| Issue |
JNWPU
Volume 42, Number 2, April 2024
|
|
|---|---|---|
| Page(s) | 269 - 277 | |
| DOI | https://doi.org/10.1051/jnwpu/20244220269 | |
| Published online | 30 May 2024 | |
Study of the influence of structural parameters on the operating characteristics of a new type of surge soot blower in the closed-ended system
结构参数对闭口体系新型激波吹灰器工作特性的影响研究
School of Power and Energy, Northwestern Polytechnical University, Xi'an 710129, China
Received:
16
March
2023
Abstract
Boiler soot blower can effectively realize the removal of the accumulated ash inside the boiler, improve the operating efficiency of the boiler, which is of great significance to the safe operation of the boilerSPG-type surge soot blower is a new type of high-performance soot blower with a closed-port system which is developed on the basis of the traditional surge soot blowers.The use of numerical methods to validate the feasibility and analyze the working characteristics of this device can provide a reference for the practical application and improvement. Based on CFD technology, the SPG-type surge soot blower is taken as the research object, and the real movement process of the piston inside the device is simulated using dynamic mesh technology, and the dynamic process of continuous change of the flow field inside the SPG-type surge soot blower is simulated and calculated using Fluent software, and the structural parameters of the nozzle, the combustion chamber, and the pressure accumulator are adjusted, so as to obtain the influence law of changes in structural parameters of each component on the exhaust characteristics by monitoring at the outlet. By adjusting the structural parameters of the nozzle, combustion chamber and pressure accumulator, the structural parameters of each component are monitored at the outlet to obtain the influence law of the change on the exhaust characteristics and the working characteristics. The results show that: when the nozzle L/D ratio is increased from 2 to 4, the peak value of the outlet parameter shows a hysteresis phenomenon, but the peak value of the pressure and the peak value of the velocity get a significant increase, and the expansion loss can be reduced by changing the expansion section of the nozzle to a straight one, so it is a better solution to increase the nozzle L/D ratio appropriately and connect the straight pipe directly; the shortening of the spacing between radial and axial wall surfaces of the combustion chamber can increase the peak value of the outlet pressure, but the increase of the peak value of the pressure can be greater by shortening the axial distance. The increase in peak pressure is greater; in the pressure accumulator, removing the damping device increases the pressure less, and cannot slow down the piston reset, so that the discharge gas is reduced, and after removing the restrictor, the nozzle outlet pressure is greatly increased, but its peak duration becomes shorter.
摘要
锅炉吹灰器可以有效实现清除锅炉内部的积灰, 提高锅炉运行效率, 对锅炉安全运行具有重要意义。SPG型激波吹灰器是在传统激波吹灰器基础上发展而来的闭口体系新型高性能吹灰器, 使用数值方法对该装置的可行性进行验证, 并分析工作特性, 可以为实际应用与改进提供参考。基于CFD技术, 将SPG型激波吹灰器作为研究对象, 使用动网格技术对设备内活塞的真实运动过程进行仿真模拟, 利用Fluent软件模拟计算SPG型激波吹灰器内部流场的连续变化这一动态过程, 并通过调整喷管、燃烧室以及压力蓄能器的结构参数, 在出口处监测得到各部件结构参数变化对排气特性的影响规律, 获取其工作特性。结果表明: 喷管的长径比从2增加到4时, 出口参数峰值出现滞后现象, 但压力峰值与速度峰值获得显著提升, 且喷管的扩张段改为直管可以降低膨胀损失, 适当增加喷管长径比并直接连接直管是一种较好的方案; 燃烧室径向和轴向壁面之间的间距缩短均可使出口压力峰值提高, 但轴向距离缩短压力峰值增加幅度更大; 在压力蓄能器中, 去除阻尼装置压力提升较少, 且无法减缓活塞复位, 使排出气体减少, 去除限位器后喷管出口压力大幅提高, 但其峰值持续时间变短。
Key words: SPG shock wave dust collector / internal flow field / peak outlet pressure / numerical simulation
关键字 : SPG型激波吹灰器 / 内部流场 / 出口压力峰值 / 数值模拟
© 2024 Journal of Northwestern Polytechnical University. All rights reserved.
This is an Open Access article distributed under the terms of the Creative Commons Attribution License (https://creativecommons.org/licenses/by/4.0), which permits unrestricted use, distribution, and reproduction in any medium, provided the original work is properly cited.
锅炉作为能量转换设备, 在能源、化工、轻纺、交通运输及军工等多个领域获得了大量的应用, 在国民经济中起着基础支撑作用[1]。但是这类设备在使用的过程中不可避免会出现积灰与结焦, 即锅炉所排出烟气中含有的杂质在壁面上附着、凝结的现象。随着设备中积灰、结焦程度的加深, 会降低受热面的换热效果、阻碍内部气体的流动以及提高出口烟气温度, 最终导致热效率降低与投入成本增加[2]。停止锅炉运行去清灰会导致高额经济损失, 因此定期使用除尘装置对锅炉进行清洁十分必要[3]。
针对炉渣的去除机理, 多伦多大学[4-5]主要研究了吹灰器射流动力学以及吹灰器从锅炉管中去除沉积物的不同机制。研究发现, 沉积物可以通过至少4种不同的机制去除, 即脆性破碎、脱粘、振动以及热冲击, 其中脆性破裂和脱粘可以去除大多数沉积物, 因而更为重要。决定脆性沉积物破裂的2个重要因素是吹灰器射流在沉积物表面上产生的最大压力以及沉积物的拉伸强度。目前在炉渣的破碎机理方面, 美国学者[6-7]通过研究获得了有关吹灰器射流动力学以及吹灰器射流、管和沉积物之间相互作用的基本信息。研究吹灰器射流与沉积物相互作用并破坏沉积物的潜在机制, 使用高速相机捕获并分析了由此产生的沉积物分解过程, 并可视化了超声速射流撞击到单个管以及排管上时发生的相互作用。在明确除尘机理之后, 需要对除尘效果的评判标准进行确定, 有学者初步提出压力峰值、压力上升速率和最大反向加速度3个较为广泛认可的标准[8]。
在除尘机理研究的基础上, 国内外发展的除尘装置包括3种类型: 蒸汽吹灰器、声波吹灰器和激波吹灰器。与另外2种吹灰器相比, 激波吹灰器出现较晚, 但因其性能优良, 获得迅速发展。激波吹灰器利用可燃气体的剧烈爆炸产生高速气流, 在流动过程中形成激波, 经过喷管后, 压力和速度进一步提高。激波吹灰器进行除尘时, 使用的是高温高压燃气, 兼顾了高温的热裂解作用以及高声压级声波反复震荡所带来的疲劳断裂效果[9], 因而除尘效果较好, 在除尘领域具有极为广阔的前景。但传统激波吹灰器在应用时, 仍未达到理想除灰效果, 有待进一步发展。曹义国[10]从设备布局出发, 提出了树状管路分布式三管热爆脉冲吹灰器。陈海军等[11]在现有设备基础上, 为提高除尘性能, 设计了一种利用文丘里混合乙炔和空气的燃气脉冲吹灰器。吹灰设备也已获得了实际应用, 焦志武[12]调研了250 t/d机械炉排垃圾焚烧余热锅炉中激波吹灰器的运用, 对吹灰器的作用机理、布置位置以及实际运行情况进行了介绍。上述研究都基于传统激波吹灰器, 均为开口体系, 排气压力较低, 导致除尘效果不佳。
上述研究结果表明, 传统激波吹灰器在实际应用中出现损坏清灰壁面和性能较低等缺点。为此, 瑞士的研究机构提出了一种新型用于除尘的冲击脉冲发生器(shock pulse generator, SPG)[13], SPG型激波吹灰器使用的是闭口体系, 比传统激波吹灰器的出口压力高, 除尘效果更好, 且清灰吹扫时不使用中间介质, 可以保护被吹扫壁面。虽然SPG型激波吹灰器直接通过工程应用验证了其性能, 但其结构变化对工作特性的影响不明。因此, 本文基于CFD技术, 将SPG型激波吹灰器作为研究对象, 使用Fluent软件模拟SPG型激波吹灰器内部流场的连续变化这一动态过程, 调整不同部件的结构参数研究排气参数变化规律, 获取其工作特性, 使用数值方法验证该装置可行性, 指导实际应用, 为国内后期基于该原理的装置研制提供基础。
1 SPG型激波吹灰器工作原理
1.1 SPG型激波吹灰器模型
图 1为吹灰器结构示意图, 包括压力蓄能器、活塞、燃烧室以及喷管等主要部件。
压力蓄能器作为控制活塞运动的主要部件, 内部填充不参与反应的高压气体, 其与燃烧室内气体的压差作为推动活塞运动的动力, 其中设有限位器, 用于限制活塞向压力蓄能器一侧移动的距离, 制造运动的上死点; 燃烧室作为反应的主要发生部位, 内部填充燃气与氧化气, 点燃后发生剧烈反应, 内部压力急剧增大, 从而推动活塞运动; 活塞用于分隔燃烧室与压力蓄能器, 使这两者中的气体不能连通, 并且后端面用于分隔燃烧室与喷管, 保证活塞移动之前燃烧室与活塞之间完全阻隔; 喷管对从燃烧室喷出的气体起到调节作用, 用于改善排出气体的压力、温度以及速度等参数, 并且产生激波, 提高除尘效果; 在燃烧室壁面上设置用于填充气体的进气孔与点燃所用的火花塞。为了获得更好的点火效果以及增强燃烧的剧烈程度, 参考爆震燃烧的设计[14], 在燃烧室上设置预燃室, 优化点火性能; 在压力蓄能器中增设阻尼装置, 使活塞向靠近压力蓄能器一侧移动时不受阻碍, 向远离压力蓄能器一侧运动时受到阻碍, 减慢活塞复位的速度, 确保更多的反应气向外喷出, 提高除尘水平。选取压力蓄能器与燃烧室容积之比为1∶17.64, 活塞长240 mm, 喷管喉部半径与燃烧室出口半径之比为1∶1.61。
![]() |
图1 SPG型激波吹灰器二维模型图 |
1.2 SPG型激波吹灰器工作循环过程
图 2为主要工作流程: 首先在压力蓄能器内通入一定的高压空气, 压迫活塞, 使其对喷管起到密封作用, 随后经由进气孔将乙炔气和空气按照设定的压强通入燃烧室内, 静置一定时间, 待其充分混合, 通过点火装置率先点燃预燃室, 形成爆轰, 扩散至整个燃烧室, 剧烈燃烧导致压力升高, 推动活塞向压力蓄能器一侧移动, 打开喷管入口, 高温高压的反应气从喷管喷出, 在压力蓄能器的调节下, 喷出气体具备更高的压力与速度, 最后伴随着燃烧室内压力下降, 活塞逐渐复位, 完成一个循环。
![]() |
图2 工作循环图 |
2 数值方法
2.1 计算域
本文使用Fluent软件对SPG型激波吹灰器的内部流场进行二维数值模拟, 为了减小二维模型与实际情况的误差, 根据包括喷管、燃烧室在内的多个部件实际体积进行换算, 对二维模型的计算深度进行设置, 计算区域如图 3所示, 使用Mesh软件建立网格, 模型内部的活塞是运动部件, 因此需要使用动网格技术。结合动网格的分布, 对网格区域进行划分, 分为非运动区域与运动区域, 对运动区域边界进行网格加密。在喷管出口处设立监测面, 监测喷管出口气流状态参数, 处理方法为: 选择平面记录, 使用质量加权平均的方法计算, 储存监测面计算得到的出口状态参数随时间变化数据, 用于流场分析。
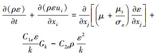
计算时对二维非定常N-S方程采用Fluent软件的压力求解器求解。近壁面采用标准壁面函数处理, 湍流模型采用标准k-ε模型[15],为
(1)
(2)
式中: k为湍动能; ε为湍流耗散率; μt=ρCμk2/ε;ui为时均速度;C1ε=1.44;C2ε=1.92;Cμ=0.99;σk=1.0;σε=1.3。
非定常数值模拟问题采用PISO(pressure implicit split operator)算法求解。空间离散格式采用二阶迎风格式, 时间离散格式采用一阶隐式格式。非稳态计算在计算中根据运动过程的变化对控制因子进行调节, 随着模型内部网格的重构, 适当降低控制因子的数值。
![]() |
图3 计算区域 |
2.2 边界条件
模拟计算时, 乙炔作为燃料, 空气为氧化剂, 只考虑单次过程, 因此不设置进口边界, 喷管出口位置设定为压力出口边界, 给定1个标准大气压作为出口压力。模型中所有的边界均为固体壁面, 且设置为绝热无滑移。在燃烧室内填充乙炔与空气的均匀混合气, 乙炔的体积占比为10%, 且分别在压力蓄能器侧和燃烧室侧填充初始压力为7.5个标准大气压, 燃烧室侧与压力蓄能器侧有效面积比为1∶5.5, 因此可以保证压力蓄能器侧压力更高, 活塞固定不动。在预燃室中远离燃烧室侧设置半径2 mm, 温度1 500 K, 压力为15个标准大气压的高温高压区进行点火。
2.3 网格无关性验证
本节对模型的网格无关性进行验证。依据前文所述的网格划分方法, 分别选取网格尺寸为: 1, 0.5和0.3 mm。根据不同的网格尺寸, 对模型进行冷态模拟, 监测喷管出口处的压力, 并根据时间绘制成相应曲线, 得到不同的模拟结果如图 4所示。
根据数值模拟结果可知, 当网格尺寸小于0.5 mm时, 模拟结果的最大偏差为4.8%, 可以满足计算要求。因此, 从提高效率、减少计算量的角度考虑, 选择网格尺寸为0.5 mm。
![]() |
图4 网格无关性验证 |
2.4 主要部件结构参数设计
一般清灰效果采用的评判指标包括最大反向加速度、冲量密度、压力峰值和压力上升速率。其中最大反向加速度与冲量密度的描述对象均为除尘壁面, 而本文的研究主要针对吹灰器工作特性, 因此主要采用压力峰值与压力上升速率作为评价指标, 其中压力上升速率的选取是围绕清晰刻画压力峰值的形成过程来进行的。
以瑞士研究机构的专利为参照, 设计各部件初始结构参数, 即表 1中结构1, 基于国内外学者对乙炔爆炸过程的研究[16]以及对点火位置的相关考虑[17], 结合吹灰器的物理工作过程, 主要对压力蓄能器、燃烧室以及喷管的结构参数进行调整, 分别研究其结构参数变化对排气特性的影响, 具体改变的结构参数如图 5所示。
其中, 压力蓄能器中调整的结构包括阻尼装置和限位器; a和b分别指燃烧室的轴向宽度和径向直径; D表示燃烧室出口直径, L表示喷管收缩段长度, 喷管长径比为L/D, 为了使其具备可比性, 控制燃烧室出口面积与喷管喉部面积不变, 具体结构参数如表 1所示。
结构参数
![]() |
图5 不同部件的结构参数 |
3 计算结果分析
3.1 非定常流场压力演化
选取结构1为基准算例, 展示整个计算域内流场的压力变化情况, 如图 6所示, 积分的时间步长为1×10-7 s。t=0时刻开始在预燃室内点火, 预燃室内压力开始上升, 并向外发展; 在t=0.10 ms时, 增大的压力发展到活塞处, 高压反应气开始推动活塞运动, 使活塞与喷管之间打开缝隙, 气流以环缝射流方式喷出。t=0.20 ms时, 从环缝喷出的气流在中心处交汇, 形成局部高压区; 此后随着活塞与喷管之间的间隙逐渐增大, 进入喷管的气流也不断增多。t=1.56 ms时, 高压气体覆盖整个喷管, 并到达出口; 随着活塞的移动, 压力蓄能器与喷管内的压力分布不断演变。t=2.20 ms时, 活塞到达最大位移处, 各部分压力也趋于稳定。t=2.78 ms时, 各部分的压力分布均匀, 在活塞与喷管之间的环缝中心处形成锥形高压区, 在喷管收缩段后半部分由于激波的影响同样生成了稳定的高压区, 这两处高压区共同作用于从环缝中喷出的气流, 从而对喷管出口的压力峰值产生重要影响; 最后, 由于乙炔与空气燃烧后不断向外喷出, 气体总量减少, 燃烧室内压力达到峰值后开始降低, 当其降低到一定程度时, 压力蓄能器推动活塞开始复位。t=8.32 ms时, 活塞完全复位, 结束一个循环。在喷管内形成的激波是由于活塞移动导致两侧高低压气体瞬间接触形成的, 其强度主要取决于活塞移动时高低压气体的接触时间以及压差。
![]() |
图6 不同时刻设备内压力分布情况 |
3.2 各部件结构参数对排气特性影响分析
3.2.1 喷管结构参数对排气特性影响分析
研究喷管的不同结构对SPG型激波吹灰器排气压力、温度以及速度的影响, 将结构1, 2, 3对比分析, 结果如图 7所示。
图 7a)为3种喷管结构出口压力的变化情况。不同压力曲线均出现了2个峰值, 由于压力首次到达喷管出口与喷管内形成稳定激波之间会有一定时间间隔, 所以会出现2个峰值。长径比为4的情况下, 喷管长度增加导致压力传播时间变长, 因此2个压力峰值时间差变大。长径比为2的情况下, 2个压力峰值比较接近, 未产生明显差异, 证明其管内激波影响较小, 气流参数未出现显著的突跃性变化。此外, 计算结果表明将扩张段改为直管后整个周期内的压力升高, 其压力峰值明显高于另外2种结构, 达到了1.28 MPa。原因是将扩张段改为直管, 抑制了在扩张段形成膨胀波, 减小了气流经过膨胀波时带来的熵增, 进而减少了内能损耗, 导致出口压力升高。
图 7b)~7c)为3种结构的出口温度以及速度情况。SPG型激波吹灰器在除尘时虽主要依靠压力波在炉内的反复震荡以及对壁面灰渣的冲击作用, 但高温燃气的加热裂解也可以产生除尘作用, 因此排气温度和速度也是重要参数。在保证点火初始能量和燃气总量相同的条件下, 出口燃气压力、温度越高, 对应的内能越高, 从而出口动能下降。另外, 使用直管时, 由于燃气内能损失较少, 出口压力和温度较高, 速度较低。
单独分析长径比的变化, 可以发现: 随着长径比增加, 即收缩段长度变长, 出口压力峰值、温度峰值以及速度峰值均出现滞后现象, 且较长的传播路径, 使气体流动时可以充分发展, 进而压力峰值与速度峰值获得显著提升, 长径比从2增加到4时, 压力峰值提高12%, 速度峰值提高17%, 更加满足设计目标。因此, 在合适范围内, 适当增加喷管长径比有利于得到更高的压力峰值, 同时在确定收缩段长径比后, 将收缩段后的扩张喷管+直管的模式改为直接使用直管, 可以有效减少膨胀损失, 提高压力峰值, 即适当增加喷管的长径比并在其后端直接连接直管, 能够得到更高的压力峰值, 可以作为改进方向。
![]() |
图7 不同喷管出口压力、温度以及速度变化 |
3.2.2 燃烧室结构参数对排气特性影响分析
针对燃烧室不同结构参数对SPG型激波吹灰器排气特性的影响, 对结构1, 4, 5的排气压力、温度以及速度进行了对比分析, 仿真结果如图 8所示。
图 8a)所示为3种燃烧室结构下的出口压力变化。可以发现结构4, 5均出现了明显的双峰值, 说明缩短燃烧室的径向与轴向壁面间距都使其内部反应的剧烈程度增加, 提高了激波的强度, 在其稳定形成后, 大幅增加了喷管出口的压力峰值。此外, 在保证燃烧室体积不变的情况下, 结构4将轴向壁面间距(前后两壁面之间的距离)缩短20 mm, 结构5将径向壁面间距(下壁面与活塞之间的距离)缩短20 mm, 2种结构均可以增大压力峰值, 但是结构4压力峰值更大, 这是由于结构5虽然缩短了燃烧室径向距离, 使反应更加剧烈并减少了反应气到达出口的距离, 压力峰值提早出现, 但结构4减少燃烧室轴向距离, 使两预燃室更加接近, 从预燃室中喷出的燃气相互作用的程度更强, 因而形成了更高的出口压力, 所以缩短燃烧室轴向距离效果更好, 工程应用时可以适当减少两预燃室之间的轴向间距, 有利于形成更高的出口压力峰值。
图 8b)~8c)为不同燃烧室排气温度和速度分布。120 mm×216 mm的结构中, 减少两预燃室间的间距, 加剧了反应, 在压力提高的同时也伴随着温度的上升。同时基于能量守恒, 内能的提高带来动能的减少, 因此该结构的喷管出口速度最小。
![]() |
图8 不同燃烧室出口压力、温度以及速度变化 |
3.2.3 压力蓄能器结构参数对排气特性影响分析
研究压力蓄能器的不同结构对SPG型激波吹灰器排气压力、温度以及速度的影响, 结构1, 6, 7的数值计算结果如图 9所示。
图 9a)为不同结构下的吹灰器出口压力变化。结构1, 6的区别为有无阻尼装置,将二者进行对比, 发现后者压力峰值更高, 这是由于取消阻尼装置减小了活塞移动过程中的阻滞效果, 从而减小了能量损耗, 引起出口压力的升高。但在图 9b)~9c)中, 取消阻尼装置未对出口温度以及速度带来较大影响。此外, 阻尼装置能够减慢活塞复位从而使装置释放更多反应气, 因此, 去除阻尼装置并不会对吹灰器工作特性产生明显的影响。
根据有无限位器的不同, 将结构1, 7进行对比, 在图 9a)中可发现前者的排气压力显著高于后者。原因是该结构去除了活塞的限位装置, 使活塞完全依靠两侧气体的压力波动来实现静止与移动。燃烧室侧的气体可以更进一步膨胀, 得到更高的压力值, 并且推动活塞运动时, 无限位器的制动, 会较高程度地减少能量损失, 形成更高的压力峰值。由于单纯依靠两侧气体的压力差来实现活塞的制动, 随着燃烧室内反应气不断向外喷出, 活塞两侧气体的平衡很快被打破, 活塞以更快的速度复位, 因而压力峰值维持时间较短, 在图 9b)~9c)中可看出温度峰值保持同样的快速衰减, 速度峰值则由于压力与温度的提升而有所降低。
![]() |
图9 不同压力蓄能器出口压力、温度以及速度变化 |
3.2.4 不同结构参数对比分析
表 2为7种吹灰器结构喷管出口压力峰值与压力上升速率(指从压力曲线最高峰前波谷时刻到最高峰值时刻内,压力曲线的上升速率)。压力峰值与压力上升速率越大越有利于除尘, 可以看出结构7压力峰值与压力上升速率均大于其他结构方案, 根据评价指标可以判断结构7应能获得更好的除尘效果。
各方案结果
4 结论
本文结合动网格技术对SPG型激波吹灰器内部流场的动态过程进行了数值模拟, 分析了内部流动过程, 研究了不同部件结构参数对排气特性的影响, 获得了吹灰器的工作特性, 结果表明:
1) 活塞的移动使其两侧高低压气体瞬间接触形成高强度激波, 并且移动后出现的高速环缝射流使喷管内形成了更为复杂的激波区域, 可以有效提高压力峰值。
2) 喷管的长径比从2增加到4时, 由于长度增加, 出口参数峰值出现滞后现象, 但压力峰值与速度峰值获得显著提升, 压力峰值提高12%, 速度峰值提高17%, 且喷管的扩张段改为直管可以降低膨胀损失, 减小反应气能量损失; 适当增加喷管长径比并直接连接直管是一种较好的方案。
3) 燃烧室径向和轴向间距分别缩短20 mm, 排气压力峰值均提高, 但缩短轴向距离压力峰值提高更多。
4) 去除压力蓄能器中的阻尼装置和限位器喷管出口压力峰值提高, 但去除阻尼装置压力提升较少, 且无法减缓活塞复位, 使排出气体减少; 去除限位器能有效提高喷管出口压力, 但其峰值持续时间变短。
5) 所分析的结构中压力蓄能器为有阻尼装置无限位器、燃烧室为140 mm×185mm、喷管为长径比2的压力峰值最高, 压力上升速率最大, 根据指标可以获得更好的除尘效果。
References
- CHENG Zhewu, TONG Shuiguang, TONG Zheming, et al. An overview of digital design and digital twin for industrial boilers[J]. Chinese Journal of Zhejiang University, 2021, 55(8): 1518–1528 [Article] (in Chinese) [Google Scholar]
- GAO J, MASOSHITA M, HORIGVCHI G, et al. Toward stable operation of sewage sludge incineration plants: the use of alumina nanoparticles to suppress adhesion of fly ash[J]. Energy & Fuels, 2019, 33(9): 9363–9366 [CrossRef] [Google Scholar]
- ZHU Yudong, YAN Weiping, OU Zongxian. Application of entropy yield analysis in boiler soot blowing optimization model[J]. Chinese Journal of Electrical Engineering, 2008(8): 13–17 [Article] (in Chinese) [Google Scholar]
- JAMEEL M I, CORMACK D E, TRAN H, et al. Sootblower optimization part 1: fundamental hydrodynamics of a sootblower nozzle and jet[J]. TAPPI Journal, 1994, 77(5): 135–142 [Google Scholar]
- KALIAZINE A, CORMACK D E, EBRAHIMI-SABET A, et al. The mechanics of deposit removal in kraft recovery boilers[J]. Journal of Pulp and Paper Science, 1999, 25(12): 418–424 [Google Scholar]
- ESLAMIAN M, POPHALI A, BUSSMANN M, et al. Breakup of brittle deposits by supersonic air jet: the effects of varying jet and deposit characteristics[J]. International Journal of Impact Engineering, 2009, 36(2): 199–209 [Article] [CrossRef] [Google Scholar]
- POPHALI A, ESLAMIAN M, KALIAZINE A, et al. Breakup mechanisms of brittle deposits in kraft recovery boilers—a fundamental study[J]. TAPPI Journal, 2009, 8(9): 4–9 [Article] [CrossRef] [Google Scholar]
- CHEN Lonshu, TAO Hui. Handbook of bayhouse dust removal technology[M]. Beijing: Machinery Industry Press, 2010: 99–103 (in Chinese) [Google Scholar]
- GUO Cean, CHEN Minghui, LIAO Yimin, et al. Study on the protection mechanism of enamel-based composite coatings under simulated gas thermal shock conditions[J]. Journal of Metals, 2018, 54(12): 1825–1832 [Article] (in Chinese) [Google Scholar]
- 曹义国. 树状管路分布式三管热爆脉冲吹灰器: 中国, CN201225633[P]. 2009-04-22 [Google Scholar]
- 陈海军, 魏小林, 吴东垠. 一种利用文丘里混合乙炔和空气的燃气脉冲吹灰器: 中国, CN211316217U[P]. 2020-08-21 [Google Scholar]
- JIAO Zhiwu. The use of a surge soot blower in a 250 t/d mechanical grate waste incineration waste heat boiler[J]. Energy and Energy Efficiency, 2018(3): 76–78 [Article] (in Chinese) [Google Scholar]
- 保罗·米勒, 哈拉尔德·赫茨. 用于产生高振幅的压力波的设备和方法: 中国, CN112074897A [P]. 2020-12-11 [Google Scholar]
- CHEN Xinggu, WANG Zhiwu, ZHENG Longxi, et al. Numerical simulation study of the effect of pre-blast tube arrangement on detonation characteristics[J]. Journal of Northwestern Polytechnic University, 2013, 31(5): 737–741 [Article] (in Chinese) [Google Scholar]
- ZHANG Shishuai. Computational fluid dynamics and its applications-principles and applications of CFD software[M]. Hubei: Huazhong University of Science and Technology Press, 2011 (in Chinese) [Google Scholar]
- YAN Qinghua. Numericul sinulation f combustible gas explosion process in shpherical closed ressel[D]. Dalian: Dalian University of Technology, 2004 (in Chinese) [Google Scholar]
- CHENMingxianGUO Jin, LUO Feiyun, et al. Study on the effect of ignition position on the structural response of methane-air premixed explosion relief vessel[J]. Journal of Xi'an University of Science and Technology, 2021, 41(5): 800–807 [Article] (in Chinese) [Google Scholar]
All Tables
All Figures
![]() |
图1 SPG型激波吹灰器二维模型图 |
| In the text | |
![]() |
图2 工作循环图 |
| In the text | |
![]() |
图3 计算区域 |
| In the text | |
![]() |
图4 网格无关性验证 |
| In the text | |
![]() |
图5 不同部件的结构参数 |
| In the text | |
![]() |
图6 不同时刻设备内压力分布情况 |
| In the text | |
![]() |
图7 不同喷管出口压力、温度以及速度变化 |
| In the text | |
![]() |
图8 不同燃烧室出口压力、温度以及速度变化 |
| In the text | |
![]() |
图9 不同压力蓄能器出口压力、温度以及速度变化 |
| In the text | |
Current usage metrics show cumulative count of Article Views (full-text article views including HTML views, PDF and ePub downloads, according to the available data) and Abstracts Views on Vision4Press platform.
Data correspond to usage on the plateform after 2015. The current usage metrics is available 48-96 hours after online publication and is updated daily on week days.
Initial download of the metrics may take a while.









