingtian, Zhang Zhiyi. Micro-vibration active control for a Stewart platform with a cubic configuration[J]. Journal of Vibration and Shock, 2017, 36(5): 208–213 [Article] (in Chinese) [Google Scholar]
- Wu Z, Jing X J, Sun B, et al. A 6 DOF passive vibration isolator using x-shape supporting structures[J]. Journal of Sound and Vibration, 2016, 380: 90–111 [Article] [Google Scholar]
- Yang Xiaolong. Research on kinematics, dynamics and active vibration control of six-DOF parallel robots[D]. Nanjing: Nanjing University of Aeronautics and Astronautics, 2018 (in Chinese) [Google Scholar]
- Yin X X, Pan L. Direct adaptive robust tracking control for 6 DOF industrial robot with enhanced accuracy[J]. ISA Transactions, 2017, 72: 178–184 [Article] [Google Scholar]
All Tables
All Figures
![]() |
图 1 仿生抗冲击Stewart隔振平台模型示意图 |
| In the text | |
![]() |
图 2 上下平台的位置关系 |
| In the text | |
![]() |
图 3 支腿Li的位置关系 |
| In the text | |
![]() |
图 4 仿生抗冲击结构的结构关系 |
| In the text | |
![]() |
图 5 基于仿生抗冲击结构的Stewart隔振平台的ADAMS模型 |
| In the text | |
![]() |
图 6 ADAMS仿真结果和理论仿真结果对比 |
| In the text | |
![]() |
图 7 2种Stewart隔振平台仿真对比 |
| In the text | |
![]() |
图 8 不同ra的仿真结果 |
| In the text | |
![]() |
图 9 不同rb的仿真结果 |
| In the text | |
![]() |
图 10 不同α的仿真结果 |
| In the text | |
![]() |
图 11 不同β的仿真结果 |
| In the text | |
![]() |
图 12 ADAMS和MATLAB联合仿真控制框图 |
| In the text | |
![]() |
图 13 主动隔振和被动隔振仿真对比 |
| In the text | |
Current usage metrics show cumulative count of Article Views (full-text article views including HTML views, PDF and ePub downloads, according to the available data) and Abstracts Views on Vision4Press platform.
Data correspond to usage on the plateform after 2015. The current usage metrics is available 48-96 hours after online publication and is updated daily on week days.
Initial download of the metrics may take a while.













