| Issue |
JNWPU
Volume 42, Number 2, April 2024
|
|
|---|---|---|
| Page(s) | 260 - 268 | |
| DOI | https://doi.org/10.1051/jnwpu/20244220260 | |
| Published online | 30 May 2024 | |
Study on multi-channel air cooling thermal management of prismatic power battery pack
方形动力电池组多风道热管理研究
School of Power and Energy, Northwestern Polytechnical University, Xi'an 710129, China
Received:
28
March
2023
Abstract
In this paper, a multi-channel air cooling method has been proposed for the prismatic power battery thermal management system by separating the original one channel into several using windshield, enhancing the heat dissipation capacity of the traditional air cooling system, improving the temperature uniformity of the battery pack. In this study, the temperature increment of the lithium cobalt oxide battery caused by the discharging and the relationship between the electric resistance and the depth of discharge (DOD) have been observed experimentally, furthermore, the cooling characteristics of the multi-channel thermal management system has been studied numerically. As a result, the heat dissipation effectiveness of 3 channels U type cooling system has been found is superior to others. For instance, the maximum temperature and the maximum temperature difference decrease 8.4 K and 12.4 K respectively for the 0.5 m/s air flow velocity, whereas for the case of 5 m/s air flow velocity, both the above 2 values decrease 5.3 K. The maximum temperature and the maximum temperature difference of the battery pack maintain a value in a reasonable range.
摘要
针对传统风冷式电池热管理系统的散热能力不足、电池组整体均温性较差的问题, 提出了一种分层多风道风冷式冷却方法, 采用挡风板将单风道系统分割为多风道系统, 建立了多风道动力电池热管理系统。通过实验方法测量了钴酸锂电池的放电温升以及电阻与放电深度的关系, 并针对多风道电池热管理模型进行了数值计算研究。结果表明, 三风道U型热管理系统的散热效果优于其他热管理系统。当冷却空气流速为0.5 m/s时, 三风道U型电池热管理系统的最高温度降低8.4 K, 最大温差减小12.4 K, 电池组均温性提高。当冷却空气流速为5 m/s时, 三风道U型电池热管理系统的最高温度及温差均可以降低5.3 K。使电池组的最高温度和最大温差保持在合理范围内。
Key words: prismatic power battery / air cooling / battery pack / multi-channel thermal management
关键字 : 方形动力电池 / 风冷 / 电池包 / 多风道热管理
© 2024 Journal of Northwestern Polytechnical University. All rights reserved.
This is an Open Access article distributed under the terms of the Creative Commons Attribution License (https://creativecommons.org/licenses/by/4.0), which permits unrestricted use, distribution, and reproduction in any medium, provided the original work is properly cited.
随着碳中和理念的提出, 电动汽车行业发展迅速, 锂离子电池由于其工作性能稳定、能量密度与功率密度高、寿命长、质量轻等优点, 被广泛用作电动汽车动力源[1-3]。但是, 锂离子电池的性能和寿命与工作温度紧密相关, 锂电池正常的工作温度应控制在25~40 ℃之间[4], 且电池组的最大温差应保持在5 ℃以内[5]。电池组温度过高或温差过大都会影响电池的使用寿命, 甚至会导致电池发生起火、爆炸等事故, 电池组温度过低会使电池内阻变大, 从而导致电池容量减少、放电效率降低[6]。因此发展电池热管理技术成为了提升动力电池工作性能和安全性的重要技术手段。
电池热管理系统根据冷却工质的不同可分为空气冷却系统、液体冷却系统、相变材料冷却系统(PCM)和热管冷却系统[7]。李潇等[8]为了提高电池包的散热能力和电池包内电池组的温度一致性, 提出了一种基于对角双向流道结构的液冷板新型设计方案, 通过数值模拟研究表明, 采用该流道结构后, 电池组的温度均匀性显著增强, 最大温差可降低至1℃以内。冯能莲等[9]为圆柱形锂离子电池组设计了一种蜂巢式液冷电池模块, 通过实验研究表明, 蜂巢式液冷模块强化了冷却液与电池间的换热效果, 增强了电池包热管理系统的冷却性能。赵佳腾等[10]采用数值模拟的方法, 分析了采用相变材料(PCM)冷却时, 圆柱形动力电池组最高温度和温差的变化。结果表明, 在电池组中填充相变材料后, 电池组的最高温度随时间呈现先明显增加后逐渐平缓的趋势, 电池组的最高温度和温差得到优化。李扬等[11]采用数值模拟的方法, 研究了在多孔骨架结构空隙中填充相变材料对电池散热性能的影响, 结果表明在多孔介质中填充相变材料可以有效提高电池组的散热效率, 降低电池表面温度。
相比于液冷式和相变材料热管理方式, 传统的风冷式电池热管理方式由于其冷却工质为空气, 导热性能和换热能力相比水、煤油等液体工质差距很大。因此在电池进行大倍率充放电时, 空气往往不能及时带走电池产生的热量, 造成电池包温度过高、温差过大的情况。但同时空气冷却热管理方式因为其安全性高、工程造价低、结构简单等优点得到了广泛应用[12]。
国内外关于风冷式电池热管理系统的研究主要集中在电池包空气进出口位置的布置[13]、泄风孔位置的布置[14]、导流板形状的优化[15]、电池的排列布置[1]与电池包内扰流结构的布置[16-17]等。但这些研究内容大多都是在单一风道电池包构型基础上展开的, 很少有人关注电池包风道对电池热管理性能的影响。因此, 本文采用实验和数值模拟的方法提出了一种多风道电池热管理系统, 通过实验研究了单体电池的热特性和生热速率, 采用数值模拟研究了多风道电池热管理系统的控温性能。
1 计算模型及内容
1.1 多风道电池热管理模型
在图 1a)所示的单风道U型、Z型电池热管理模型基础上, 本文用图 1b)所示的隔板将单风道热管理系统分隔为多风道热管理系统, 如图 1c)所示。多风道热管理系统由于各风道冷却风的进出口相对独立, 可以自由设置各流道冷却风的进出口位置, 也可以根据电池包内电池的温度分布调节各流道冷却介质流量。且增设挡板后, 冷却空气一方面可以与电池表面发生直接换热, 另一方面可以通过挡板与电池进行间质换热, 从而增强电池包整体的散热性能。
图 1所示电池包中布置有5块方形动力电池, 其中单体电池尺寸为Lb×Wb×Hb=8.4 mm×42 mm×97 mm, 电池包计算域的主体尺寸为Lp × Wp × Hp= 102 mm×62 mm×117 mm, 冷却空气进出口的尺寸为Lw×Ww×Hw=15 mm×62 mm×5 mm, 电池间距D1=10 mm, 电池与四周壁面间距D2=10 mm, 隔板厚度D3=2 mm。
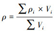
计算模型中的电池是钴酸锂电池, 其材料属性如表 1所示。隔板材料为铝, 其导热系数、密度和比热容分别为202.4 W/(m·K), 2 719 kg/m3, 871 J/(kg·K); 冷却介质为空气, 其导热系数、密度和比热容分别为0.024 2 W/(m·K), 1.225 kg/m3, 1 006.43 J/(kg·K), 冷却空气和环境的初始温度为294.75 K。
表 1中电池的密度、比热容和热导率是将电池内部多种材料做平均处理后得到的结果
(1)
(2)
(3)
式中:ρ, c, λ分别表示电池的平均密度、平均比热容和平均热导率; ρi, ci, λi, Vi, mi, Li表示电池各组分材料的密度、比热容、热导率、质量和厚度。
![]() |
图1 多风道电池包结构 |
钴酸锂电池参数
1.2 计算内容
基于前述的物理计算模型和电池参数, 本文对单体钴酸锂电池在不同放电倍率下的发热率和温升进行了实验测量, 通过实验和数值模拟对比了单体电池在各个工况下的温升情况。并根据建立的电池发热模型对不同构型电池热管理系统在不同冷却风速下的性能进行了分析计算, 具体包括电池模组的最大温度和温差等。电池热管理构型包括图 1所示的单风道、双风道、三风道的U型和Z型电池包, 通过电池组最大温度和温差来对比各构型热管理系统性能。具体的计算内容如图 2所示, 其中各计算模型的冷却介质进出口位置如图 1a)和1c)所示。
根据多风道电池热管理计算结果, 研究了各基础风速下U型三风道电池热管理系统中间风道(图 1c)所示的Ⅱ风道)冷却介质增速对电池热管理系统性能的影响。具体如表 2所示。
![]() |
图2 多风道电池热管理计算模型 |
Ⅱ风道增速计算模型
2 数学模型及控制方程
2.1 锂离子电池生热模型
锂离子电池工作过程产生的热量主要由五部分组成: 欧姆内阻热Qj、极化反应热Qp、电化学反应热Qr、有机电解液分解热Qe和SEI膜分解热Qs。有机电解液分解热Qe和SEI膜分解热Qs占比很小, 因此在分析计算锂离子电池正常工作条件下产生的热量时, 只需考虑欧姆内阻热Qj、极化内阻热Qp、电化学反应热Qr[18], 即
(4)
式中,欧姆内阻热Qj、极化内阻热Qp、电化学反应热Qr计算表达式为
(5)
将(5)式代入(4)式可得

电池生热率表达式即为
(6)
式中:I为电池的放电电流;T为电池工作时的温度;Rj和Rp表示锂离子电池的欧姆内阻和极化内阻, 可通过实验测量获得;dE/dT表示电动势随温度的变化率, 一般变化很小。
Bernardi等[19]在假设电池是均匀且稳定的发热源的基础上, 基于熵增反应原理和电池工作时的内阻变化, 建立了一种经典的电池生热速率计算模型
(7)
(7) 式与(6)式意义相同, 其中Uocp和U表示电池的开路电压和工作电压, ∂Uocp/∂T表示电动势稳定系数, 取平均值0.5 mV/K。由于
(8)
得到方便初始数据采集的电池生热率计算式
(9)
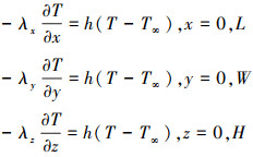
2.2 控制方程及边界条件
锂离子电池传热模型包括热传导、热对流、热福射以及电池自生热。传热过程包括锂离子电池充放电时产生的热量Qtotal, 电池内部至电池表面之间的导热, 电池表面与环境的对流换热以及热辐射。此外电池产生的热量还有一部分被电池体材料吸收, 具体体现为电池体温度的升高。锂离子电池内部的导热微分方程表达为
(10)
锂离子电池在环境中的初始条件为
(11)
式中: T0=294.75 K, 表示电池的初始温度。
电池在各个方向上的边界条件由牛顿冷却定律可得
(12)
式中:λx, λy, λz表示电池在不同方向上的热导率; T∞, h表示电池表面冷却空气的温度和对流换热系数。
电池采用空气作为冷却介质进行对流换热, 其中冷却空气的能量守恒方程、质量守恒方程、动量守恒方程为
(13)
(14)
(15)
式中, ρa, Ca, ka, Ta, Va分别表示冷却空气的密度、比热容、热导率、温度及流速。
锂离子电池的传热过程应该遵守能量守恒定律
(16)
式中: Qw为离子电池工作过程产生的热量, 可由(9)式获得; Qa为电池表面与环境之间的热交换量; Qb为电池内部材料吸收的热量。
(17)
式中,hj, Aj分别表示电池各个表面的对流换热系数与表面面积。
3 单体锂离子电池实验与仿真对比
为获取单体锂离子电池在恒倍率放电时电池体温升以及电池欧姆内阻Rj和极化内阻Rp与放电深度(DOD)的数值关系, 采用电池充放电设备对目标电池进行充放电操作, 实验设备及连接如图 3所示。对锂离子电池在恒定环境温度下1, 2, 3, 4, 5 C放电时的电池体温升进行记录, 并且根据《PNGV Battery Test Manual》所提供的HPPC(hybrid pulse power characterization)实验方法, 记录电池在1, 2, 3, 4, 5 C放电时内阻与放电深度之间的关系。
通过实验获得电池欧姆内阻Rj与极化内阻Rp随电池放电深度DOD变化的关系(见(18)~(22)式), 将该变化规律代入(9)式即可获得电池在各个放电倍率下的生热速率与放电深度CDOD的关系。其中电池内阻之和随着电池放电深度CDOD变化的关系表达式为
(18)
(19)
(20)
(21)
(22)
将放电深度转换为放电时间t, 可获得电池生热速率q与放电时间t的关系。将各放电倍率下电池生热速率q与放电时间t的关系式编写为UDF(user define function),即可对发热速率方程进行编译, 从而通过数值模拟对电池放电过程的温升进行研究。
实验通过5根热电偶测量电池放电过程中的温度变化, 电池测温点的布置如图 4所示。在电池放电过程中取5个测温点温升的平均值作为电池放电过程中温升。
图 5对比了实验测量和数值模拟计算的电池放电温升。锂离子电池在5种不同放电倍率下, 电池表面温度均随时间不断升高, 其中放电初期和放电末期电池温度上升速度较快, 在放电中期电池的温度上升速度趋于平缓。这是因为电池在放电初期和放电末期的欧姆内阻和极化内阻较大, 产热较多, 而放电中期电池内阻较小, 产热较少。
5种放电倍率下, 数值模拟结构与实验结果误差在11%以内, 且放电倍率越大, 数值模拟结果与实验结果的误差率越小。总体上, 实验结果与数值模拟结果的一致性较好, 呈相同变化趋势, 放电各个阶段误差率在允许范围内, 验证了数值模拟采用的电池热模型以及数值模拟传热模型的准确性良好。
![]() |
图3 电池放电温升测试平台 |
![]() |
图4 电池测温点布置示意图 |
![]() |
图5 单体锂离子电池放电温升 |
4 多风道电池热管理系统数值模拟
4.1 数值模拟方法验证
本文以图 1a)所示的U型单风道电池包为样本进行网格无关性验证。当电池包冷却风速为5 m/s时, 分别在网格数为90万, 150万, 200万, 250万及300万时进行计算, 以电池组最高温度和最低温度为验证对象。结果如图 6所示, 当网格数为250万时, 电池的最高温度和最低温度趋于稳定, 所以后续模型计算的网格数保持在250万左右。
Chen等[20]通过实验对普通风冷式电池热管理系统的性能进行了研究, 本文通过数值模拟对文献[20]的工作进行了复现, 以验证本文采用的数值模拟方法的正确性。验证工作在冷却空气温度299.15 K, 冷却空气流速3~4 m/s下展开, 数值模拟结果与实验结果如图 7所示。
数值模拟结果和实验结果的最大误差不超过1 K, 2种方法获得的电池组最大温度、最小温度吻合性良好, 验证了本文所采用的数值模拟方法的正确性。
![]() |
图6 网格无关性验证 |
![]() |
图7 数值模拟方法验证 |
4.2 多风道电池热管理系统结果分析
当多个电池集中布置在电池包中, 容易造成电池热量难以散发的情况, 从而产生热量积聚, 导致电池包整体温度过高和温差较大。基于此问题, 本小节对不同电池包构型在电池1 C放电时的产热情况进行数值模拟分析, 电池模组放电结束时的最大温度结果如图 8所示。
图 8展示了不同风道数的U型、Z型电池包在不同冷却空气流速下, 电池放电结束时电池组最高温度的变化。可以看出, 电池组的最高温度随着冷却风速的增大而减小; 各个风速下电池组最高温度均呈现: 三风道 < 双风道 < 单风道, 即随着电池包风道数的增加, 电池包的散热能力增加。这是因为在电池包中插入铝质挡板后, 冷却风一方面与电池直接接触散热, 另一方面电池与铝质隔板之间进行热传导, 冷却风与铝质隔板接触可以间接带走电池产生的热量。单风道和三风道时, 电池组最高温度均有: U型 < Z型; 双风道时, 在高风速3 m/s和5 m/s下, 电池组最高温度有: U型 < Z型, 即在绝大多数情况下, U型电池包的热管理效果优于Z型电池包。综合来看, 采取多风道电池热管系统可以显著降低电池组的最大温度。
图 9展示了不同风道数的U型、Z型电池包在不同冷却空气流速下, 电池放电结束时电池组最大温差的变化。可以看出, 电池组的最大温差随着冷却风速和风道数的增大而减小; 单风道和三风道时, 电池组最大温差均有: U型 < Z型; 双风道时, 在低风速0.5m/s和1m/s时电池组最大温差ΔT有: Z型 < U型, 在高风速3 m/s和5 m/s时有: U型 < Z型。综合来看, 采取多风道电池热管系统可以显著降低电池组的最大温差, 且根据数值模拟结果, U型三通道电池热管理系统可以最大程度降低电池组温差。
为了具体分析各构型电池包高温区的分布, 通过图 10展示了电池包内各单体电池在放电结束时的最高温度。可以看出, 当风道数增加时, 各单体电池的最高温度普遍降低, 特别是电池包前中部的1, 2, 3号电池; 同一构型电池包内各单体电池之间的最高温度随着风道数的增加逐渐趋于一致, 即电池包的温度分布更加均匀。当电池包为单风道和三风道时, U型电池包内各电池的最高温度普遍低于Z型电池包内各电池的最高温度, 且电池包的高温区均在电池包的前中部, 即2号和3号电池; 当电池包为双风道时, Z型电池包内各电池最高温度分布较为均匀, 高温区分布在电池包的中部, 即3号电池位置, U型电池包的高温区则分布在电池包的前中部, 即2号电池。通过对比图 10a)~10c), 还可以看出虽然电池包风道的增加会促进电池组最高温度分布更加均匀, 但是这种能力随着风道数的增加逐渐减弱。
前述显示, 三风道电池包在冷却空气高流速时温度均匀性更好,性能表现更优异。因此, 图 11对三风道电池包在3 m/s和5 m/s的高冷却空气流速下单体电池温差进行对比。
根据图 11显示的电池包内各单体电池温差, 可以看出三风道时U型和Z型电池包内各电池的温差分布相反。Z型电池包3号电池的温差最小, 两侧的电池温差依次增大; 而U型电池包3号电池温差最大, 两侧电池的温差依次减小。
图 12展示了三风道U型、Z型热管理系统在电池放电结束时的温度场。对于Z型电池包, 冷却空气进出口对称布置, 冷却空气吹至电池包后部时, 大量冷却空气将直接从出口流出, 这就导致从中间电池间隙流过的冷却空气量减小, 从而在电池包中心部位形成高温区。对于U型电池包, 从电池包后部到前部的电池间隙间, 冷却空气的流量逐渐减小导致对应间隙的冷却空气温度依次升高, 从而导致U型电池包的高温区主要在电池模组的前部。
![]() |
图8 放电结束时电池组最高温度 |
![]() |
图9 放电结束时电池组最大温差 |
![]() |
图10 放电结束时电池组各单体电池的最高温度 |
![]() |
图11 电池包内各单体电池温差 |
![]() |
图12 放电结束时电池组温度云图(冷却风速V=5 m/s) |
4.3 中间风道增速对U型三风道电池包性能影响
前述研究发现U型三风道电池包的性能更加优异, 即该型电池包在电池放电结束时, 电池组的温差和最高温度最小。考虑到此时电池体中心部位的散热情况较差, 在0.5, 1, 3, 5 m/s的基础风速下, 对U型三风道电池包中Ⅱ风道的冷却空气进行加速, 结果如图 13所示。
图 13展示了三风道U型电池包中间风道即Ⅱ风道在基础流速上增速对电池组最高温度与最大温差的影响。结果显示在各个基础风速下, 当Ⅱ风道风速增加时, 电池组的最高温度均呈下降趋势, 但当基础风速较低, 例如基础风速为0.5和1 m/s时, 增大中间风道的风速对降低电池组最高温度的影响较大。这是因为基础风速较小时, 电池包内冷却空气温度被加热的较高, 换热能力较差, 因此增大中间风道的风速可以更有效地带走电池热量, 从而降低电池组最大温度。图 13还显示当Ⅱ风道增速超过0.5 m/s时, Ⅱ风道继续增速会导致电池组最大温差增大。这是因为电池体的最低温度受冷却风速的影响, 最低温度出现在电池组受冷却风直吹的部位, 流速增大会显著降低电池组直吹部位的温度。从整体上看, Ⅱ风道增速可以降低电池组的最高温度, 但是会略微提升电池组的最大温差。
![]() |
图13 中间风道冷却空气增速对电池组的影响 |
5 结论
由于电池集中布置形成电池组时, 电池的热量往往无法及时排出, 导致电池组最高温度和温差超出电池正常工作范围, 通常需要对电池包的构型进行合理设计以提升电池包的散热能力、降低电池组的温差。本文据此开展了对电池包构型的研究, 并得到了以下结论:
1) 对于U型和Z型电池包, 在电池包冷却流体的流速一定的情况下, 增大电池包风道的个数可以有效降低电池组的最大温差和最高温度。本文研究结果显示, 三风道电池包的散热能力与保持电池组温度均匀性的能力最强。但随着风道个数的增加, 进一步提升电池性能的效果越来越不明显。
2) 对于U型和Z型电池包, 随着风道个数的增加, 电池包内各单体电池的温度逐渐趋于一致。在三风道时, U型电池组的高温区主要分布在电池组的前中部, 这是因为冷却空气由于惯性会大量涌入电池包后部, 无法充分与电池包前部的电池换热。Z型电池包的高温区主要分布在电池体的中部, 这是Z型电池包的进出风口在电池包对角位置导致的。
3) 对于三风道的U型和Z型电池包, 当中间风道风速增加时, 电池组的最高温度均呈现下降的趋势。当中间风道增速大于0.5 m/s时, 电池组温差随着中间风道风速的增加而略微增大。
4) U型三风道电池包的性能比Z型三风道电池包的性能更好, 具体体现为U型三风道电池包中电池组放电结束后的最高温度和温差相对更小。
References
- GOCMEN S, GUNGOR S, GETKIN E. Thermal management of electric vehicle battery cells with homogeneous coolant and temperature distribution[J]. Journal of Applied Physics, 2020, 127(23): 234902 [Article] [NASA ADS] [CrossRef] [Google Scholar]
- LIU Xingtao, CHEN Zhonghai, ZHANG Chenbin, et al. A novel temperature-compensated model for power li-ion batteries with dual-particle-filter state of charge estimation[J]. Applied Energy, 2014, 123: 263–272 [Article] [CrossRef] [Google Scholar]
- SUN Fengchun, XIONG Rui, HE Hongwen, et al. Model-based dynamic multi-parameter method for peak power estimation of lithium-ion batteries[J]. Applied Energy, 2012, 96: 378–386 [Article] [NASA ADS] [CrossRef] [Google Scholar]
- DAN Dan, YAO Chengning, ZHANG Yangjun, et al. Dynamic thermal behavior of micro heat pipe array-air cooling battery thermal management system based on thermal network model[J]. Applied Thermal Engineering, 2019, 162: 114183 [Article] [NASA ADS] [CrossRef] [Google Scholar]
- MAHAMUD R, PACK C. Reciprocating air flow for li-ion battery thermal management to improve temperature uniformity[J]. Power Sources, 2011, 196: 5685–5696 [Article] [CrossRef] [Google Scholar]
- XU Jianqing. Study on thermal state of lithium-ion power battery[D]. Hangzhou: Zhejiang University, 2016 (in Chinese) [Google Scholar]
- CHENG Yun, LI Jie, JIA Ming, et al. Simulation research of heat dissipation structure for automotive lithium-ion battery packs[J]. The Chinese Journal of Nonferrous Metals, 2015, 25(6): 1607–1616 [Article] (in Chinese) [Google Scholar]
- LI Xiao, CHEN Jiangying, LI Xiangsheng. Thermal management performance of power battery based on new flow channel liquid cooling plate[J]. Chinese Journal of Power Sources, 2020, 44(10): 1438–1442 [Article] (in Chinese) [Google Scholar]
- FENG Nenglian, DONG Shikang, LI Dezhuang, et al. Experimental study on heat transfer characteristics of honeycomb liquid cooling battery module[J]. Automotive Engineering, 2020, 42(5): 658–664 [Article] (in Chinese) [Google Scholar]
- ZHAO Jiateng, RAO Zhonghao, LI Yimin. Numerical simulation of power battery thermal management based on phase change materials[J]. Journal of Engineering Thermophysics, 2016, 37(6): 1275–1280 [Article] (in Chinese) [Google Scholar]
- LI Yang, TAO Yubing. Battery thermal management model and structure optimization of porous composite phase change material[J]. Chinese Science Bulletin, 2020, 65: 213–221 [Article] (in Chinese) [CrossRef] [Google Scholar]
- WANG Meiwei, HUANG Tzu-chen, XI Huan. Numerical study on performance of the air-cooled battery thermal management system by adding parallet plates[J]. Energies, 2021, 14(11): 3096 [Article] [CrossRef] [Google Scholar]
- CHEN Kai, CHEN Yiming, SHE Yiqi, et al. Construction of effective symmetrical air-cooled system for battery thermal management[J]. Applied Thermal Engineering, 2020, 116: 114679 [NASA ADS] [CrossRef] [Google Scholar]
- ZHANG Shuang. Simulation analysis and optimization design of air-cooled thermal management system for lithiun-ion battery energy storage container[D]. Harbin: Harbin Institute of Technology, 2021 (in Chinese) [Google Scholar]
- CHEN Kai, HOU Junsheng, CHEN Yiming, et al. Shape optimization of plenums in parallel air-cooled battery thermal management system[J]. Journal of Chemical Industry and Engineering, 2020, 71(suppl 2): 55–61 [Article] (in Chinese) [Google Scholar]
- ZHUANG Weichao, LIU Zhitao, SU Hongye, et al. An intelligent thermal management system for optimized lithium-ion battery pack[J]. Applied Thermal Engineering, 2021, 189: 116767 [Article] [NASA ADS] [CrossRef] [Google Scholar]
- WANG Ningbo, LI Congbo, LI Wei, et al. Effect analysis on performance enhancement of a novel air cooling battery thermal management system with spoilers[J]. Applied Thermal Engineering, 2021, 192: 116932 [Article] [NASA ADS] [CrossRef] [Google Scholar]
- SONG Junjie, WANG Yichun, WANG Teng. Simulation of layered air cooling thermal management system for lithium-ion battery pack[J]. Chemical Industry and Engineering Progress, 2017, 36(1): 187–194 [Article] (in Chinese) [Google Scholar]
- BERNARDI D, PAWLIKOWSKI E, NEWMAN J. A general energy balance for battery systems[J]. Journal of the Electrochemical Society, 1985, 132(1): 5–12 [Article] [NASA ADS] [CrossRef] [Google Scholar]
- CHEN Kai, WU Weixiong, YUAN Fang, et al. Cooling efficiency improvement of air-cooled battery thermal management system through design the flow pattern[J]. Energy, 2019, 167: 781–790 [Article] [NASA ADS] [CrossRef] [Google Scholar]
All Tables
All Figures
![]() |
图1 多风道电池包结构 |
| In the text | |
![]() |
图2 多风道电池热管理计算模型 |
| In the text | |
![]() |
图3 电池放电温升测试平台 |
| In the text | |
![]() |
图4 电池测温点布置示意图 |
| In the text | |
![]() |
图5 单体锂离子电池放电温升 |
| In the text | |
![]() |
图6 网格无关性验证 |
| In the text | |
![]() |
图7 数值模拟方法验证 |
| In the text | |
![]() |
图8 放电结束时电池组最高温度 |
| In the text | |
![]() |
图9 放电结束时电池组最大温差 |
| In the text | |
![]() |
图10 放电结束时电池组各单体电池的最高温度 |
| In the text | |
![]() |
图11 电池包内各单体电池温差 |
| In the text | |
![]() |
图12 放电结束时电池组温度云图(冷却风速V=5 m/s) |
| In the text | |
![]() |
图13 中间风道冷却空气增速对电池组的影响 |
| In the text | |
Current usage metrics show cumulative count of Article Views (full-text article views including HTML views, PDF and ePub downloads, according to the available data) and Abstracts Views on Vision4Press platform.
Data correspond to usage on the plateform after 2015. The current usage metrics is available 48-96 hours after online publication and is updated daily on week days.
Initial download of the metrics may take a while.













