| Issue |
JNWPU
Volume 37, Number 1, February 2019
|
|
|---|---|---|
| Page(s) | 122 - 128 | |
| DOI | https://doi.org/10.1051/jnwpu/20193710122 | |
| Published online | 03 April 2019 | |
Exploring Mode Hopping Performance of a Prism Laser Gyro
一种棱镜式激光陀螺跳模特性研究
1
School of Automatic Control, Northwestern Polytechnical University, Xi’an 710129, China
2
Xi'an North Jierui Opto-Electronics Technology Ltd., Xi’an 710111, China
Received:
3
March
2018
Abstract
In view of the poor mode hopping performance of prism laser gyros, the mode hopping performance of a prism laser gyro is systematically studied. A mathematical model of frequency stabilization actuating mechanism is established, and the mode hopping is analyzed theoretically. The functional relation between the incremental voltage of the mode hopping and its temperature and starting voltage is given, and the phenomenon that the gyro's pulses fluctuate greatly in the process of mode hopping is eliminated. The open closed-loop scanning mode of the prism laser gyro is further studied. The experimental results show that the shallow light limiting mode causes the competition between two longitudinal modes, resulting in the gyro's pulse hopping. Without changing the optical limiting parameters of the resonator, adjusting the light intensity reference voltage or feedback loop pre-amplification gain can make the open closed-loop scanning mode performance appropriate and avoid the gyro's pulse hopping. The analysis result improves the precision of the gyro, reduces the rework rate of the resonator and improves the production efficiency of the gyro.
摘要
针对棱镜式激光陀螺跳模过程性能较差的现象,系统研究了棱镜式激光陀螺的跳模特性。建立了稳频执行机构的数学模型,理论分析了整个跳模过程,给出了跳模电压增量与温度及跳模起始电压的函数关系,消除了跳模过程脉冲数波动大的现象。进一步研究了棱镜式激光陀螺的开闭环扫模特性,实验结果表明,合光限模较浅会引起双纵模竞争从而导致陀螺跳模跳数。在不改变谐振腔合光限模参数的前提下,调整光强参考电压或反馈回路前置放大增益的方法可以使开闭环扫模特性合适,避免陀螺跳模跳数。此分析结果可以改善陀螺精度,减少谐振腔返修率,提高陀螺生产效率。
Key words: laser optics / prism laser gyro / mode hopping / scanning mode
关键字 : 激光光学 / 棱镜式激光陀螺 / 跳模 / 扫模
© 2019 Journal of Northwestern Polytechnical University
This is an Open Access article distributed under the terms of the Creative Commons Attribution License (http://creativecommons.org/licenses/by/4.0), which permits unrestricted use, distribution, and reproduction in any medium, provided the original work is properly cited.
棱镜式激光陀螺是一种以全反射棱镜式环形激光器为核心器件的高精度角速率传感器,完全免镀膜,具有锁区小、可靠性高、寿命长等优点,在航空航天领域具有广泛的应用[1-3]。与反射镜式激光陀螺相比[4-7],跳模频繁是棱镜式激光陀螺的特性,跳模过程中容易出现脉冲数波动或跳数等问题,影响陀螺性能[8-9]。因此跳模特性研究是棱镜式激光陀螺的重要课题之一。许光明等研究了反射镜式激光陀螺的跳模规律,提出了合理的跳模控制建议[4]。而棱镜式激光陀螺与反射镜式激光陀螺的跳模特性不同,马家君从理论上给出了棱镜式激光陀螺最佳跳模门限的计算公式,开启了跳模特性的研究[10-12]。
在棱镜式激光陀螺调试测试中,发现跳模过程陀螺性能较差,主要表现为脉冲数波动大和跳模跳数2大类。跳模过程脉冲数波动大主要是因为跳模未跳到位造成过渡过程时间长,引起脉冲数波动。针对这一问题,理论分析了跳模过程,给出了跳模电压增量与温度及跳模起始电压的函数关系,实现了精准跳模。针对跳模跳数的问题,对棱镜式激光陀螺进行了开闭环扫模研究,找到了引起跳模跳数的根本原因,在不改变谐振腔合光限模参数的前提下,提出了一种有效的工程化解决方法,减少了谐振腔返修率,提高了陀螺生产效率。
1 棱镜式激光陀螺的跳模特性
棱镜式激光陀螺与反射镜式激光陀螺不同,用全反射棱镜取代传统镀膜反射镜,棱镜的全反射效应大大提高了激光器的品质因数,同时降低了陀螺的闭锁阈值。工作气体采用低压150 MHz高频激励,不用内电极,有利于提高激光器寿命。稳频回路采用加热器作为执行机构,通过调节稳频通道气体折射率进行稳频,光强回路主要控制sin/cos信号幅值的稳定。棱镜式激光陀螺稳频稳光强控制系统如图 1所示。
X1通道充有按一定比例混合的He-Ne气体,工作波长为0.632 8 μm,在引燃变压器和高频振荡器的作用下产生激光。X2和X4是真空通道,X3通道中充有干燥的空气,通过相连的加热器改变空气的折射率,实现谐振腔谐振频率的稳定。Ⅰ, Ⅱ, Ⅲ, Ⅳ为棱镜,由保护罩将其密封,以保持表面清洁。光线在棱镜大斜面处发生全反射,从而保证了光束损耗最小。
棱镜式激光陀螺的全反射棱镜为熔融石英玻璃,其折射率和温度的关系为
(1)
式中, nprism为棱镜的折射率; n0是与熔融石英玻璃有关的常量, 为1.454 37;T是绝对温度, 单位为K; K(λ)是系数, 单位为℃-1, 对于波长为0.632 8 um的激光, 熔融石英的K(λ)为1.01×10-5 ℃-1。光在棱镜里面的几何程长Lprism=11.8 mm, 在-40 ℃到70 ℃的温度范围内估算的跳模次数N=ΔL/λ=4LprismK(λ)ΔT/λ=83, 跳模频繁, 影响陀螺精度。
依据光强调谐曲线的特性, 由FPGA产生频率为266.67 Hz的小抖动正弦调制信号, 经DAC作用于加热器内部的压电陶瓷膜片上, 使激光振荡频率左右微小变化, 从而频率参量ξ左右微小变化, 最终引起光强发生变化, 根据光强变化率的正负可以知道ξ的具体位置, 最终目的是控制ξ=0.44, 从而光强达到最大, 光强变化率为0。合光输出的拍频信号经光电探测及放大后, 直流光强通过ADC后进入稳光强系统, 与参考值比较后经积分控制器产生高频振荡器的控制电压, 交流光强通过ADC后进入稳频系统, 先相敏解调后经比例积分控制器产生加热器电压, 经DAC作用于加热器内部加热丝两端, 调整X3通道的空气折射率, 从而改变光程长, 达到稳频的目的。由于加热器电压的实际范围为24 V, 当温度升高、加热器电压减小到下门限时, 就会向上复位, 从一个纵模跳变到下一个相邻纵模。当温度降低、加热器电压增大到上门限时, 就会向下复位, 从一个纵模跳到上一个相邻纵模。常温下棱镜式激光陀螺的工作曲线如图 2所示。可以看出温度上升2.3℃后达到平衡, 此时的高频振荡器电压及加热器电压同时达到稳态。温度上升引起纵模频率漂移, 从而加热器电压减小, 维持纵模频率不变, 减小到下门限时向上复位, 跳到下一个相邻纵模。由于加热器电压越大, 谐振腔损耗越大, 为了维持sin/cos信号幅值不变, 所需的高频振荡器电压就越大, 故高频振荡器电压呈现出和加热器电压一样的趋势。
![]() |
图1 棱镜式激光陀螺稳频稳光强控制系统示意图 |
![]() |
图2 棱镜式激光陀螺工作曲线 |
2 跳模过程理论分析
棱镜式激光陀螺采用加热器作为稳频控制系统的执行机构, 在加热器内部的压电陶瓷膜片上加小抖动正弦调制信号, 对激光振荡频率产生小抖动调制, 从光强信号中解调出小抖动所引起的光强幅度和相位的变化, 从而对加热器内部加热丝两端的电压进行控制。加热器结构图如图 3所示。
为了得到稳频通道光程长变化量与加热器电压变化量之间的传递函数, 设加热丝质量为M, 比热容为C, 传热系数为H, 传热面积为A, 加热器内部气体温度为T, 加热丝两端的电压为U, 加热丝电阻为R, 单位时间内加热丝产生的热量为Q, 则根据热力学定律有
(2)
由于Q=U2/R, Q与U呈非线性关系, 可在平衡点(Q0, U0)附近进行线性化, 即ΔQ=2UΔU/R, 故
(3)
令Th=CM/(HA), 为加热器时间常数, 则
(4)
式中,
。
设加热器内部压强为P1, 气体体积为V1, 分子数为N1, 温度为T1。稳频通道内部压强为P2, 气体体积为V2, 分子数为N2, 温度为T2。根据克拉伯龙方程得P1V1=N1RT1/NA, P2V2=N2RT2/NA, 其中, NA为阿伏加德罗常数, R为摩尔气体常量, 式中P=P1=P2, 则V1/V2=N1T/(N2T2), 加热器温度变化量与稳频通道气体分子数密度变化量关系为
(5)
又空气折射率与稳频通道分子数密度的关系为na=1+(αn2)/(2ε0), 两边同时微分可以得到Δna=(αΔn2)/(2ε0), 结合(5)式可以得到Δna=α/2ε0N1/V1T2ΔT1, 又稳频通道光程长的变化量为ΔL=ΔnaL2, 其中L2为稳频通道的几何长度, 故可得
(6)
式中,
。故稳频通道光程长与加热器电压之间的传递函数为
(7)
式中,
。将(7)式写成一阶线性非齐次微分方程的形式
(8)
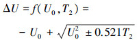
式中,U=U0+ΔU, U0为跳模起始电压, ΔU为跳模电压增量。在初始条件〈L〉(0)=KU02下
(9)
跳模过程要求激光振荡模式精确地从一个纵模跳到相邻纵模, 最佳跳模时间为5Th, 即
(10)
因此跳模电压增量的理论计算公式为
(11)
式中, “+”代表加热器电压向上复位, “-”代表加热器电压向下复位。从(11)式可以看出, 跳模电压增量与环境温度及U0有关, 随着温度的升高而增加, 随着U0的升高而减小。
设置常用的几种跳模起始电压, 在-40~70 ℃升温和降温过程中将跳模电压增量调试到位, 统计数据如表 1所示。其中, 跳模起始电压为1, 2, 3 V时, 代表升温过程数据, 跳模起始电压为16, 17, 18 V时, 代表降温过程数据。根据表 1中的数据, 通过非线性拟合, 可以得到跳模电压增量与温度及U0的函数关系为
(12)
式中, U0为相对于-12 V参考电压的增量, T2用绝对温度表示。
为了进一步验证(12)式函数关系的正确性, 升温过程中设置U0=2 V, 降温过程中设置U0=17 V, 温变速率为1 ℃/min, 根据(12)式实时调整ΔU。测试结果如图 4所示。可以看出整个连续跳模过程中脉冲数都很平稳, 主要是由于ΔU合适, 跳模的过渡过程平稳且快速性好, 从而消除了脉冲数异常波动。
![]() |
图3 加热器结构图 |
跳模电压增量与跳模起始电压及温度的数据统计
![]() |
图4 陀螺输出脉冲数及加热器电压 |
3 跳模跳数分析及讨论
棱镜式激光陀螺工作过程中跳模较频繁, 在2个纵模之间跳变时容易出现双纵模竞争现象, 从而引起跳模跳数, 影响陀螺精度。因此有必要对其进行扫模研究, 分别对跳模跳数的陀螺和正常的陀螺进行开闭环扫模。
3.1 开环扫模
将稳光强回路中高频振荡器的电压开环, 开环值设置为闭环稳定工作时的电压。稳频回路中的加热器电压从-12 V以一定斜率变化到12 V, 周期为128 s, 使光学程长不断增加。记录光强曲线, 分别如图 5、图 6所示。
从图中可以看出, A1点代表当前纵模的最佳工作点, 即光强增益曲线中心处, 数值上等于稳光强回路闭环工作时的光强参考电压。A2点代表当前纵模向下一个纵模跳变时的最小光强电压, 能够体现棱镜式激光陀螺合光限模的深浅程度, A2点高说明合光限模较浅, A2点低说明合光限模较深。A3点代表下一个纵模的最佳工作点, 由于A3点对应的加热器电压高于A1点对应的加热器电压, 故A3点所对应谐振腔的损耗大, 相同高频振荡器电压的情况下A3点的光强小。
对比图 5和图 6可以发现, 跳数陀螺的A2点较高, 即合光限模较浅, 在跳模过程中会出现双纵模竞争现象, 引起跳数。正常陀螺的A2点为0, 即合光限模较深, 在跳模过程中不会出现双纵模竞争的现象, 不会引起跳数。由于理论上难以给出跳模不跳数时A2点的范围, 因此以西安北方捷瑞光电科技有限公司生产的10个70型棱镜式激光陀螺作为实验对象, 分别在-40 ℃、25 ℃和70 ℃下进行开环扫模, 获取A2点电压。并对已有陀螺测试数据进行汇总, 如表 2所示。可以看出, 当0≤A2 < 0.2时, 陀螺跳模不跳数。
![]() |
图5 跳数陀螺开环扫模曲线 |
![]() |
图6 正常陀螺开环扫模曲线 |
陀螺定温跳模跳数与A2点电压的关系
3.2 闭环扫模
稳光强回路闭环工作, 稳频回路中的加热器电压从-12 V以一定斜率变化到12 V, 周期为128 s, 使光学程长不断增加。记录陀螺高频振荡器电压曲线, 分别如图 7、图 8所示。
从图中可以看出, 随着加热器电压的增加, 谐振腔损耗增大, 在光强保持不变的前提下, 下一个相邻纵模上的工作电压整体升高。
对比图 7和图 8可以发现, 跳数陀螺在跳模过程中高频振荡电压出现双峰现象, 正常陀螺在跳模过程中高频振荡器电压无毛刺, 这与合光限模深浅相对应。当合光限模较浅时, 跳模过程会出现双纵模竞争现象, 从而光强变化复杂, 为了稳定光强, 那么高频振荡器电压会按一定控制率进行调整, 最终呈现出双峰现象。当合光限模较深时, 跳模过程不会出现双纵模竞争现象, 高频振荡器电压无毛刺。
![]() |
图7 跳数陀螺闭环扫模曲线 |
![]() |
图8 正常陀螺闭环扫模曲线 |
3.3 跳模跳数解决方法
棱镜式激光陀螺合光限模的深浅可以用A2点表示, 随着A2点电压的升高, 陀螺限模逐渐变浅, 会发生不同程度的跳模跳数。因此对表 2中10个陀螺的变温测试数据进行统计分析, 其中变温速率为1 ℃/min, 测试时间为2 h。跳模跳数的次数与A2点电压的关系如表 3所示。可以看出, 当3个固定温度段均A2 < 0.2时, 陀螺变温不发生跳模跳数。当3个固定温度段均A2>0.2时, 陀螺变温均发生跳模跳数。随着A2点电压的升高, 即限模逐渐变浅, 陀螺变温跳模跳数次数逐渐增加。
棱镜式激光陀螺合光限模较浅是影响跳模跳数的根本原因。因此要解决跳模跳数问题, 必须从合光限模深浅出发。棱镜式激光陀螺稳光强回路结构如图 9所示。
稳光强回路通过闭环控制系统实现输出光强的稳定, 控制器采用积分控制器, 输出的高频振荡器电压驱动高频振荡器产生持续高频激励作用于谐振腔, 合光棱镜输出的拍频信号经光电探测及放大后输出, 并经前置放大及低通滤波后用作光强反馈。
从开闭环扫模特性及稳光强控制原理知, 在光学谐振腔合光限模参数不变的前提下, 高频振荡器电压越高, 开环扫模的A2点越高, 高频振荡器电压越低, 开环扫模的A2点越低。因此可以通过改变棱镜式激光陀螺闭环工作的高频振荡器电压来调整A2点的高低。依据控制理论及稳光强回路特性, 可知增大光强参考电压或减小反馈回路的前置放大增益可以提高高频振荡器电压, 从而提高A2点, 减小光强参考电压或增大反馈回路的前置放大增益可以降低高频振荡器电压, 从而降低A2点。A2点的大小与限模参数、光强参考电压及前置放大电阻有关。而陀螺调试中的A2点测试均是在默认参数(光强参考电压2 V、前置放大电阻36 K)下所得。对于不同限模参数的陀螺而言, 在默认参数下A2点大小不一。因此, 在不需要返修谐振腔限模参数的前提下, 我们可以通过改变光强参考电压(1.5~2.5 V)或反馈回路的前置放大电阻(17~40 K)从而保证0≤A2 < 0.2, 解决跳模跳数问题。
陀螺变温跳模跳数与A2点电压的关系
![]() |
图9 棱镜式激光陀螺稳光强回路结构图 |
4 结论
棱镜式激光陀螺由全反射棱镜构成闭合回路, 具有跳模频繁的特点。理论分析了跳模过程, 给出了跳模电压增量与环境温度及跳模起始电压的函数关系, 解决了在跳模过程中由于跳模未跳到位造成的脉冲数波动大的问题。通过开闭环扫模特性分析, 找到了引起棱镜式激光陀螺跳模跳数的根本原因是合光限模太浅造成的双纵模竞争。在不改变光学限模参数的前提下, 提出了一种工程化的解决方法, 可以保证开环扫模中0≤A2 < 0.2, 从而解决跳模跳数问题, 减少了谐振腔返修率, 提高了生产效率。
References
- Bakin Y V, Ziouzev G N, Lioudomirski M B. Laser Gyros with Total Reflection Prisms[M]. Moscow, Russia, Moscow Bauman State Technical University Press, 2003: 1-34 [Google Scholar]
- Yao Chengkang, Zeng Xiaodong, Cao Changqing. Intensity Properties of Output Light in Prism Laser Gyro with Mechanical Dither Bias[J]. Acta Phys Sin, 2012, 61(9): 094216-1-094216-8 [Article] [Google Scholar]
- Liu Jianning, Jiang Junbiao, Shi Shunxiang, et al. Analysis of Total Reflection Prism Ring Laser's Output Characteristics and Gyroscope's Accuracy[J]. Chinese J Lasers, 2013, 40(1): 0102002-1 (in Chinese) [Article] [CrossRef] [Google Scholar]
- Xu Guangming, Wang Fei, Xie Yuanping. Study on Mode Hopping in Ring Laser Gyro[J]. Infrared and Laser Engineering, 2014, 43(2): 502-505 (in Chinese) [Article] [Google Scholar]
- Chow W W. The Ring Laser Gyro[J]. Rev Mod Phys, 1985, 57(1): 61-104 [Article] [NASA ADS] [CrossRef] [Google Scholar]
- Leonel N M, Willis E L. Theory of a Ring Laser[J]. Phys Rev, 1973, 8(4): 2103-2125 [Article] [CrossRef] [Google Scholar]
- Jiang Yanan. Ring Laser Gyro[M]. Beijing, Tsinghua University Press, 1985: 214-216 [Google Scholar]
- Zhao Dongyang, Shi Shunxiang, Li Jiali. Temperature Effect of Ring Laser with Total Reflection Prisms[J]. Acta Photonica Sinica, 2006, 35(11): 1627-1631 (in Chinese) [Article] [Google Scholar]
- Jia Huixia, Zhang Yingmin, Zhang Qiong, et al. Study on a Light-Intensity Control System of Total Reflection Prism Laser Gyros[J]. Acta Optica Sinica, 2014, 34(8): 0814001-1-0814001-6 [Article] [CrossRef] [Google Scholar]
- Ma Jiajun, Jiang Junbiao. Research on the Frequency Stabilization Properties of Total Reflection Prism Laser Gyros, Chinese J Lasers, 2015, 42(1): 0102002-1-0102002-8 [Article] [CrossRef] [Google Scholar]
- Ma Jiajun, Jiang Junbiao, Liu Jianning. Frequency Stabilization Technique of Total Reflection Prism Laser Gyros with Double Longitudinal Modes[J]. Chinese J Lasers, 2014, 41(9): 0902011-1-0902011-6 [Article] [CrossRef] [Google Scholar]
- Ma Jiajun, Jiang Junbiao, Liu Jianning. Adaptive Frequency Stabilization Technique for Total Reflection Prism Laser Gyros[J]. Acta Optica Sinica, 2015, 35(3): 0314002-1-0314002-7 [Article] [CrossRef] [Google Scholar]
All Tables
All Figures
![]() |
图1 棱镜式激光陀螺稳频稳光强控制系统示意图 |
| In the text | |
![]() |
图2 棱镜式激光陀螺工作曲线 |
| In the text | |
![]() |
图3 加热器结构图 |
| In the text | |
![]() |
图4 陀螺输出脉冲数及加热器电压 |
| In the text | |
![]() |
图5 跳数陀螺开环扫模曲线 |
| In the text | |
![]() |
图6 正常陀螺开环扫模曲线 |
| In the text | |
![]() |
图7 跳数陀螺闭环扫模曲线 |
| In the text | |
![]() |
图8 正常陀螺闭环扫模曲线 |
| In the text | |
![]() |
图9 棱镜式激光陀螺稳光强回路结构图 |
| In the text | |
Current usage metrics show cumulative count of Article Views (full-text article views including HTML views, PDF and ePub downloads, according to the available data) and Abstracts Views on Vision4Press platform.
Data correspond to usage on the plateform after 2015. The current usage metrics is available 48-96 hours after online publication and is updated daily on week days.
Initial download of the metrics may take a while.









