| Issue |
JNWPU
Volume 41, Number 3, June 2023
|
|
|---|---|---|
| Page(s) | 455 - 463 | |
| DOI | https://doi.org/10.1051/jnwpu/20234130455 | |
| Published online | 01 August 2023 | |
Effect of bolt tightening torque on fatigue life of multi-bolted composite structure
螺栓拧紧力矩对复合材料多钉连接结构疲劳寿命的影响
1
School of Aeronautics, Northwestern Polytechnical University, Xi'an 710072, China
2
Institute of Aircraft Composite Structures, Northwestern Polytechnical University, Xi'an 710072, China
3
Aerospace Research Institute of Materials and Processing Technology, China Academy of Launch Vehicle Technology, Beijing 100076, China
Received:
28
July
2022
Abstract
Bolt tightening torque has an influence on the fatigue life of the multi-bolted joints which cannot be ignored, but there are few methods to predict the fatigue life of the multi-bolted composite structure by considering the bolt tightening torque. A fatigue life prediction method of the multi-bolted composite structure by considering the bolt tightening torque is proposed. It can take into account the various damages of bolts and laminates and accurately calculate fatigue life and damage evolution of multi-bolted composite structure. The multi-bolted composite structure being composed of T300/BMP-316 composite laminates and TC4 titanium alloy bolts is used to verify the present method. The logarithmic error between the predicted fatigue life and the experimental is 4.36%, and the failure mode is consistent with the experimental. Through the present method, the influence of the bolt tightening torque is explored, in which it is found that with the increasing of bolt tightening torque, the fatigue life increases firstly and decreases, and there is an optimal tightening torque. By observing the damage evolution diagram, it is found that when the tightening torque is below the optimal tightening torque, the damage propagation cannot be effectively restrained, which will lead to the reduction of fatigue life. On the contrary, when the tightening torque is more than the optimal tightening torque, it will cause the initial damage to the test piece, which will also lead to the reduction of fatigue life. In engineering, to choose the best tightening torque of the structure for assembly can effectively improve the fatigue life of the structure.
摘要
螺栓拧紧力矩对多钉连接结构疲劳寿命的影响不可忽视, 但考虑螺栓拧紧力矩的复合材料多钉连接结构疲劳寿命预测方法却很少, 提出一种复合材料多钉连接结构疲劳寿命预测方法, 综合考虑螺栓与层合板的各种损伤情况, 可以准确预测复合材料多钉连接结构的疲劳寿命以及损伤演化情况。采用T300/BMP-316复合材料层合板与TC4钛合金螺栓组成的复合材料多钉连接结构对所提方法进行了验证, 疲劳寿命预测结果与试验值对数误差为4.36%, 且破坏模式与试验结果吻合。通过对螺栓拧紧力矩的影响规律进行探究, 发现随着螺栓拧紧力矩的增加, 疲劳寿命先增加后减小, 存在最佳拧紧力矩。从损伤演化云图中发现当拧紧力矩小于最佳拧紧力矩时, 损伤扩展不能得到有效抑制, 会导致疲劳寿命降低; 反之当拧紧力矩大于最佳拧紧力矩时, 试验件会形成初始损伤, 导致疲劳寿命降低。在工程应用中, 选择结构的最佳拧紧力矩进行装配, 可以有效提高结构疲劳寿命。
Key words: composite / multi-bolted structure / fatigue damage simulation / fatigue life prediction / tightening torque
关键字 : 复合材料 / 多钉连接结构 / 疲劳损伤模拟 / 疲劳寿命预测 / 拧紧力矩
© 2023 Journal of Northwestern Polytechnical University. All rights reserved.
This is an Open Access article distributed under the terms of the Creative Commons Attribution License (https://creativecommons.org/licenses/by/4.0), which permits unrestricted use, distribution, and reproduction in any medium, provided the original work is properly cited.
复合材料因具有比强度高、比模量高及可设计性等特点,已在越来越多的航空结构中被大量采用,复合材料用量的多少及应用部位已成为衡量飞机先进性的重要标志之一。复合材料机械连接结构设计是复合材料结构设计的一个重要环节,同时也是复合材料应用于主承力构件必须考虑的重要因素。已有研究表明,结构破坏六至八成发生在连接处[1],而机械连接结构发生破坏时最常见的失效形式是连接接头的疲劳破坏[2]。特别是对于复合材料层合多钉连接结构,开孔处的纤维被截断,传力路径会发生改变,导致孔边应力高度集中。因此复合材料多钉连接结构的疲劳问题一直是国内外学者研究的热点之一。
复合材料多钉连接结构的疲劳寿命受层合板铺层方式、几何尺寸、螺栓类型、拧紧力矩、连接形式以及载荷、环境等多方面因素的影响,目前有很多学者开展了相关研究,但针对螺栓拧紧力矩的研究相对较少[3-9]。在众多影响连接结构疲劳寿命的因素中,螺栓拧紧力矩对多钉连接疲劳寿命的影响是不可忽视的,故通过研究螺栓拧紧力矩对疲劳寿命的影响规律,更为准确地预测结构的疲劳寿命,可为航空复合材料螺栓连接结构的设计与装配工艺提供技术支持。对于螺栓拧紧力矩这一影响因素,国内外学者已经进行了相关研究。Yan等[10]通过试验研究了拧紧力矩对层合板接头静强度的影响,提出较高的拧紧力矩会降低接头的抗拉强度,而此时层合板容易发生纤维基体的分裂和分层。刘旭波[11]就双剪结构进行了试验探究,结果表明当连接形式与螺栓形式一致时,随着拧紧力矩的增大,连接强度逐渐增大,但存在一个极值,超过极值后,随着拧紧力矩的增大,连接强度不升反降。张岐良等[12]也做过相似研究,认为存在最优拧紧力矩,使得接头具有最高的挤压强度。Ioannis等[13]针对单钉连接进行试验,发现拧紧力矩的增加显著提高了接头的疲劳寿命。但目前的研究多数限于拧紧力矩对静强度的影响,或对单钉连接疲劳性能的影响,故本文尝试对螺栓拧紧力矩作用下复合材料多钉连接结构的疲劳寿命进行评估。
针对考虑螺栓拧紧力矩的复合材料多钉连接结构疲劳寿命预测问题,本文将张峻瑞等[14]提出的基于损伤权重的复合材料多钉连接结构疲劳寿命预测方法进行改进,提出一种考虑螺栓拧紧力矩的多钉连接结构疲劳寿命的预测方法,并对螺栓拧紧力矩对疲劳寿命的影响规律进行探究,揭示了其损伤演化行为及机理。
1 多钉连接结构疲劳寿命预测方法
复合材料多钉连接结构通常由复合材料层合板与金属螺栓构成。张峻瑞等[14]前期提出了一种多钉连接结构疲劳寿命预测方法,该方法结合螺栓与复合材料层合板不同的损伤累积速率估算其各自的权重,提出了以螺栓分布情况和复合材料层合板铺层数量为参数的经验公式,实现了基于损伤权重的复合材料多钉连接结构疲劳寿命预测。但该方法并未考虑螺栓或复合材料层合板的疲劳寿命为无限时的情况,因此本文对该方法进行改进,使其更具备普适性。
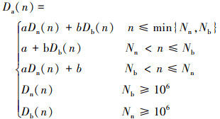
通常认为, 当航空结构加载次数超过106次循环时, 结构仍未发生破坏, 即可在一定程度上认为该结构在当前载荷工况下寿命是无限的。当螺栓疲劳寿命为无限时, 其损伤量Dn=n/Nn=0, 螺栓损伤不会积累, 其损伤权重a=0, 复合材料层合板损伤权重b=1;同理, 当复合材料层合板疲劳寿命为无限时, 其损伤量Db=n/Nb=0, 损伤权重b=0, 螺栓的损伤权重a=1。基于此, 本文提出了一种复合材料多钉连接结构疲劳寿命预测方法, 如(1)式所示
(1)
(2)
(3)
式中:Da代表结构整体损伤, 随着加载次数n的变化而变化, 当Da达到1时认为结构整体失效破坏, 此时的n值即为预测的结构无损寿命;Dn, Db分别代表螺栓损伤和复合材料层合板的损伤, 其值来源于Miner理论, 即Dn=n/Nn和Db=n/Nb。其中Nn, Nb为螺栓和复合材料层合板的无损寿命, 其值可以通过数值模拟获得;a和b为损伤权重值, 由螺栓分布情况以及复合材料层合板铺层数量得出。其中f为复合材料层合板的铺层数, q为螺栓的列数, t为螺栓的排数, 其取值均为正整数。
上述的总体损伤量计算方法综合考虑了结构整体寿命小于螺栓与复合材料层合板的疲劳寿命、结构整体寿命介于螺栓与复合材料层合板的疲劳寿命之间以及螺栓或复合材料层合板的疲劳寿命为无限等情况, 当总体损伤量到达1时的n即为结构疲劳寿命。该方法可以用来预测含有螺栓拧紧力矩的复合材料多钉连接结构的疲劳寿命以及损伤演化情况。
2 螺栓拧紧力矩下复合材料多钉连接结构疲劳寿命预测及验证
为了保证本文提出的疲劳寿命预测方法的准确性与通用性, 选用文献[15]中8 N·m螺栓拧紧力矩下复合材料多钉连接结构的拉-拉疲劳试验结果验证本模型。其层合板为T300/BMP-316碳纤维增强树脂基复合材料, 材料参数如表 1所示。
单层厚度为0.125 mm, 铺层形式为[45/-45/0/45/-45/45/0/-45/90/45/-45/-45/90/45/0]s, 长宽尺寸为160 mm×60 mm, 厚3.75 mm, 螺栓材料为TC4钛合金, 直径为6 mm, 呈一排三列布置(以试件受载方向为列, 垂直于受载方向为排), 其中端距为18 mm, 边距为10 mm, 间距为20 mm, 层合板的尺寸示意图如图 1,图 2为试验件的结构示意图。
表 1中, E1t, E1c分别为纵向拉伸和压缩弹性模量; E2t, E2c分别为横向拉伸和压缩弹性模量; G12, G23分别为面内剪切模量与面外剪切模量; v12为泊松比; Xt, Xc分别为纵向拉伸和压缩强度; Yt, Yc分别为横向拉伸和压缩强度; S12为剪切强度。
复合材料疲劳渐进损伤分析计算的流程大致可概括为以下4点[16]: 应力分析、材料失效判断、性能退化、结构失效判断。本文基于以上流程开发了一套可嵌入ABAQUS有限元软件的UMAT子程序来进行疲劳过程中的渐进损伤分析。有限元模拟流程如图 3所示。其中材料失效判断方法采用Papanikos改进的三维Hashin准则[17], 材料性能突降方法采用直接退化法, 材料性能退化方法采用剩余强度-剩余刚度联合退化模型[18], 单向板的剩余强度与剩余刚度演化率与文献[15]中相同。
同时, 本文定义结构整体失效判据如表 2所示, 表中任意一种情况发生, 则判定结构失效。对于拉劈破坏形式, 由于其不是多钉连接结构的主要破坏形式, 在本文中不予考虑。
为提高计算效率, 采用可变步长的方式增加循环次数, 当循环次数介于0~5 000时, 每个模拟循环代表500次试验循环; 当循环次数介于5 000~15 000时, 每个模拟循环代表1 000次试验循环; 当循环次数介于15 000~35 000时, 每个模拟循环代表2 000次试验循环。
采用三维实体模型, 根据材料厚度, 对每一层进行划分, 各部件之间设置通用接触, 共3对。模型整体采用C3D8R三维实体单元, 共划分60 960个网格, 因为孔边区域应力分布较为复杂, 是疲劳仿真分析中着重关注的区域, 故对孔边网格进行细分, 网格划分如图 4所示。
对照文献[15]中的疲劳试验, 对复合材料连接结构施加8 N·m的螺栓拧紧力矩, 并施加应力水平为85%σU的疲劳载荷, 即使用结构破坏强度(σU)的85%作为均值应力。模拟时采用正弦波形加载, 频率为10 Hz, 应力比R为0.1。复合材料连接结构的疲劳寿命综合螺栓寿命与层合板寿命得到, 层合板的疲劳寿命可通过有限元模拟计算得出, 此时螺栓寿命可由S-N曲线法计算得出。
为了准确得出层合板的疲劳寿命, 将螺栓两端固支且不设置螺栓的破坏载荷。由于在试验过程中, 受载形式为单向拉-拉载荷, 为保证均匀加载, 将拉伸载荷转换为端面的均布拉伸载荷, 同时考虑夹具的作用, 为了避免偏轴加载, 在夹持端区域设置边界条件, 使结构只能沿加载方向平动。
由图 5试验件的静力试验结果[15]可以看出: 该试验件主要发生拉伸破坏, 而对于拉伸来说, 0°铺层起主要承力作用, 因此认为当层合板接头中0°层发生拉伸破坏时, 可以判定试验件发生断裂失效。因此, 本节在模拟时主要以0°层的纤维损伤状况来判断试验件是否失效, 即当0°层纤维损伤演化至试验件边缘且各钉孔边损伤连通时, 试验件发生破坏。
施加拧紧力矩的本质是对试验件孔边进行法向约束, 将拧紧力矩施加在盖板, 盖板通过压强的形式将载荷传递给接头。故参考文献[19]中方法将连接螺栓拧紧力矩等效为均布载荷, 并将其施加在层合板与上下金属盖板相互接触的面上, 如图 6所示。均布载荷p的计算方法见(4)式
(4)
式中:T为螺栓拧紧力矩(N·m); d为螺栓直径; A为层合板接头与单个盖板相互接触的面积; k为拧紧力矩系数, 一般取0.2。
图 7为复合材料多钉连接结构螺栓拧紧力矩为8 N·m及85%应力水平下的损伤演化情况。由图可以明显看到在未加载时钉孔边已经出现少量损伤, 随着循环次数的增加, 损伤开始从钉孔边进行扩展, 并发生交联, 在循环次数达到19 000次时, 0°层纤维损伤垂直于载荷方向扩展至层合板两边且所有钉孔边的损伤相互连通, 可判断此时层合板发生拉伸破坏, 层合板的疲劳寿命为19 000次。
此时的螺栓寿命由S-N曲线法计算得出, 文献[20]给出了TC4合金在室温下轴向加载的疲劳应力-寿命曲线, 通过该曲线可以计算出螺栓的疲劳寿命, 其等效应力寿命表达式为
(5)
(6)
式中: N为某应力水平作用下破坏对应循环数; σeq为等效应力; σmax为交变应力最大值; R为应力比。
为获得螺栓局部轴向应力, 选用结构受最大压缩载荷作用下, 螺栓的最大主应力值作为寿命计算中的σmax, 读取对应节点在结构受到峰、谷值载荷作用下的最大主应力。
将85%应力水平下螺栓最大主应力代入, 计算表明, 螺栓在当前工况下的疲劳寿命是无限的, 此时连接结构的整体损伤量为层合板损伤量, 即Da(n)=Db(n)。当Da(n)=1时, 可以求得n值为19 000, 故该多钉连接结构的预测寿命为19 000次循环。表 3将预测结果与文献[15]中的疲劳试验结果进行了对比。
通过上述仿真分析可知, 此时连接结构的疲劳寿命即为层合板的疲劳寿命, 图 8将破坏时层合板的0°层纤维损伤与试验件的破坏形貌进行对比, 发现结果较吻合, 均为钉孔周围纤维拉伸失效。
结果表明, 本文复合材料多钉连接结构疲劳寿命预测结果与试验结果的对数误差为4.36%, 且破坏形貌与试验结果吻合, 充分说明本文提出考虑无限寿命的复合材料多钉连接结构疲劳寿命预测方法的准确性与合理性, 同时也证明该方法能准确预测螺栓拧紧力矩作用下多钉连接结构的疲劳问题。
T300/BMP-316复合材料性能参数
![]() |
图1 T300/BMP-316层合板尺寸示意图(单位: mm) |
![]() |
图2 复合材料多钉连接结构示意图 |
![]() |
图3 有限元模拟流程图 |
结构整体失效判据
![]() |
图4 网格划分示意图 |
![]() |
图6 螺栓拧紧力矩施加方法 |
![]() |
图7 拧紧力矩为8 N·m, 85%应力水平下0°层的纤维损伤演化 |
疲劳预测寿命与试验结果对比
![]() |
图8 拧紧力矩为8 N·m, 85%应力水平下的破坏形貌对比 |
3 螺栓拧紧力矩对多钉连接结构疲劳寿命的影响规律
为探究出螺栓拧紧力矩对连接结构疲劳寿命的影响规律, 进而提出航空结构抗疲劳设计方法, 本文利用所提出的疲劳寿命预测方法进行不同螺栓拧紧力矩下的复合材料多钉连接结构疲劳寿命数值模拟研究。
刘旭波[11]通过试验研究了螺栓拧紧力矩对复合材料层合板连接强度的影响规律, 提出在双剪情况下, 随着螺栓拧紧力矩的增大, 连接强度增大, 而当螺栓拧紧力矩超过8 N·m时, 随着螺栓拧紧力矩的增加, 连接强度开始减小。由于连接结构的疲劳寿命极大程度上取决于其内部的应力水平, 而连接强度又直接决定着连接结构内部的应力大小, 故连接强度的大小一定程度上决定着连接结构的疲劳寿命。
为更好地研究螺栓拧紧力矩对连接结构疲劳寿命的影响, 参考螺栓拧紧力矩对连接强度影响规律研究, 本文在8 N·m前后各取2种螺栓拧紧力矩水平, 分别对多钉连接结构在0, 4, 8, 12, 16 N·m螺栓拧紧力矩下的疲劳寿命进行仿真分析, 寿命预测结果如图 9所示。
从图 9可以看出: 试验件疲劳寿命随着螺栓拧紧力矩的增加, 呈现出先增后减的趋势, 即存在一个最佳拧紧力矩使复合材料多钉连接结构的疲劳寿命最大。针对本文所述复合材料多钉连接结构, 当螺栓拧紧力矩在0~8 N·m时, 随着拧紧力矩的增大, 试验件疲劳寿命呈增加趋势, 最高可提升为无拧紧力矩疲劳寿命的1.72倍; 但是在8 N·m之后, 随着拧紧力矩的增加, 疲劳寿命呈现下降的趋势, 在拧紧力矩为12 N·m时, 疲劳寿命已下降至与无拧紧力矩状态下疲劳寿命相同; 随着拧紧力矩的进一步加大, 疲劳寿命继续降低, 最终甚至低于无拧紧力矩的情况。因此施加拧紧力矩能够显著提升试验件疲劳寿命, 但同时需要注意, 施加的拧紧力矩不能过大。
观察螺栓拧紧力矩对多钉连接疲劳寿命的影响规律, 发现其与螺栓拧紧力矩对复合材料连接强度的影响规律趋势相同, 进一步验证了本文提出疲劳寿命预测方法的准确性。表 4分别展示了多钉连接结构在0, 8及16 N·m拧紧力矩时的0°层孔边纤维损伤演化云图。通过3种拧紧力矩水平下的损伤云图进行对比分析, 发现施加拧紧力矩后, 疲劳载荷还未加载时孔边受挤压侧就已经出现少量损伤, 这与无拧紧力矩状态相同。
在拧紧力矩为8 N·m时, 试验件的损伤范围与无拧紧力矩状态几近相同, 说明较小的拧紧力矩不会对试验件造成初始损伤; 而且随着循环次数的增加, 试验件损伤范围的扩展速度也要小于无拧紧力矩状态, 但是损伤形式以及损伤的扩展方向两者基本一致; 而对于施加了16 N·m拧紧力矩的试验件, 从初始开始, 其损伤区域就要大于无拧紧力矩状态, 而且损伤随着循环次数的增加扩展也较快, 损伤形式以及损伤的扩展方向两者基本一致。这可能是当拧紧力矩接近最佳拧紧力矩时有助于减缓分层损伤的出现及扩展, 进而影响到0°层纤维损伤演化, 增加了疲劳寿命; 当拧紧力矩小于最佳拧紧力矩时, 损伤扩展不能得到有效抑制, 导致试验件疲劳寿命降低。反之, 当拧紧力矩大于最佳拧紧力矩后, 会在初始就给试验件引入损伤, 影响试验件性能, 同样导致试验件疲劳寿命降低。
模拟结果表明, 不同拧紧力矩下多钉连接结构的破坏形式均为拉断形式, 即当拧紧力矩未对结构产生明显损伤时, 拧紧力矩的施加并不影响试验件的最终破坏形式。此外, 对于直径为6 mm的复合材料多钉连接结构来说, 最佳拧紧力矩为8 N·m。由于螺栓对多钉连接结构疲劳寿命的影响受连接形式、螺栓排布、螺栓形式、螺栓直径等多种因素影响, 对于其他多钉连接结构, 也存在一个最佳拧紧力矩, 针对具体结构形式, 可利用本文方法进行分析, 确定其最佳拧紧力矩。
综合来看, 螺栓拧紧力矩在提高多钉连接结构疲劳寿命方面效果显著, 而且在实际应用中具有易于实现、可重复拆卸、成本低廉等优点, 本文提出的考虑拧紧力矩的疲劳寿命预测方法在工程实际中可以广泛应用。
![]() |
图9 螺栓拧紧力矩对疲劳寿命的影响 |
多钉连接结构在不同螺栓拧紧力矩下孔边的损伤扩展
4 结论
本文考虑到实际加载时螺栓和复合材料层合板疲劳寿命差异,提出了一种考虑螺栓拧紧力矩的疲劳寿命预测方法,并进行了验证,同时研究了螺栓拧紧力矩对疲劳寿命的影响规律。得出以下结论:
1) 本文提出了一种复合材料多钉连接结构疲劳寿命预测方法,综合考虑到螺栓与层合板的各种损伤情况。通过数值模拟,结合疲劳试验数据,发现其对数寿命误差为4.36%,并通过观察数值模拟中的损伤演化云图,发现破坏模式与试验结果吻合,进一步验证了此方法的准确性与合理性。通过该方法可以计算出多钉连接结构的最佳拧紧力矩。
2) 通过本文提出的疲劳寿命预测方法探究了螺栓拧紧力矩对疲劳寿命的影响,随着拧紧力矩的增加,疲劳寿命先增后减,存在一个最佳拧紧力矩使疲劳寿命达到最大。故在复合材料多钉连接结构中,应尽量保证螺栓存在一定拧紧力矩以提高复合材料多钉连接结构的抗疲劳特性。
3) 从损伤演化云图中发现当拧紧力矩小于最佳拧紧力矩时,损伤扩展不能得到有效抑制,会导致试验件疲劳寿命降低;反之当拧紧力矩大于最佳拧紧力矩后,会给试验件造成初始损伤,同样导致连接结构的疲劳寿命降低。
References
- XIE Mingjiu. Composite material structure connection technology[M]. Beijing: Aviation Industry Press, 1994 (in Chinese) [Google Scholar]
- SUN Xiasheng, SU Shaopu, SUN Hanbin, et al.Current status and prospects of aviation fatigue research abroad[J]. Acta Aeronautica et Astronautica Sinica, 2021, 42(5): 45–70 [Article] (in Chinese) [Google Scholar]
- LI Ling, ZHANG Dong, WANG Jingjing, et al.Stiffness modeling of single bolt connection in composite laminate[J]. Acta Materiae Compositae Sinica, 2021, 38(9): 2942–2952 [Article] (in Chinese) [Google Scholar]
- HOSSEINI K, SAFARABADI M, GANJIANI M, et al.Experimental and numerical fatigue life study of cracked Al plates reinforced by glass/epoxy composite patches in different stress ratios[J]. Mechanics Based Design of Structures and Machines, 2020, 49(6): 894–910 [Google Scholar]
- MOHAMMADI B, FAZLALI B. Off-axis fatigue behaviour of unidirectional laminates based on a microscale fatigue damage model under different stress ratios[J]. International Journal of Fatigue, 2018, 106(1): 11–23 [Google Scholar]
- CHU Mingyue, YANG Yuqiu, ZHAO Defang, et al.Effect of joint dimension on the mechanically fastened joint properties of glass fiber/thermoplastic resin composites[J]. Acta Materiae Compositae Sinica, 2019, 36(6): 1353–1363 [Article] (in Chinese) [Google Scholar]
- MA Binlin, FENG Yu, HE Yuting, et al.Effect of hygrothermal environment on the tension-tension fatigue performance and reliable fatigue life of T700/MTM46 composite laminates[J]. Journal of Zhejiang University, 2019, 20(7): 499–514 [Article] [CrossRef] [Google Scholar]
- WEI Jingchao, CHAI Yanan, HU Botao. The effect of fastener type on the connection performance of bolted joints in composite laminates[C]//Proceedings of 2018 3rd International Conference on Automation, Mechanical and Electrical Engineering, 2018: 424–428 [Google Scholar]
- MARIAM M, AFENDI M, ABDUL MAJIDET M S, et al.Tensile and fatigue properties of single lap joints of aluminium alloy/glass fibre reinforced composites fabricated with different joining methods[J]. Composite Structures, 2018, 200(9): 647–658 [CrossRef] [Google Scholar]
- YAN Y, WEN W D, CHANG F K, et al.Experimental study on clamping effects on the tensile strength of composite plates with a bolt-filled hole[J]. Composites Part A: Applied Science and Manufacturing, 1999, 30(10): 1215–1229 [CrossRef] [Google Scholar]
- LIU Xubo. Experimental research on the influence of bolt pre-tightening force on the connection strength of composite materials[J]. Science and Technology Innovation Herald, 2014, 11(23): 26 [Article] (in Chinese) [Google Scholar]
- ZHANG Qiliang, CAO Zengqiang. Research on influencing factors of composite material screwing performance[J]. Acta Aeronautica et Astronautica Sinica, 2012, 33(4): 755–762 [Article] (in Chinese) [Google Scholar]
- IOANNIS K, GIANNOPOULOS, DAMIAN D, et al. Effects of bolt torque tightening on the strength and fatigue life of airframe FRP laminate bolted joints[J]. Composites Part B: Engineering, 2017, 125(9): 19–26 [CrossRef] [Google Scholar]
- ZHANG Junrui, ZHENG Xitao, YUAN Lin, et al. Fatigue life prediction method for hybrid multi-bolted joints based on damage weight[J]. Acta Aeronautica et Astronautica Sinica, 2021, 42(5): 263–271 (in Chinese) [Google Scholar]
- ZHU Yuanlin. Research on fatigue life prediction method of composite material mechanical connection parts[D]. Nanjing: Nanjing University of Aeronautics and Astronautics, 2009: 10–22 (in Chinese) [Google Scholar]
- LLOBET J, MAIMI P, ESSA Y, et al. A continuum damage model for composite laminates: part Ⅲ-fatigue[J]. Mechanics of Materials, 2021, 153(2): 103659 [CrossRef] [Google Scholar]
- PAPANIKOS P, TSERPES K I, PANTELAKIS S P. Modelling of fatigue damage progression and life of CFRP laminates[J]. Fatigue Fracture Engineering Material Structure, 2003, 26(1): 37–47 [CrossRef] [Google Scholar]
- LIAN Wei, YAO Weixing. Residual stiffness-residual strength correlation model of composite laminates[J]. Acta Materiae Compositae Sinica, 2008, 25(5): 151–156 [Article] (in Chinese) [Google Scholar]
- JE H O, YOUNG G K, DAI G L. Optimum bolted joints for hybrid composite materials[J]. Composite Structure, 1997, 38(1/2/3/4): 332–347 [Google Scholar]
- YU Ming. Numerical simulation of fatigue damage propagation and life prediction for composite structures[D]. Xi'an: Northwestern Polytechnical University, 2011: 54–57 (in Chinese) [Google Scholar]
All Tables
All Figures
![]() |
图1 T300/BMP-316层合板尺寸示意图(单位: mm) |
| In the text | |
![]() |
图2 复合材料多钉连接结构示意图 |
| In the text | |
![]() |
图3 有限元模拟流程图 |
| In the text | |
![]() |
图4 网格划分示意图 |
| In the text | |
![]() |
图5 静力试验结果[15] |
| In the text | |
![]() |
图6 螺栓拧紧力矩施加方法 |
| In the text | |
![]() |
图7 拧紧力矩为8 N·m, 85%应力水平下0°层的纤维损伤演化 |
| In the text | |
![]() |
图8 拧紧力矩为8 N·m, 85%应力水平下的破坏形貌对比 |
| In the text | |
![]() |
图9 螺栓拧紧力矩对疲劳寿命的影响 |
| In the text | |
Current usage metrics show cumulative count of Article Views (full-text article views including HTML views, PDF and ePub downloads, according to the available data) and Abstracts Views on Vision4Press platform.
Data correspond to usage on the plateform after 2015. The current usage metrics is available 48-96 hours after online publication and is updated daily on week days.
Initial download of the metrics may take a while.









