| Issue |
JNWPU
Volume 42, Number 2, April 2024
|
|
|---|---|---|
| Page(s) | 241 - 250 | |
| DOI | https://doi.org/10.1051/jnwpu/20244220241 | |
| Published online | 30 May 2024 | |
Aeroelasticity study of high span ratio wing with flare folding wingtip
带扩口折叠翼尖的大展弦比机翼气动弹性研究
1
School of Flight Vehicle and Engineering, Nanchang Hangkong University, Nanchang 330063, China
2
The Third Military Representative Office of Army Equipment Department in Nanjing, Nanjing 210000, China
Received:
17
January
2023
Abstract
Flare folding wing-tips rely on the adaptive deformation of the structure to reduce the flight load, which can effectively simplify the control system, and has more advantages in cost and weight. To study the effect of the elastic folding wingtip as a passive load alleviation device, the flexible hinges were used to connect the folding wingtip to the wing, and the Doublet Lattice panel method was used to calculate the aerodynamic loads. Static and dynamic load response and flutter analysis were performed on the folding wingtip configurations with different structural parameters, and the effects of the hinge orientation, stiffness, wingtip weight and wingtip center of gravity position on the load response and flutter behavior were investigated. The results show that the flare folding wingtip can significantly reduce the static and sudden wind loads of the wing with suitable parameters. In the static aeroelastic trim analysis, the folding wingtip can increase the span length by 25% with almost no increase in the wing root bending moment and reduce the trim angle of attack by 0.14°. In the gust response analysis, the maximum wing root bending moment can be reduced by nearly 50% comparing with the fixed wing tip, which is only 17% higher than the baseline model without the wing tip. However, the flutter velocity is reduced, and further optimization is needed to improve the flutter characteristics.
摘要
扩口折叠翼尖依靠结构的自适应变形来降低飞行载荷, 能有效简化控制系统, 在成本和质量上更有优势。为研究弹性折叠翼尖作为被动载荷减缓装置的效果, 使用铰链将翼尖连接到机翼并赋予一定弹性, 对不同的折叠翼尖参数构型进行了静、动载荷响应以及颤振分析, 研究了铰链方向、刚度、翼尖质量与翼尖重心位置对载荷响应与颤振特性的影响。结果表明, 扩口折叠翼尖在合适的参数下能够显著降低机翼的静载荷与突风载荷, 在静气动弹性配平分析中, 折叠翼尖可以使展长增加25%而几乎不增加翼根弯矩, 并使配平攻角降低了0.14°。在突风响应分析中可使最大翼根弯矩相比于固定翼尖减少近50%, 仅比不带翼尖的基准模型高17%。但颤振速度有所降低, 需进一步优化以改善其颤振特性。
Key words: flight loads / gust response / folding wing tips / gust load alleviation / flutter
关键字 : 飞行载荷 / 突风响应 / 折叠翼尖 / 突风减缓 / 颤振
© 2024 Journal of Northwestern Polytechnical University. All rights reserved.
This is an Open Access article distributed under the terms of the Creative Commons Attribution License (https://creativecommons.org/licenses/by/4.0), which permits unrestricted use, distribution, and reproduction in any medium, provided the original work is properly cited.
近年来, 越来越多飞机[1-2]的设计聚焦使用大展弦比机翼降低诱导阻力, 获得更高的气动效率。但增大展弦比意味着更细长的机翼, 导致分布在机翼上的气动载荷离翼根更远, 翼根载荷变大。大展弦比的机翼还易受到地面运行场景的限制, 如机场登机口尺寸、跑道的分隔距离等。折叠翼尖是一个很有吸引力的解决方案, 如波音777X通过折叠翼尖, 在保持大展弦比机翼的同时提高了机场适应性。
然而, 大展弦比机翼在操纵或遇到突风时,会对机翼特别是翼根载荷产生更大影响。这些操纵和突风产生的载荷会使机体结构质量增加、结构疲劳寿命降低和维护成本提高。目前已经有各类主动控制技术用于颤振抑制和载荷减缓, 与主动控制技术相比, 被动载荷减缓技术可以在不依赖主动装置的情况下缓解飞机负载, 降低激活功率、驱动机构质量以及故障风险。因此被动载荷减缓技术一直受到人们的广泛关注[3]。
目前国外研究的一个热点是使用扩口折叠翼尖(flare folding wing-tips, FFWT)来解决大展弦比飞机的场地局限性, 并作为一种被动式载荷减缓装置。扩口折叠翼尖的折叠铰链轴线与来流方向成一定角度, 称为扩口角Λ, 当翼尖的折叠角θ发生变化时, 由于扩口角Λ的存在, 翼尖在折叠过程中会使局部攻角ΔαWT发生改变。其表达式为:
(1)
翼尖在飞行过程中具有一定柔性, 因此当机翼受到突风扰动时, 柔性铰接翼尖受到突风额外的气动力偏转, 通过降低或增大翼尖相对气流的迎角, 在遭遇突风时产生与突风方向相反的气动力, 达到载荷减缓效果。
自空客公司重点研究扩口折叠翼尖进行载荷减缓后[4], 很多学者对这种新型的被动载荷减缓装置进行了研究。Siddaramaiah[5]与Castrichini等[6-7]建立了带扩口折叠翼尖的典型客机气动弹性模型, 发现低铰链刚度与翼尖质量可提高飞机载荷减缓能力。此外, Ajaj[8]研究了不同翼尖参数对窄体运输机气动导数与飞行动力学的影响, 结果显示扩口折叠翼尖的相关参数对纵向模态的影响很小, 与不加翼尖的基准模型具有相似的操纵品质。
Valente等[9]使用CFD-CSM耦合方法研究了带扩口折叠翼尖的运输机机翼在固支状态下的静气弹与突风载荷减缓效果, 并将结果与线性DLM方法进行对比。在静气弹与突风响应上, 线性DLM方法表现出与高保真CFD-CSM方法相同的趋势, 且低速静气弹分析上有良好的一致性。
在试验方面, Cheung等[10]使用低速风洞对这种折叠翼尖机翼进行了一系列稳态与突风激励试验, 定常吹风试验表明, 扩口折叠翼尖能降低翼根弯矩载荷, 且无论折叠翼尖铰链刚度如何变化, 翼尖都具有固有的气动稳定性, 使用DLM方法计算气动力的Nastran仿真结果与试验数据趋势相似, 在折叠角接近0°时有良好的一致性。在突风激励试验中, 扩口折叠翼尖与固定翼尖相比峰值翼根弯矩最大减少56%, Nastran仿真结果与试验数据趋势相同, 但减缓效果不及风洞试验数据。此外, 空客公司开展半气动弹性铰链(SAH)项目以研究扩口折叠翼尖载荷减缓效果[11], 在A321的缩比验证机上装备扩口折叠翼尖进行实际飞行试验, 结果显示折叠翼尖能对突风做出反应, 且在整个飞行过程中能保持静态和动态稳定。扩口折叠翼尖的载荷减缓效果已通过不同的飞行测试得到验证。
国内研究主要集中在常规折叠翼的动力学建模与结构非线性颤振分析上[12-14], 对折叠翼的载荷研究较少。而突风载荷减缓研究则主要集中在主动控制上, 对于被动载荷减缓, 刘湘一等[15]基于几何精确本征梁理论和Pitt-Peters动力入流模型研究了弹性扭转翼尖的被动突风减缓效应。肖伶[16]使用等效板模型, 研究了大展弦比自适应折叠翼尖模型的气动弹性变参分析。
综上所述, 国内尚没有对扩口折叠翼尖开展系统研究, 国外在数值研究上主要集中在民航客机, 而试验因条件限制研究参数又较为单一。由于被动突风减缓系统结构轻, 无需复杂的驱动控制和探测系统, 在成本和质量上比主动控制更具优势。针对以上问题, 充分考虑了这种新型折叠翼尖的相关设计参数, 以某大展弦比无人机为研究对象建立了全机模型, 较为详细地研究了铰链扩口角度、铰链刚度、翼尖质量与重心位置对飞机静、动载荷响应和颤振行为的影响。
1 理论基础
1.1 静气动弹性响应
静气动弹性响应分析基本方程可表示为[17]
(2)
(2) 式是静气动弹性分析的基本方程, 按照分析时的支持自由度进行矩阵分解, 可得
(3)
为结构简洁, 令
(4)
式中: Kaa是结构刚度矩阵; q是来流动压; Qaa是气动力影响矩阵; ua是结构变形向量; Maa是结构质量矩阵; Qax是单位气动力载荷矩阵; ux是额外给定自由度矢量; Pa是外加载荷矢量(如重力、机械力、热力)。利用方程(3)可以求解出飞机在弹性状态下的静稳定性导数和相应的配平情况。
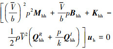
1.2 颤振分析
(5) 式为p-k法颤振分析方程[18]
(5)
式中: V为来流速度; b为参考弦长; p为特征值; k为减缩频率; Mhh为模态质量矩阵; Bhh为模态阻尼矩阵; Khh为模态刚度矩阵; QhhI和 QhhR分别模态气动阻尼矩阵与模态气动刚度矩阵; uh表示模态位移向量; 下标h代表h-set模态分析集。
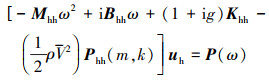
1.3 突风响应分析基本方程
在频域下, 突风响应问题属气动弹性频率响应分析, 在模态坐标中的基本方程为[18]
(6)
式中: ω为角频率; g为结构阻尼; Phh为广义非定常气动力矩阵; 等式右边P(ω)为模态坐标下的载荷项, 包含气动载荷和非气动载荷, 都在频域内进行。
P(ω)具体表达式为
(7)
式中: q为动压; wg为突风比例因子; R为自定义的突风频率变化; Qhj为广义载荷矩阵; wj为突风产生的下洗矩阵。通过求解方程(6), 得到其广义位移, 从而得到突风载荷下的物理位移、速度、应力等。
2 数值模型
2.1 折叠翼尖参数与建模
为评估扩口折叠翼尖的载荷减缓效果, 将不带折叠翼尖的构型作为基准模型, 图 1为基准模型与折叠翼尖模型的机翼示意图。其中, 带折叠翼尖模型翼尖长度占机翼的25%, 内翼主梁与翼尖主梁连接处为重合节点, 通过多点约束单元连接在一起形成铰链副, 使用弹簧单元赋予铰链刚度。折叠翼尖的质心用集中质量单元模拟, 通过修改该集中质量单元的大小和位置实现折叠翼尖的质量与重心变化。定义了不同的扩口角Λ、铰链刚度Kθ、翼尖质量Mwt、翼尖重心位置Gwt, 其中翼尖重心位置只考虑展向变化。由于国外文献对扩口角为15°附近的状态研究较多, 且经过计算对比后发现其他扩口角现象规律与15°较为相似, 因此后文中如无特殊说明, 将扩口角固定在15°。模型具体参数如表 1所示。
![]() |
图1 基准模型与折叠翼尖模型 |
折叠翼尖参数
2.2 气动弹性模型
以扩口角为15°的折叠翼尖模型为例, 结构模型为梁架模型, 如图 2所示。使用梁单元、集中质量单元与多点约束等单元进行建模。机翼主梁位于距前缘25%弦长位置, 采用铝合金作为等效材料, 其余质量, 如翼肋、蒙皮与设备等则通过集中质量单元附加在主梁上, 翼肋以大刚度梁单元模拟。机身、垂尾与平尾建模方式与机翼类似, 此外, 平尾安装了升降舵用于纵向配平分析。
基准模型和折叠翼尖模型全机质量和相关尺寸见表 2, 其中ΔMwt为折叠翼尖质量, ΔGwt为加装折叠翼尖后相对于基准模型重心的变化值。
气动力采用偶极子格网法计算, 忽略机身气动力, 以带翼尖模型为例, 机翼气动网格数量为10×100, 其中弦向网格数为10, 展向网格数为100。
![]() |
图2 结构有限元模型(Λ=15°) |
飞机主要参数
3 结果分析
3.1 静气动弹性配平分析
研究飞机在“1-g”载荷下的纵向静气动弹性配平响应与载荷分析, 定义飞机在海平面高度以速度40 m/s飞行, 攻角与升降舵作为配平变量。
翼尖质量固定为50 g, 重心位置l/b=0.5, 较低的铰链刚度会使0°扩口角翼尖偏转过大而失真, 因此0°扩口角度的最低铰链刚度定为1 Nm/rad, 此外为避免产生数值错误, 其余扩口角的铰链刚度最小为0.001 Nm/rad以表示自由铰接翼尖。锁定翼尖模型通过限制2个重合节点的所有自由度来实现。
图 3和图 4为不同扩口角下, 翼根弯矩与翼尖偏转量随铰链刚度的变化。从图 3可以看出, 对于0°扩口角, 翼根弯矩几乎不随铰链刚度变化且与锁定翼尖模型基本一致, 这是因为0°扩口角的翼尖偏转不会引起其局部攻角发生变化, 在小变形情况下气动力与锁定翼尖模型一致, 不能产生载荷减缓效果。
结合图 3和图 4可以看出, 对于其他扩口角构型(Λ=5°~30°), 其翼根弯矩随着铰链刚度的降低而降低。当铰链刚度降低时, 翼尖在气动力的作用下向上偏转, 且铰链刚度越低翼尖偏转量越大, 由于扩口角的存在使翼尖的局部攻角随着翼尖向上偏转而降低, 产生的升力减少, 达到载荷减缓效果。此外, 当铰链刚度在0.001~0.1 Nm/rad时, 不同的扩口角载荷减缓效果相似, 但扩口角越小, 翼尖偏转量越大, 这说明折叠翼尖攻角变化值相同时, 较低的扩口角需要更大的翼尖偏转, 即增加折叠角来达到相同的攻角变化。而当铰链刚度大于0.1 Nm/rad后, 载荷减缓效果则随着扩口角Λ增大而提升, 但在20°后趋于收敛。这是因为当铰链刚度升高后, 低扩口角的翼尖偏转量相比于高扩口角减少得更多, 从而增大了翼尖升力。
图 5为不同扩口角下, 配平攻角随铰链刚度的变化曲线图, 铰链刚度越低, 其配平攻角越大, 这是因为较低的铰链刚度使翼尖在气动力的作用下偏转量更大, 使得攻角降低更多, 减少了翼尖所产生的升力, 因此内翼需要增大攻角来产生更多的升力来平衡飞机质量。此外, 当铰链刚度大于0.1 Nm/rad后, 其配平攻角随扩口角度的降低而降低, 这是因为随着铰链刚度的增大, 翼尖升力的贡献量大于高扩口角度, 使得配平攻角降低。
![]() |
图3 翼根弯矩随铰链刚度的变化 |
![]() |
图4 翼尖位移随铰链刚度的变化 |
![]() |
图5 配平攻角随铰链刚度的变化 |
3.2 颤振稳定性研究
为研究扩口折叠翼尖在不同参数下的气弹稳定性, 使用p-k法对不同翼尖参数的固支机翼进行颤振分析。定义马赫数Ma=0.1, 高度为海平面高度。
3.2.1 刚度和扩口角的影响
将翼尖重心位置固定为l/b=0.5, 不同扩口角Λ的机翼颤振速度随铰链刚度的变化如图 6所示。
由图 6可以看出不同扩口角的机翼颤振速度随铰链刚度的改变表现出相同趋势, 在较低刚度下颤振速度均比锁定翼尖模型低, 且观察到低铰链刚度下颤振速度随扩口角增大而进一步降低。当铰链刚度在1 000 Nm/rad时颤振速度非常接近锁定翼尖机翼, 可视为折叠翼尖与内翼已经锁定在一起。
为进一步研究铰链刚度对颤振速度的影响, 以扩口角Λ=15°为例作出锁定翼尖与自由铰接翼尖模型的V-G、V-F图, 如图 7所示。可以看出锁定翼尖模型为二阶弯曲模态与一阶扭转耦合发生颤振, 而自由折叠翼尖模型则为三阶弯曲模态与一阶扭转模态耦合发生颤振。
锁定翼尖模型与自由铰接翼尖模型的振型对比如图 8所示, 可见相对于固定翼尖模型, 较低刚度的折叠翼尖模型改变了机翼模态振型和频率, 使得第4阶模态的频率显著降低, 比固定翼尖模型的第3阶模态更快与扭转模态耦合发生颤振, 导致自由铰接翼尖模型的颤振速度降低。
此外, 由图 6还观察到在低铰链刚度下颤振速度随着扩口角度增大而降低。图 9为自由铰接下, 不同扩口角度下的V-G、V-F图, 可以发现各扩口角的颤振发生机制一致, 均为第4阶弯曲模态与第5阶扭转模态耦合, 但随着扩口角的增大, 在关键的速度区间内第5阶扭转模态频率下降, 第4阶模态频率升高, 两阶模态频率更快接近引发颤振, 使颤振速度降低。这解释了低刚度下扩口角的增大会导致颤振速度降低的原因。
![]() |
图6 颤振速度随铰链刚度的变化 |
![]() |
图7 固定翼尖与自由铰链翼尖的V-G、V-F图(Mwt=150 g, Λ=15°) |
![]() |
图8 自由铰接翼尖模型与固定翼尖模型的主要模态 |
![]() |
图9 扩口角对颤振速度的影响规律(Mwt=150 g, Kθ=0.001 Nm/rad) |
3.2.2 翼尖质量和翼尖重心位置的影响
翼尖重心位置固定为l/b=0.5, 图 10为不同翼尖质量下, 自由铰接翼尖与锁定翼尖的颤振速度特性变化。当铰链刚度接近于锁定状态时, 翼尖质量对颤振速度变化不敏感, 而自由铰接时, 翼尖质量超过临界值后, 颤振速度大幅度降低, 表明铰链刚度越低, 翼尖质量对颤振速度的影响越大。
图 11为自由铰接状态下, 不同扩口角与翼尖质量对颤振速度的影响。0°扩口角的颤振速度几乎不受翼尖质量的影响, 这可能是因为0°扩口角产生了有利于颤振性能的气动阻尼, 其余扩口角当翼尖质量上升时, 颤振速度有不同程度降低, 且扩口角越大, 翼尖质量超过临界值后颤振速度的降低量越大。
可以总结出, 当铰链刚度降低后, 机翼颤振速度受翼尖质量影响, 存在临界值, 当翼尖质量在临界值前时, 机翼的颤振速度几乎不受影响, 而超过临界值后会使颤振速度大幅度下降。
为进一步研究低铰链刚度下颤振速度发生突变的机理, 分析了折叠翼尖的3种不同重心位置对机翼颤振的影响, 即l/b=0.25, 0.5与0.75, 比值越大说明翼尖的重心位置距离铰链轴越远, 如图 12所示。
图 12为铰链刚度在0.001 Nm/rad时机翼的颤振特性, 从图中可以观察到:
1) 当翼尖重心位置在Gwt=25%时, 可以发现翼尖质量在50~150 g内, 机翼的颤振速度随着翼尖质量的增大而略有下降, 从86 m/s下降到76 m/s。当翼尖质量大于150 g后, 颤振速度则几乎不受翼尖质量的影响。
2) 当翼尖重心位置在Gwt=50%时, 机翼的颤振速度在翼尖质量大于350 g后有大幅度降低, 颤振速度从78 m/s下降到27 m/s。而翼尖质量在小于350 g的时候则基本不会引起机翼颤振速度改变。
3) 当翼尖重心位置Gwt=75%时, 翼尖质量只要大于50 g, 机翼的颤振速度就发生了大幅度降低, 在此后继续增加翼尖质量, 颤振速度略微提高。
可以发现, 当折叠翼尖的铰链刚度很低时, 折叠翼尖的重心位置越远离铰链轴, 则翼尖质量对颤振速度的影响越敏感。这说明颤振速度的大幅降低可能与翼尖对铰链转轴的转动惯量有关, 即当翼尖对铰链轴的转动惯量到达某个值后, 颤振机制会发生改变, 导致颤振速度急剧下降。
为进行验证, 将颤振速度发生陡降的翼尖质量区间进行了细分, 以更准确获得颤振速度发生陡降后的翼尖质量, 如图 13所示。
从图 13可以看出翼尖重心位置在Gwt=50%和Gwt=75%时对应的翼尖质量分别为370 g与150 g, 这时候机翼的颤振速度发生了陡降。转动惯量公式为
(8)
式中, Iwt为翼尖对铰链转轴的转动惯量。据此计算对应翼尖对铰链轴的转动惯量, 如表 3所示。
可以看出这2个翼尖的转动惯量非常接近, 这说明了在自由铰接状态下, 当翼尖对铰链轴的转动惯量达到某个值后(本文约0.01 kg/m2), 将会大大降低机翼的颤振速度, 这是翼尖质量与翼尖重心位置共同影响的结果。这也说明了为什么翼尖的重心位置在Gwt=25%时, 翼尖质量即使到了550 g也没有导致机翼的颤振速度发生陡降(见图 12), 这是因为该配置下的翼尖转动惯量尚未到临界值。
图 14为翼尖在自由铰接时, 翼尖重心在Gwt=25%与Gwt=75%的颤振V-G、V-F图, 可以看出, 当翼尖重心位置在Gwt=25%时, 为第4阶弯曲模态与第6阶扭转模态耦合发生颤振; 当翼尖重心位置在Gwt=75%时, 由于此时翼尖的转动惯量已超过临界值, 使得颤振的发生机理变为一阶翼尖弯曲模态与二阶面外弯曲模态耦合。
由上述研究可以发现, 在较低的铰链刚度时, 翼尖对铰链转轴的转动惯量是使机翼颤振速度发生大幅度降低的关键参数。当翼尖对铰链轴的转动惯量高于某一临界值时, 一阶模态与二阶模态的频率会随着速度上升发生交叉, 使得颤振机理发生变化, 导致颤振速度大幅下降。
![]() |
图10 铰链刚度与翼尖质量对颤振速度的影响(Λ=15°) |
![]() |
图11 扩口角与翼尖质量对颤振速度的影响(Kθ=0.001 Nm/rad) |
![]() |
图12 翼尖重心位置对颤振速度的影响(Kθ=0.001 Nm/rad) |
![]() |
图13 重心位置在Gwt=50%和Gwt=75%时机翼颤振速度随翼尖质量的变化 |
翼尖对铰链轴的转动惯量
![]() |
图14 翼尖重心位置为Gwt=25%与Gwt=75%的机翼颤振特性(Kθ=0.001 Nm/rad, Mwt=550 g) |
3.3 突风响应分析
3.3.1 突风模型
飞机在飞行过程中的极端突风情况往往以离散突风的形式存在[19], 因此考虑了“1-cos”形式的突风模型。飞机进入突风场时, 突风大小随时间变化为
(9)
式中:vg为突风速度;vG0为最大突风幅值;V为来流速度; Lg为突风长度; t为时间。定义飞行速度为30 m/s, 最大突风幅值为6 m/s, 突风频率选取从0.6 Hz到6 Hz, 翼尖重心位置默认为l/b=0.5。
此外, 折叠翼尖在低铰链刚度下可能会因为突风扰动导致偏转较大, 可能会导致局部几何非线性效应, 但从文献[20]中发现, 折叠翼尖即使有较大的偏转角度(折叠角约50°), 使用传统的线性方法在载荷评估上仍然具有很好的一致性。
3.3.2 刚度的影响
图 15为翼尖质量在50 g时, 不同铰链刚度模型在突风长度为20 m下的翼根弯矩响应曲线, 其中正值表示机翼向上受力。可以看出随着铰链刚度减小, 正负翼根弯矩均有显著降低, 当翼尖接近于自由铰接(0.001 Nm/rad)时能实现最大程度的突风载荷减缓, 翼根最大弯矩相比于固定翼尖模型减少约49%, 此外当铰链刚度在100 Nm/rad时的弯矩响应曲线已基本和固定翼尖模型重合, 说明当铰链刚度大于一定值时, 模型的载荷响应表现已与固定翼尖相似。
图 16为对应的翼尖折叠角度, 正值表示翼尖向上偏转。结合图 15与图 16可以发现, 翼根弯矩的变化与翼尖折叠角同相且比例变化, 即机翼受到突风干扰而向上(向下)弯曲时, 翼尖同时向上(向下)偏转, 且弯曲量越大(表现为翼根弯矩的绝对值变大), 翼尖的偏转量越大。由于扩口角的存在, 翼尖在向上偏转的过程中会减小攻角, 向下则增大。因此当机翼受到突风扰动而向上弯曲时, 翼尖同时向上偏转, 且铰链刚度越低, 翼尖偏转量越大, 使攻角降低, 对翼根弯矩的减缓效果越明显。
对应不同刚度的最大翼根弯矩增量随突风长度的变化如图 17所示, 可以看出在不同的突风长度下, 随着铰链刚度降低, 最大和最小载荷均有下降, 且在高频突风下更为明显。
![]() |
图15 刚度对翼根弯矩的影响 |
![]() |
图16 不同刚度的翼尖折叠角变化 |
![]() |
图17 不同突风长度和铰链刚度的最大翼根弯矩增量变化 |
3.3.3 翼尖重心的影响
为研究翼尖的展向重心位置对突风载荷减缓能力的影响, 将翼尖重心弦向固定在距前缘的40%弦长处, 展向位置l/b分别为0.25, 0.5和0.75。
图 18为突风长度在20 m下, 15°扩口角不同翼尖重心位置下翼根弯矩随着时间的变化图。可以看出, 当翼尖质量较轻时, 翼尖的重心变化对载荷响应的影响有限, 但当翼尖质量增大后, 翼尖重心的变化对载荷响应更为敏感, 且随着翼尖的重心位置向外移动, 最大翼根弯矩有所上升, 载荷减缓能力降低。
图 19为不同突风长度下的翼根弯矩增量, 其中正负表示弯矩方向。结合图 18和图 19可以说明折叠翼尖重心位置对突风响应有如下规律:
1) 当翼尖质量较大时, 随着翼尖的重心位置远离铰链轴, 翼尖对铰链轴的转动惯量逐渐增大, 在受到相同的突风激励时, 相比于重心靠近铰链轴的翼尖, 重心较远的翼尖会因转动惯量变大而导致翼尖偏转相对较小, 向内翼传递载荷, 导致翼根弯矩随重心的远离而增大, 翼尖的质量越大, 翼尖重心对机翼载荷的影响越明显。
2) 同样地, 由于重心远离铰链轴使得转动惯量变大, 在突风激励结束后, 在相同的气动刚度下, 可以观察到重心较远的翼尖使得翼根弯矩收敛的时间更长。
![]() |
图18 重心对翼根弯矩的影响(Kθ=1 Nm/rad) |
![]() |
图19 不同翼尖质量与重心位置对翼根弯矩增量的变化(Kθ=1 Nm/rad) |
4 结论
1) 扩口折叠翼尖能有效降低静载荷, 铰链刚度与扩口角对减缓效果有较大影响。当铰链刚度接近自由铰接或固接时, 扩口角对载荷响应不敏感。当铰链刚度适中时, 机翼翼根载荷则随着扩口角的增大而降低, 但存在边际效应。因此扩口角的选取应该和铰链刚度联合考虑。最佳情况下与锁定翼尖相比翼根弯矩载荷减少了近40%, 几乎与不带翼尖的基准模型相同。
2) 颤振分析表明, 当铰链刚度较低时, 系统的模态与对应频率会发生显著变化, 与固定翼尖相比更快与弯曲模态发生耦合, 导致颤振速度降低。翼尖对铰链轴的转动惯量是影响机翼颤振速度的关键参数, 当翼尖相对于转轴的转动惯量高于某一临界值时, 会导致颤振速度大幅下降。此外, 低扩口角度更有利于提高系统的气弹稳定性。
3) 扩口折叠翼尖的突风减缓效果与与翼尖受到突风扰动后发生偏转所产生的气动力增量有关, 较低的铰链刚度与较大的扩口角能有效提高扩口折叠翼尖的减缓效果, 但扩口角的作用效果随刚度的变化而变化。翼尖重心距离铰链轴越远, 载荷减缓能力越差, 当翼尖质量增大后更为明显。
References
- XIANG Jinwu, KAN Zi, SHAO Haoyuan, et al. A review of key technologies for long-endurance unmanned aerial vehicle[J]. Journal of Harbin Institute of Technology, 2020, 52(6): 57–77 [Article] (in Chinese) [Google Scholar]
- CHEN Yingchun, ZHANG Meihong, ZHANG Miao, et al. Review of large civil aircraft aerodynamic design[J]. Acta Aeronautica et Astronautica Sinica, 2019, 40(1): 35–51 [Article] (in Chinese) [Google Scholar]
- YANG Chao, QIU Qisheng, ZHOU Yitao, et al. Review of aircraft gust response mitigation techniques[J]. Acta Aeronautica et Astronautica Sinica, 2022, 43(10): 216–256 (in Chinese) [Google Scholar]
- AJAJ R M, PARANCHEERIVILAKKATHIL M S, AMOOZGAR M R, et al. Recent developments in the aeroelasticity of morphing aircraft[J]. Progress in Aerospace Sciences, 2020, 120(10): 682–702 [Google Scholar]
- SIDDARAMAIAH V H. Preliminary studies in the use of folding wing-tips for loads alleviation[C]//Applied Aerodynamics Conference, 2014 [Google Scholar]
- CASTRICHINI A, HODIGERE S V, CALDERON D E, et al. Preliminary investigation of use of flexible folding wing-tips for static and dynamic loads alleviation[C]//4th RAES Aircraft Structural Design Conference, 2014 [Google Scholar]
- CASTRICHINI A, COOPER J E, WILSON T, et al. Nonlinear negative stiffness wingtip spring device for gust loads alleviation[J]. Journal of Aircraft, 2017, 54(2): 368–383 [Google Scholar]
- AJAJ R M. Flight dynamics of transport aircraft equipped with flared-hinge folding wingtips[J]. Journal of Aircraft, 2020, 58(1): 213–224 [Google Scholar]
- VALENTE C, CASTRICHINI A, WILSON T, et al. High fidelity CFD/CSM analysis of a folding wing-tip device for aircraft loads alleviation[C]//6th Aircraft Structural Design Conference, 2018 [Google Scholar]
- CHEUNG R C M, REZGUI D, COOPER J E, et al. Testing of a hinged wingtip device for gust loads alleviation[J]. Journal of Aircraft, 2018, 55(5): 2050–2067 [CrossRef] [Google Scholar]
- THOMAS W, JAMES K, JOHN H, et al. Small scale flying demonstration of semi aeroelastic hinged wing tip[C]//18th International Forum on Aeroelasticity and Structural Dynamics, Savannah, 2019 [Google Scholar]
- YANG Ning, WU Zhigang, YANG Chao, et al. Flutter analysis of a folding wing with structural nonlinearity[J]. Engineering Mechanics, 2012, 29(2): 197–204 [Article] (in Chinese) [Google Scholar]
- XU Hao, HAN Jinlong, XI Yong, et al. Aeroelastic morphing flight simulation platform for folding wing[J/OL]. (2022-11-23)[2023-01-05]. http://kns.cnki.net/kcms/detail/11.2625.V.20221103.1727.004.html (in Chinese) [Google Scholar]
- ZHAN Jiuyu, ZHOU Xinghua, HUANG Rui. Parametric aeroelastic modeling of folding wing based on manifold tangent space interpolation[J]. Chinese Journal of Theoretical and Applied Mechanics, 2021, 53(4): 1103–1113 [Article] (in Chinese) [Google Scholar]
- LIU Xiangyi, YAN Yongju, WEN Baiheng, et al. Research on gust response and passive alleviation of flexible wing[J]. Journal of Naval Aviation University, 2016, 31(6): 635–640 (in Chinese) [Google Scholar]
- XIAO Ling. The method of partial dynamic equivalence and aeroelasticity research in folding wing tip[D]. Dalian: Dalian University of Technology, 2021: 59–66 (in Chinese) [Google Scholar]
- WAN Zhiqiang, TANG Changhong, ZOU Congqing. Static aeroelastic characteristics analysis of a flexible forward swept composite aircraft[J]. Acta Materiae Compositae Sinica, 2002(5): 118–124 [Article] (in chinese) [Google Scholar]
- RODDEN W P, JOHNSON E H. MSC/Nastran aeroelastic analtsis user's guide V68[M]. Log Angeles: MSC Coporation, 1994 [Google Scholar]
- FULLER J R. Evolution and future development of airplane gust loads design requirements[C]//World Aviation Congress, 1997 [Google Scholar]
- MASTRACCI P, SALTARI F, MASTRODDI F, et al. Unsteady aeroelastic analysis of the semi aeroelastic hinge including local geometric nonlinearities[J]. AIAA Journal, 2022, 60(5): 3147n3165 [NASA ADS] [CrossRef] [Google Scholar]
All Tables
All Figures
![]() |
图1 基准模型与折叠翼尖模型 |
| In the text | |
![]() |
图2 结构有限元模型(Λ=15°) |
| In the text | |
![]() |
图3 翼根弯矩随铰链刚度的变化 |
| In the text | |
![]() |
图4 翼尖位移随铰链刚度的变化 |
| In the text | |
![]() |
图5 配平攻角随铰链刚度的变化 |
| In the text | |
![]() |
图6 颤振速度随铰链刚度的变化 |
| In the text | |
![]() |
图7 固定翼尖与自由铰链翼尖的V-G、V-F图(Mwt=150 g, Λ=15°) |
| In the text | |
![]() |
图8 自由铰接翼尖模型与固定翼尖模型的主要模态 |
| In the text | |
![]() |
图9 扩口角对颤振速度的影响规律(Mwt=150 g, Kθ=0.001 Nm/rad) |
| In the text | |
![]() |
图10 铰链刚度与翼尖质量对颤振速度的影响(Λ=15°) |
| In the text | |
![]() |
图11 扩口角与翼尖质量对颤振速度的影响(Kθ=0.001 Nm/rad) |
| In the text | |
![]() |
图12 翼尖重心位置对颤振速度的影响(Kθ=0.001 Nm/rad) |
| In the text | |
![]() |
图13 重心位置在Gwt=50%和Gwt=75%时机翼颤振速度随翼尖质量的变化 |
| In the text | |
![]() |
图14 翼尖重心位置为Gwt=25%与Gwt=75%的机翼颤振特性(Kθ=0.001 Nm/rad, Mwt=550 g) |
| In the text | |
![]() |
图15 刚度对翼根弯矩的影响 |
| In the text | |
![]() |
图16 不同刚度的翼尖折叠角变化 |
| In the text | |
![]() |
图17 不同突风长度和铰链刚度的最大翼根弯矩增量变化 |
| In the text | |
![]() |
图18 重心对翼根弯矩的影响(Kθ=1 Nm/rad) |
| In the text | |
![]() |
图19 不同翼尖质量与重心位置对翼根弯矩增量的变化(Kθ=1 Nm/rad) |
| In the text | |
Current usage metrics show cumulative count of Article Views (full-text article views including HTML views, PDF and ePub downloads, according to the available data) and Abstracts Views on Vision4Press platform.
Data correspond to usage on the plateform after 2015. The current usage metrics is available 48-96 hours after online publication and is updated daily on week days.
Initial download of the metrics may take a while.



















