| Issue |
JNWPU
Volume 42, Number 2, April 2024
|
|
|---|---|---|
| Page(s) | 286 - 294 | |
| DOI | https://doi.org/10.1051/jnwpu/20244220286 | |
| Published online | 30 May 2024 | |
Experimental study of effects of buffer tank volume on pressure pulsation in valved linear compressor's pipe system at different frequencies
不同频率下缓冲罐体积对有阀线性压缩机管系压力脉动的实验研究
1
Shanghai Institute of Technical Physics, Chinese Academy of Science, Shanghai 200083, China
2
University of Chinese Academy of Sciences, Beijing 100049, China
Received:
3
April
2023
Abstract
The valved linear compressor (VLC) is an essential part of the Joule-Thompson (J-T) throttling cryocooler in the liquid helium temperature region. The pressure pulsation may cause the fluctuation of the temperature and cooling capacity of the cryocooler, thus affecting its temperature stability. To measure the pressure pulsation of the VLC's pipe system, the mathematical model of pressure pulsation in the buffer tank of the VLC was established with the transfer matrix method based on the plane wave theory. The quantitative representation of the pulsating mass flow of the VLC was obtained with the linear damping based on the plane wave theory. Then, a test bench was set up to measure the pressure pulsation. The influence of the VLC's operating frequency and the suction and discharge buffer tank volume on the pressure pulsation was discussed. Results show that the pressure pulsation of the pipe system is related to the VLC's operating frequency. The pressure pulsation of the pipe system increases with the increase of the VLC's operating frequency. Both the inlet and outlet buffer tanks can effectively inhibit the pressure pulsation, but their capability is independent of each other. The pressure pulsation inhibition effect is better with the increase of the buffer tank volume. With the increase of the buffer tank volume, the pressure inhomogeneity at the inlet of the inlet buffer tank decreases to 164 over 423, but the pressure inhomogeneity at the outlet of the outlet buffer tank decreases to 8 over 23.
摘要
有阀线性压缩机是液氦温区Joule-Thomson(J-T)节流制冷机重要部件, 而管系压力脉动会造成制冷机出现温度与制冷量波动, 从而影响制冷机温度稳定性。针对有阀线性压缩机管系压力脉动问题, 以有线性阻尼的平面波动理论为基础, 采用传递矩阵法构造了有阀线性压缩机管路缓冲罐压力脉动传递模型, 获得有阀线性压缩机脉动质量流量的量化表达。搭建了有阀线性压缩机管系压力脉动测试平台, 讨论了压缩机运行频率与进排气缓冲罐体积对压力脉动的影响。研究结果表明: 管系压力脉动与压缩机运行频率有关, 随着压缩机运行频率增大, 管系压力脉动增大。进排气缓冲罐均可有效抑制压力脉动, 但两者的压力脉动抑制能力相互独立, 且缓冲罐体积越大, 压力脉动抑制效果越好。随着缓冲罐体积的增加, 进气缓冲罐进口处压力不均匀度减小到164/423, 排气缓冲罐出口处压力不均度减小到8/23。
Key words: valved linear compressor / plane wave theory / pressure pulsation / operating frequency / buffer tank volume
关键字 : 有阀线性压缩机 / 平面波动理论 / 压力脉动 / 运行频率 / 缓冲罐体积
© 2024 Journal of Northwestern Polytechnical University. All rights reserved.
This is an Open Access article distributed under the terms of the Creative Commons Attribution License (https://creativecommons.org/licenses/by/4.0), which permits unrestricted use, distribution, and reproduction in any medium, provided the original work is properly cited.
为保证空间探测器信号的高精度, 在太空中需要给探测器营造稳定的低温环境。有阀线性压缩机系统驱动的Joule-Thomson(J-T)节流制冷机凭借结构紧凑、高效率、长寿命等诸多优势, 在深空探测中得到广泛应用[1]。线性压缩机与传统往复式压缩机相比, 无曲柄连杆机构, 由直线电机驱动活塞做直线运动, 运动部件结构简单、尺寸紧凑、传动效率更高[2]。与传统往复式压缩机相似, 在线性压缩机进排气过程中, 间歇性、周期性的进排气方式会导致压力脉动的产生。这种使得进出口压力周期性变化的压力脉动, 会导致J-T节流制冷机冷头出现温度波动, 从而影响探测器的稳定性, 因此如何抑制有阀线性压缩机压力脉动是相当重要的。
目前, 压缩机中压力脉动的分析主要基于一维非定常气流理论与平面波动理论[3]。Maclaren等[4]考虑流体平均流速等因素, 提出用一维非定常可压缩流体流动的双曲型偏微分方程, 可用于管路系统气体动力学特性的研究。基于一维非定常流动理论的CFD方法在分析压力脉动中得到广泛应用, 但网格质量与湍流模型选取会对CFD计算模型的精度产生较大影响[5-7]。当气体压力脉动量比平均压力小很多, 气体平均速度与声速相比也小很多时, 运用平面波动理论能较为精确快速地描述气体在管道中的波动情况。Kinsler等[8]以连续性方程与运动方程为基础, 提出平面波动理论。西安交通大学党锡淇等[9]在平面波动理论基础上, 对压缩机压力脉动的理论模型展开详尽的分析阐述, 提出抑制压力脉动的常用方法。缓冲罐因其结构简单, 是目前抑制压力脉动最为广泛且有效的手段。孙嗣莹等[10]通过理论与实验研究, 发现缓冲罐位置对压力脉动有很大影响, 离气缸越近, 压力脉动越小。Ming等[11]用CFD方法对缓冲罐进出口接管位置进行了研究, 对比了各种布置形式下缓冲罐的气流脉动抑制效果。门晓苏等[12]以平面波理论为基础, 建立压缩机管路系统压力脉动计算模型与实验测试平台, 得出缓冲罐的容积越大, 则气流压力脉动幅值越小, 压缩机排气口与缓冲罐连接管越长, 压力脉动越剧烈。马屈杨等[13]对缓冲罐各种空间排布方式对管系压力脉动影响进行了研究, 发现相比于轴向排气式缓冲罐, 径向排气可进一步衰减管系压力脉动, 有助于抑制管系振动。
本课题组之前的工作已经验证了缓冲罐对有阀线性压缩机管系压力脉动有抑制作用[14]。本文基于有线性阻尼的平面波动理论, 获得有阀线性压缩机脉动质量流量的量化表达。搭建了有阀线性压缩机压力脉动测试实验台, 针对压缩机运行频率与进排气缓冲罐体积对压力脉动的影响进行了研究。
1 有阀线性压缩机结构
图 1为本文中采用的动圈式有阀线性压缩机结构图, 压缩机为双活塞对置安装, 进排气阀分体布置。动圈式线性压缩机主要由永磁体、线圈和磁轭构成电磁系统, 永磁体固定在磁轭内部, 产生恒定的回路磁场, 线圈与压缩活塞连为一体, 当线圈中通入交流电时, 通电线圈将会在2个磁场的作用下运动, 切割磁感线产生交变的电磁力, 从而驱动压缩活塞实现循环往复运动, 完成气体工质的压缩膨胀, 通过进排气阀的开闭实现气体工质的单向流动。
![]() |
图1 有阀线性压缩机结构图 |
2 基本理论
2.1 压力不均匀度与温度波动
采用压力不均匀度来表示管路系统中压力脉动的剧烈程度, 表达式为
(1)
式中: δ为压力不均匀度; pmax为最大压力; pmin为最小压力; pm为平均压力。
由本课题组之前的工作验证了节流制冷机的温度与节流前后的低压压力有关, 而低压压力的波动会导致节流制冷机产生温度波动[15]; 高压压力的波动会导致节流制冷机产生的制冷量出现波动[16]。有阀线性压缩机由于其工作原理必然会产生压力脉动, 这会使得J-T节流制冷机冷头出现温度波动, 制冷量也会出现波动。
图 2为制冷温度为4.2 K时, 温度波动与压力不均匀度的关系, 可以看出, 温度波动和压力不均匀度呈正相关,基于实际节流制冷机需求, 需要将温度波动控制在10 mK以内, 即低压压力不均匀度要控制在2%以内。
![]() |
图2 压力不均匀度与温度波动图 |
2.2 有线性阻尼的平面波动理论
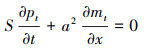
有线性阻尼的平面波动理论考虑了气体与管壁间的摩擦阻力, 求解精度得以提高。平面波动理论基本方程由连续性方程与运动方程组成, 基于基本方程建立波动方程来计算压力脉动。
有线性阻尼的连续性方程为
(2)
式中: S为管道截面积; a为气体声速; pt为压力脉动值; mt脉动质量流量。
有线性阻尼的运动方程为
(3)
式中: R为管道沿程阻尼系数。
(4)
式中: f为管道摩擦因数; u0为平均流速; D为管道内径。
从(2)~(3)式中消去脉动质量流量mt, 则得具有线性阻尼的波动方程
(5)
由分解变量法求解(5)式并转化为双曲函数, 可得脉动压力与脉动质量流量随位置与时间变化关系
(6)
(7)
式中: k=ω/a, ω为脉动圆频率; ω=2πf, f为压缩机运行频率; α=R/2a。只考虑脉动压力与脉动质量流量随位置的变化关系, 将解中的振幅值单独列出。为了确定常数A1*与B1*, 设m1*, p1*为x=0时脉动质量流量与脉动压力; m2*, p2*为x=l时脉动质量流量与脉动压力, 代入(6)~(7)式得
(8)
(9)
由(8)~(9)式可知, 只需定义管道初始截面的脉动压力与质量流量, 即可得到管路内任意点的压力与流量。
2.3 有阀线性压缩机脉动质量流量
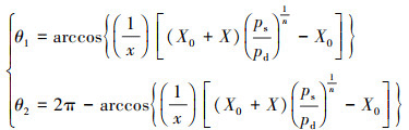
图 3为本文中采用的有阀线性压缩机压缩腔示意图, 压缩机为双活塞对置安装, 进排气阀分体布置。X0为初始余隙长度, X为活塞位移, ΔX为活塞偏移, Xc为余隙长度, ps为进气压力, pd为排气压力, pb为背压腔压力。活塞在上止点与下止点之间运动。压缩机整个压缩运动可以分为4个阶段: 压缩阶段、排气阶段、膨胀阶段、进气阶段。
参考往复压缩机的计算公式[13], 结合有阀线性压缩机自身压缩与膨胀特性, 可由(10)式得有阀线性压缩机脉动质量流量大小
(10)
式中: f为压缩机运行频率; ρd为排气压力下气体密度; ρs为进气压力下气体密度; Ap为活塞面积。
其中, 压缩过程结束相位角θ1和膨胀过程结束相位角θ2为
(11)
![]() |
图3 有阀线性压缩机压缩腔示意图 |
2.4 缓冲罐传递矩阵
基于2.2节分析可知, 通过定义初始截面的脉动压力与质量流量, 由(8)~(9)式得到任一点处的脉动压力与质量流量, 将(8)~(9)式转化为矩阵形式, 便可得出初始截面与任一点处的矩阵关系, 其中的系数矩阵即为两处的传递矩阵。构建缓冲罐压力脉动模型时, 普遍将其视为体积单元[9], 如图 4所示, 提出如下的转移关系:
(12)
式中: V为缓冲罐容积。
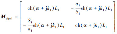
但该模型将缓冲罐容积当成一个整体, 忽略了缓冲罐进出口脉动压力的差异, 也没有将前后管路长度计算其中。故将缓冲罐前后各一段直管与缓冲罐进行联系, 组成“管道-容器-管道”的组合元件, 如图 5所示, L1, L2和S1, S2分别为缓冲罐前后直管的长度与截面积。
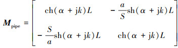
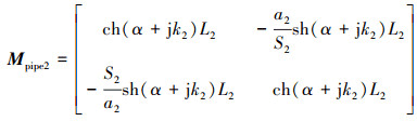
对于等截面管, 其传递矩阵为
(13)
对于容器, 其传递矩阵为
(14)
综上, 针对管道-容器-管道元件, 则有以下转移关系
(15)
(16)
(17)
综上所述, 首先根据压缩机自身相关参数计算入口脉动质量流量m1*, 设置初始脉动压力峰峰值p1*作为入口压力边界条件。根据管系的单元结构建立总压力脉动传递矩阵构造线性方程组, 并将p1*和m1*作为已知初始条件代入该方程组求解管系末端脉动压力与质量流量。
![]() |
图4 体积单元示意图 |
![]() |
图5 管道-容器-管道元件示意图 |
3 实验系统与实验方案
有阀线性压缩机压力脉动实验系统如图 6所示, 主要由有阀线性压缩机、进排气缓冲罐、质量流量计、静态压力传感器、动态压力传感器、位移传感器、调节阀、功率计和驱动电源等组成。压缩机在电源驱动下压缩气体工质, 通过驱动电源调节压缩机的输入功率与运行频率, 并通过功率计测量详细输入电参数。在压缩机进排气口均安置了缓冲罐, 在缓冲罐的前后分别装有动压压力传感器对压力脉动进行实时测量, 在管路上装有静压压力传感器对高低压进行测量。通过调节调节阀开度, 控制循环的吸排气压力与流量。在管路上安装质量流量计进行流量测量。采用自主研发的线性可变差动变压器(LVDT)对压缩机活塞位移进行测量。位移传感器和动压传感器由于采集的是电压值, 故需要进行标定校准[18]。设备性能参数如表 1所示。
本实验采用的是活塞直径为28 mm的对置式动圈线性压缩机, 工作流体为4He。实验时, 保持充气压力、调节阀开度和压缩机运行行程恒定, 研究压缩机运行频率对进排气缓冲罐压力脉动影响。将填充物填入进排气缓冲罐中从而改变缓冲罐体积, 缓冲罐与填充物如图 7所示, 长度均为95 mm, 保持充气压力、调节阀开度和压缩机运行行程恒定, 研究进排气缓冲罐体积对压力脉动影响。为了控制进排气缓冲罐变量, 保证进排气缓冲罐到压缩机进排气口距离相同, 动压压力传感器到进排气缓冲罐距离相同。压缩机运行实验条件如表 2所示。
![]() |
图6 有阀线性压缩机压力脉动实验流程图与实物图 |
设备性能参数
![]() |
图7 缓冲罐与填充物实物图 |
实验条件
4 结果与讨论
4.1 有阀线性压缩机运行频率对压力脉动的影响
由实验条件与压缩机参数代入(10)与(11)式, 可得脉动质量流量如(18)式所示
(18)
(18) 式将有阀线性压缩机的结构与运行频率结合, 以此为初始条件研究对压力脉动的影响。(18)式的时域波形如图 8所示, 可以看出, 脉动质量流量大小与压缩机运行频率相关, 频率越大, 其脉动质量流量越大。由(8)~(9)式可知, 当管系结构固定时, 压力脉动与脉动质量流量呈正相关, 与图 8的结果吻合。
图 9为缓冲罐进出口压力不均匀度与压缩机运行频率图, 此时进排气缓冲罐均未添加填充物, 直径为50 mm。由图 9a)可以看出:进气缓冲罐出口处压力不均匀度随压缩机运行频率增大而增大, 从2.51%增大到5.18%, 增大了2.06倍, 基于数学模型的仿真结果从2.5%增大到5%, 增大了2倍; 进气缓冲罐进口处压力不均匀度也随压缩机运行频率增大而增大, 从1.41%增大到1.74%, 增大了1.23倍, 仿真结果从1.2%增大到1.8%, 增大了1.5倍。
由图 9b)可以看出:排气缓冲罐进出口处压力不均匀度变化与进气缓冲罐进出口相似, 均随压缩机运行频率增大而增大, 进口处从1.41%增大到2.54%, 增大了1.8倍, 仿真结果从1.5%增大到3%, 增大了2倍; 出口处从0.55%增大到0.68%, 增大了1.24倍, 仿真结果从0.5%增大到0.7%, 增大了1.4倍。
由上可知, 管系压力脉动与压缩机运行频率有关, 随着压缩机运行频率增大, 压缩机进排气口处的压力不均匀度增大。当压缩机频率从30 Hz增大一倍到60 Hz时, 压缩机进出口即进气缓冲罐出口和排气缓冲罐进口处的压力不均匀度也增大1倍。进排气缓冲罐均可有效抑制压力脉动, 且抑制作用均与压缩机运行频率有关, 随着压缩机运行频率的增大, 缓冲罐对压力脉动抑制效果降低。
![]() |
图8 理论质量流量时域波形图 |
![]() |
图9 缓冲罐进出口压力不均匀度与运行频率图 |
4.2 进气缓冲罐体积对压力脉动的影响
图 10为进气缓冲罐进出口压力不均匀度与缓冲罐直径图, 压缩机运行频率为60 Hz。
由图 10a)可以看出, 当进气缓冲罐大小一定时, 排气缓冲罐大小的变化对进气缓冲罐进口处压力脉动影响不大, 差距均在0.35%以内; 随着进气缓冲罐体积的增大, 进气缓冲罐进口处压力不均匀度从4.23%左右减小到1.64%左右, 减小到164/423。
由图 10b)可以看出, 当进气缓冲罐大小一定时, 排气缓冲罐大小的变化对进气缓冲罐出口处压力脉动影响不大, 差距均在0.15%以内; 随着进气缓冲罐体积增大, 进气缓冲罐出口处压力不均匀度从4.6%左右增大到5.13%左右, 增大了1.11倍。
由上可知, 进气缓冲罐能有效抑制进气管路的压力脉动, 进气缓冲罐进口处的压力脉动随着进气缓冲罐体积的增大而减小, 减小到164/423。进气缓冲罐出口处即与压缩机进气口连接处的压力脉动随着进气缓冲罐体积的增大而增大, 但增加的不明显, 只增大了1.11倍。
![]() |
图10 进气缓冲罐进出口压力不均匀度与缓冲罐直径图 |
4.3 排气缓冲罐体积对压力脉动的影响
图 11为排气缓冲罐进出口压力不均匀度与缓冲罐直径图, 压缩机运行频率为60 Hz。
由图 11a)可以看出:当排气缓冲罐大小一定时, 进气缓冲罐大小的变化对排气缓冲罐进口处压力脉动影响不大, 差距均在0.1%以内; 随着排气缓冲罐体积的增加, 排气缓冲罐进口处压力不均匀度从1.85%左右增大到2.5%左右, 增大了1.35倍。由图 11b)可以看出:当排气缓冲罐大小一定时, 进气缓冲罐大小的变化对排气缓冲罐出口处压力脉动影响不大, 差距均在0.17%以内; 随着排气缓冲罐体积的增大, 排气缓冲罐出口处压力不均匀度从1.84%左右减小到0.64%左右, 减小到8/23。
由上可知, 排气缓冲罐能有效抑制排气管路的压力脉动, 排气缓冲罐出口处即与压缩机排气口连接处的压力脉动随着进气缓冲罐的增大而增大, 但增加的不明显, 只增大了1.35倍。排气缓冲罐出口处的压力脉动随着排气缓冲罐体积的增大而减小, 减小到8/23。
![]() |
图11 排气缓冲罐进出口压力不均匀度与缓冲罐直径图 |
5 结论
本文基于有线性阻尼的平面波动理论, 针对有阀线性压缩机管系压力脉动问题进行了有关压缩机运行频率与缓冲罐体积的实验研究, 得出以下结论:
1) 有线性阻尼的平面波动理论可以有效分析压缩机压力脉动问题。通过脉动质量流量公式, 可以将有阀线性压缩机结构与运行频率代入压力脉动系统。采用传递矩阵法可以构造有阀线性压缩机管路缓冲罐压力脉动传递数学模型。
2) 管系压力脉动与压缩机运行频率有关, 随着压缩机运行频率的增大, 管系压力脉动也增大。缓冲罐对压力脉动的抑制作用与压缩机运行频率有关, 随着压缩机运行频率的增大, 缓冲罐对压力脉动抑制效果随之减小。
3) 进排气缓冲罐的压力脉动抑制作用相互独立。当进气缓冲罐大小一定时, 排气缓冲罐大小变化对进气缓冲罐进出口处压力脉动影响不大, 差距均在0.35%和0.15%以内; 当排气缓冲罐大小一定时, 进气缓冲罐大小变化对排气缓冲罐进出口处压力脉动影响不大, 差距均在0.1%和0.17%以内。
4) 进排气缓冲罐能有效抑制进气管路的压力脉动, 缓冲罐体积越大, 压力脉动抑制效果越好。随着进气缓冲罐体积的增大, 进气缓冲罐进口处压力不均匀度从4.23%左右减小到1.64%左右, 减小到164/423。随着排气缓冲罐体积的增大, 排气缓冲罐出口处压力不均匀度从1.84%左右减小到0.64%左右, 减小到8/23。
References
- DIPIRRO M, SHIRRON P, KIMBALL M, et al. Cryocooling technologies for the origins space telescope[J]. Journal of Astronomical Telescopes Instruments and Systems, 2021(1): 011008 [Google Scholar]
- LIANG K, STONE R, HANCOCK W, et al. Comparison between a crank-drive reciprocating compressor and a novel oil-free linear compressor[J]. International Journal of Refrigeration, 2014, 45: 25–34. [Article] [CrossRef] [Google Scholar]
- ZHANG Chuanxin, ZHANG Weiyi, SUN Lifeng, et al. Analysis and reduction of gas pulsation[J]. Compressor Technology, 2014(4): 19–21. [Article] (in Chinese) [Google Scholar]
- MACLAREN J, TRAMSCHEK A B, PASTRANA O F. Advances in numerical methods to solve the equations governing, unsteady gas flow in reciprocating compressor systems[C]//International Compressor Engineering Conference, 1976 [Google Scholar]
- HAN Wenlong, HAN Shengliang, BAI Changqing. Numerical and experimental research on gas pulsation in reciprocating compressor piping system[J]. Journal of Xi'an Jiaotong University, 2013, 47(5): 61–66. [Article] (in Chinese) [Google Scholar]
- LI Yuan, QUAN Kai, WU Rui, et al. Numerical simulation and experimental research on the large pressure pulsation in a reciprocating compressor piping system[J]. Journal of Xi'an Jiaotong University, 2019, 53(11): 20–26. [Article] (in Chinese) [Google Scholar]
- XU Bin, FENG Quanke, YU Xiaoling. Study on pressure pulsation of piping system on reciprocating compressor[J]. Compressor Technology, 2009(3): 1–3. [Article] (in Chinese) [Google Scholar]
- KINSLER L E, FREY A R, Coppens A B, et al. Fundamentals of acoustics[M]. 4th Edition. New York: John Wiley & Sons, 2000 [Google Scholar]
- DANG Xiqi, CHEN Shouwu. Piston compressor airflow pulsation and pipe vibration[M]. Xi'an: Xi'an Jiaotong University Press, 1984 (in Chinese) [Google Scholar]
- SUN Siying, XIA Yongyuan, LI Jinlin. The effect of the buffer positon on airflow pulsation in pipeline[J]. Compressor Technology, 1980(2): 31–34. [Article] (in Chinese) [Google Scholar]
- MING Y, XU Z, LIU L S, et al. Study on the effects of different buffer tank layouts on gas pulsation[C]//The 29th International Congress on Condition Monitoring and Diagnostic Engineering Management, 2016 [Google Scholar]
- MEN Xiaosu, ZHANG Weiyi, ZHAO Jie, et al. Analysis of gas pressure pulsation based on acoustic wave theory and experimental research[J]. Fluid Machinery, 2017, 45(12): 1–7. [Article] (in Chinese) [Google Scholar]
- MA Quyang, YANG Guoan, LI Mengjun. Vibration control in a reciprocating compressor piping system using a radial-exhaust surge tank[J]. Journal of Vibration and Shock, 2019, 38(12): 17–24. [Article] (in Chinese) [Google Scholar]
- HUANG Qi, LI Zicheng, SHA Xinquan. Experimental study on the effect of buffer tank on the gas flow fluctuation of cascade linear compressors[C]//The 15th National Conference on Cryogenic Engineering, 2021 (in Chinese) [Google Scholar]
- CHEN Z C, LIU S S, JIANG Z H, et al. Helium Joule-Thomson cryocooler below 4.5 K for infrared detectors[C]//Earth and Space: From Infrared to Terahertz, 2023 [Google Scholar]
- DONG Caiqian, LIU Shaoshuai, JIANG Zhenhua, et al. Study on precooling temperature and pressure characteristics of 4 K Joule-Thomson cryocooler[J]. CIESC Journal, 2019, 70(12): 4528–4535. [Article] (in Chinese) [Google Scholar]
- SUN Jian. Study on the oil-free linear compressor for vapor compression refrigeration system with kW cooling capacity[D]. Beijing: University of Chinese Academy of Sciences, 2021 (in Chinese) [Google Scholar]
- DING L, ZHANG H, LIU S S, et al. Output characteristics of a miniature linear compressor at hundred-hertz with different connecting tubes[J]. International Journal of Refrigeration, 2021, 124: 114–121. [Article] [CrossRef] [Google Scholar]
All Tables
All Figures
![]() |
图1 有阀线性压缩机结构图 |
| In the text | |
![]() |
图2 压力不均匀度与温度波动图 |
| In the text | |
![]() |
图3 有阀线性压缩机压缩腔示意图 |
| In the text | |
![]() |
图4 体积单元示意图 |
| In the text | |
![]() |
图5 管道-容器-管道元件示意图 |
| In the text | |
![]() |
图6 有阀线性压缩机压力脉动实验流程图与实物图 |
| In the text | |
![]() |
图7 缓冲罐与填充物实物图 |
| In the text | |
![]() |
图8 理论质量流量时域波形图 |
| In the text | |
![]() |
图9 缓冲罐进出口压力不均匀度与运行频率图 |
| In the text | |
![]() |
图10 进气缓冲罐进出口压力不均匀度与缓冲罐直径图 |
| In the text | |
![]() |
图11 排气缓冲罐进出口压力不均匀度与缓冲罐直径图 |
| In the text | |
Current usage metrics show cumulative count of Article Views (full-text article views including HTML views, PDF and ePub downloads, according to the available data) and Abstracts Views on Vision4Press platform.
Data correspond to usage on the plateform after 2015. The current usage metrics is available 48-96 hours after online publication and is updated daily on week days.
Initial download of the metrics may take a while.











