| Issue |
JNWPU
Volume 38, Number 2, April 2020
|
|
|---|---|---|
| Page(s) | 377 - 383 | |
| DOI | https://doi.org/10.1051/jnwpu/20203820377 | |
| Published online | 17 July 2020 | |
Shape Memory Alloy(SMA) Actuated Microfluidic Colour-Changing System
基于形状记忆合金(SMA)驱动的微流控变色系统
1
School of Mechatronics Engineering, North China Institute of Science and Technology, Beijing 101601, China
2
School of Mechatronics Engineering, Harbin Institute of Technology, Harbin 150001, China
Received:
15
May
2019
Abstract
In order to improve the performances of microfluidic actuators, a microfluidic actuating way based on the shape memory alloy(SMA) is presented, which is applied for the liquids circulation of a microfluidic colour-changing system. A SMA spring is used as the main actuating part, a microfluidic actuating device based on the SMA spring is designed and fabricated. The models for the SMA spring and the whole SMA actuated microfluidic system are established, the experimental platform is built. The temperature properties, output displacement performances and pressure responses of the present system are simulated and tested under different experimental conditions. Comparing with traditional microfluidic actuating systems, the SMA actuated microfluidic colour-changing system is driven by using DC power, small in size, convenient in operation, and has fast response speed and high reliability.
摘要
为了提高微流体驱动系统的性能,提出了一种基于形状记忆合金(SMA)的微流体驱动方式,用于微流控变色系统内液体循环的双程驱动。以SMA弹簧为主要驱动元件,设计并制作了基于SMA的微流体驱动装置,建立了SMA驱动元件和SMA驱动微流控变色系统的数学模型,搭建了SMA驱动微流控变色试验平台,在不同参数条件下,对驱动系统的温度响应特性、位移输出特性和液体压强特性进行了仿真分析和试验研究。结果表明,与传统微流体驱动方式相比,SMA驱动的微流体变色系统采用直流电源驱动、体积小、操作便捷,具有较快的响应速度和较高的可靠性。
Key words: shape memory alloy / microfluidic actuating / microfluidic colour-changing system
关键字 : 形状记忆合金 / 微流体驱动 / 微流控变色系统
© 2019 Journal of Northwestern Polytechnical University. All rights reserved.
This is an Open Access article distributed under the terms of the Creative Commons Attribution License (http://creativecommons.org/licenses/by/4.0), which permits unrestricted use, distribution, and reproduction in any medium, provided the original work is properly cited.
与宏观系统相比,微流控系统尺度小,能耗低,系统面/体比(surface area to volume ratio, SAV)较大,流体在微流道内流动时受表面张力影响明显增加,其流动特性也发生了较大变化,因此,宏观系统的驱动方式已不能满足微流控系统的要求。目前微流控系统主要通过不同结构和原理的微泵来实现微流体的驱动,常用的微泵结构主要包括机械式微泵[1-3]和非机械式微泵[4-6]。北京科技大学的刘北东等基于热胀冷缩原理研究并制作了热气泡驱动式机械结构微泵[7],德国的Gossmann等制作了电渗驱动式非机械结构微泵[8],东北大学的方肇伦等报道了一种以毛细和蒸发作用为驱动力的非机械式微泵[9]。传统机械式微泵大多需要交流驱动电源,体积较大,而传统非机械式微泵结构原理复杂,液体泵送速度慢,因此不能满足微流控系统微型化、快速化、便捷化的发展需求。
近年来,随着微流控技术的发展,越来越多的新型材料被应用到微流控系统中。形状记忆合金(shape memory alloy, SMA)材料具有体积小,功重比大等特点[10],引起了国内外众多学者的关注和研究,并广泛应用于智能机器人[11]、仿生鱼[12]及医疗设施[13]的研究中,但SMA材料在微流控领域的应用报道较少。日本的Sassa等提出一种利用SMA薄膜实现微流体驱动的微泵[14],首先将SMA薄膜切割出栅状结构,将流道嵌套在其内部,引起SMA栅状薄膜变形,当施加一定的电流信号,SMA温度达到相变临界温度后,SMA薄膜将会回复原来的形状,挤压流道,从而驱动流道内液体的流动。该装置需要交替变换的交流脉冲信号来控制微流道内液体的持续定向驱动,体积较大,且驱动位移小,速度慢,不能满足微小系统微型化、集成化和快速驱动的需求。利用SMA材料实现微流控系统中流体驱动的技术目前还尚未成熟,仍然需要更多的开发和研究,从而获得体积更小、能耗更低、集成度更高的微流体驱动系统。
本文以SMA弹簧为主要驱动元件,提出一种基于SMA弹簧的微流体驱动方式,用于实现微流控PDMS变色薄膜内液体的双程驱动。建立了SMA驱动弹簧及整个SMA驱动微流控变色系统的数学模型,对系统特性进行了仿真分析和试验研究。与现有的SMA薄膜驱动方式相比,该驱动装置无需交变电流信号,采用直流电源驱动,体积小,便于集成化,系统输出位移较大,驱动速度较快,且操作便捷,能够更好地满足本文中微流控光学变色系统驱动性能的要求。
1 结构和工作原理
图1为微流控变色系统SMA驱动方式的结构原理图,主要包括:单程SMA弹簧、普通偏置弹簧、活塞、导向管、驱动腔、固定板、连接管路和电源等。SMA弹簧和偏置弹簧的两端均固定,并与活塞相连接,SMA弹簧、偏置弹簧、活塞和导向管的轴线均在同一直线上。为保证弹簧在变形过程中的行程为直线,在弹簧和活塞中线位置插入一根直的空心导向管来控制弹簧行程方向。固定板主要用于固定SMA弹簧和导向管,同时固定电源线并将其引出与直流电源相连接。为了增加驱动器在不同温度下的可靠性,SMA弹簧和偏置弹簧的固定端用一层薄的环氧树脂胶与固定板粘接。
首先对SMA弹簧施加一定载荷,之后再卸载,此时其产生一定形变量(预变形量),然后完成SMA弹簧和偏置弹簧的安装,系统达到初始平衡状态。在初始条件下,微流控变色镜片内充满有色液体,接通电源后,SMA弹簧受热,当温度升高到弹簧逆相变开始温度时,其内部产生马氏体向奥氏体的相变,弹簧刚度和回复量快速增加,拉动活塞向左运动,镜片内的有色液体被吸入到驱动腔内,当温度达到逆相变结束温度时,SMA弹簧和偏置弹簧再次达到高温平衡点,活塞停止运动,镜片恢复原色。断开电源后,SMA弹簧冷却,当温度降低到弹簧正相变开始温度时,弹簧刚度快速降低,在偏置弹簧作用下,活塞向右运动,驱动腔内的有色液体被充入到镜片内,当温度降低到弹簧正相变结束温度时,系统恢复到初始平衡态,活塞停止运动,镜片完成变色。因此,通过控制电源信号的通断,驱动器内活塞可以完成在2个平衡点之间的往复直线运动,实现微流控变色系统内液体的双程驱动。
![]() |
图1 SMA驱动微流控变色系统结构原理图 |
2 系统数学模型
2.1 动力学模型
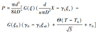
与普通材料不同,SMA材料的应力和应变之间不是恒定线性关系,不能用简单的胡克定律来描述,因为SMA相变过程中,应力-应变特性与温度有关,且不同相变状态下马氏体含量、弹性模量等特性参量也不是常数,均随着温度的变化而变化。根据Brinson模型[15],SMA在相变过程中,各变量之间的关系可以表示为:
1
式中:σ为SMA弹簧受到的应力; ε为SMA弹簧产生的应变; T为SMA弹簧的温度; ξ为SMA弹簧相变中马氏体百分含量; ξs为SMA弹簧相变中应力诱发的马氏体百分含量; E(ξ)为SMA弹簧的弹性模量; Ω(ξ)为SMA弹簧的相变张量; Θ(ξ)为SMA弹簧的热弹性张量; 下标“0”表示初始状态。
SMA弹簧从马氏体向奥氏体转变过程中, 当T>As且CA(T-Af) < σ < CA(T-As)时, 马氏体百分含量ξ、由应力诱发的马氏体ξs和由温度诱发的马氏体ξT, 可以分别表示为
2
3
4
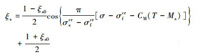
SMA弹簧从奥氏体向马氏体转变的过程中, 当T>Ms且满足
时, 马氏体的百分含量ξ可以表示为
5
6
式中:CA, CM为应力对相变温度的影响系数; σscr, σfcr为马氏体相变开始和结束时的临界应力。
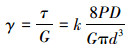
SMA弹簧剪切弹性模量G(ξ)可以表示为
7
式中:GM为纯马氏体状态下SMA弹簧剪切弹性模量; GA为纯母相状态下SMA弹簧剪切弹性模量。
根据材料力学知识, 弹簧的剪切应力、剪切应变和所产生回复力之间的关系可以表示为
8
式中:d为弹簧丝直径; D为弹簧圈中径; P为弹簧产生的回复力; k为应力修正系数。
SMA弹簧形变时产生的回复位移X和剪切应变γ之间的关系可以表示为
9
式中,n为SMA弹簧的有效匝数。
结合(1)~(9)式, SMA弹簧的动力学方程可以表示为
10
初始状态下, 微流控PDMS薄膜微流道内充满有色液体, SMA弹簧具有一定的预变形量, 当加热温度达到相变临界温度时, SMA弹簧发生逆相变, 产生回复力, 活塞向SMA弹簧侧运动, 驱动腔内液体的体积增大, 压力降低, 微流道内的液体被吸入到驱动腔内, 薄膜恢复原色。在此过程中, 驱动器的动力学方程可以表示为
11
式中:Pq为驱动器输出的驱动力; kp为偏置弹簧的弹性系数; Xq为驱动器输出位移; pf为液体阻力。反之, SMA弹簧在冷却过程中, 活塞向偏置弹簧侧运动, 驱动腔内液体的体积减小, 压力增加, 液体被充入到微流道内, PDMS薄膜完成变色。在此过程中, 驱动器的动力学方程可以表示为
12
2.2 热力学模型
本文中, SMA弹簧加热采用通电加热方式, 外部加热电源是系统唯一能量输入Q输入, 图2为SMA驱动器主要能量关系图。
根据能量守恒可得
13
式中, 向外界辐射的能量Q辐射忽略不计。
根据热力学方程[16], (13)式可以表示为
14
式中:i为SMA弹簧通入电流; RSMA为SMA弹簧电阻; c为SMA材料比热容; m为SMA弹簧质量; h为对流换热系数; A为SMA弹簧表面积; Tf为SMA弹簧最终稳态温度。
![]() |
图2 相变过程中SMA驱动器能量关系图 |
3 仿真及试验分析
根据系统的动力学和热力学模型, 分别对系统进行仿真分析和试验研究, 以采用50.1%NiTi为原材料制造的SMA螺旋弹簧(上海记忆合金有限公司)作为SMA驱动元件, 具体参数见表1所示。
图3所示为SMA驱动微流控变色试验原理图和试验系统照片, 采用直流电源驱动, 激光位移传感器检测驱动器的位移输出特性, 微型压力传感器观测微流控变色薄膜微流道内液体压强的变化, SMA弹簧的温度特性采用PT100温度传感器进行测量。实验中, 所使用的有色液体均为染色的去离子水, 其运动黏度v为10-6m2/s, 密度ρ为993.95 kg/m3。表2所示为变色薄膜内微流道的样本参数。
图4所示为采用不同电流加热时, SMA弹簧温度和系统输出位移随时间变化的研究结果, 弹簧预变形L0=10 mm, 变色薄膜内微流道的结构参数见表2中样本1。由图可知, 当加热电流i=0.5 A时, 实验测得弹簧的稳态温度T=64.4℃, 系统达到稳态所需时间t=1.22 s, 稳态输出位移Xq=6.4 mm, 与仿真结果基本吻合, 但二者之间存在一定的误差, 分析其主要原因包括:仿真中, 忽略了导向管的质量、SMA弹簧与导向管之间的摩擦力以及活塞与驱动腔之间的摩擦力; 试验中, 元件实际参数值与仿真参数选取值之间存在一定偏差。
图5为冷却过程中, SMA弹簧温度和系统输出位移随时间变化的研究结果。由图可知, 当电流A=0.5 A时, SMA弹簧冷却初始温度T0=64.4℃, 达到稳态所需时间为t=3.84 s, 与仿真结果基本吻合, 当采用较大加热电流时, 系统冷却过程的初始温度较高, 因此SMA弹簧温度下降到相变临界温度所需时间越长, 系统响应快速性越差。
SMA弹簧的预变形量会对系统位移输出特性产生直接影响, 图6为不同弹簧预变形下, 逆相变和正相变过程中系统位移输出随时间变化的实验测试结果, 加热电流i=0.6 A, 微流道结构参数见表2中样本1。由图可知, 当SMA弹簧预变形L0=8 mm时, 系统在加热和冷却过程中达到稳态所需时间t分别为1.20和3.96 s, 稳态输出位移Xq=5.9 mm, 随着预变形量的增大, 系统的稳态输出位移逐渐增加, 位移输出的延迟性也随着预变形量的增大而增加, 与仿真结果基本吻合。
图7所示为微流道长度不同时, 逆相变和正相变过程中系统位移输出测试结果, 试验中, 加热电流i=0.5 A, SMA弹簧预变形量L0=10 mm, 微流道结构参数见表2中样本1和样本2。由图可知, 当流道长度l分别为390和630 mm时, 试验测得系统稳态输出位移分别为7.64和6.45 mm, 因此, 随着流道长度的增加, 微流道内液体的流动阻力逐渐增大, 驱动器的稳态输出位移逐渐减小, 与仿真结果基本吻合。
利用图3中所示的微型压力传感器,通过试验测得SMA弹簧在加热逆相变和冷却正相变过程中,变色薄膜内微流道入口处液体的压强特性,如图8所示。由图可知,在加热逆相变过程中,SMA弹簧受热产生回复力,流道内有色液体被逐渐吸出,流道入口处的真空压强快速下降,当吸液完成后,其迅速恢复到大气压,电流越大,压强变化越快,所达到的真空度越大,完成吸液所需时间越短。反之,当关闭
电源后,SMA弹簧冷却进入正相变,开始充液,流道入口正压强逐渐增加,当充液完成后,压强逐渐降低至大气压,电流越大,充液时间越长,且与吸液过程相比,同等电流条件下,所需充液时间也较长,这是因为SMA弹簧加热逆相变后需要一定的冷却时间才能达到正相变的临界温度,且加热电流越大,稳态温度越高,所需冷却时间越长。
SMA弹簧主要特性参数
![]() |
图3 SMA驱动微流控变色试验系统 |
SMA驱动系统特性仿真微流道样本
![]() |
图4 不同电流时系统加热逆相变温度和位移输出特性 |
![]() |
图5 不同电流时系统冷却正相变温度和位移输出特性 |
![]() |
图6 不同预变形时系统位移输出特性 |
![]() |
图7 不同流道长度时系统位移输出特性 |
![]() |
图8 不同相变过程中微流道入口液体压强特性测试结果 |
4 结论
设计并制作了一种基于形状记忆合金(SMA)驱动的微流控变色系统,建立了SMA驱动弹簧和SMA驱动的微流控光学变色系统的数学模型,在不同参数条件下,对系统输出特性进行了仿真分析和实验研究。研究结果表明,本文提出的基于SMA的微流控驱动系统响应速度快、操作便捷,采用直流电源驱动,集成度高,满足微流控变色系统快速化、微型化的特性需求。同时,SMA材料特有的记忆特性及基于SMA的微流体驱动方式在微量药物定量输送、微量化学试剂的快速混合以及生物样本的精确提取等微流控研究领域将有着更广阔的应用前景。
References
- Lee S C, Hur S, Kang D, et al. The Performance of Bioinspired Valveless Piezoelectric Micropump with Respect to Viscosity Change[J]. Bioinspiration and Biomimetics, 2016, 11: 1–10 [Article] [Google Scholar]
- Ma H K, Luo W F, Lin J Y. Development of a Piezoelectric Micropump with Novel Separable Design for Medical Applications[J]. Sensor and Actuators A:Physical, 2015, 236: 57–66 10.1016/j.sna.2015.10.010 [CrossRef] [Google Scholar]
- Zhang Min, Li Songjing, Cai Shen. A Microfluidic Liquid Colour-Changing Glasses Controlled by Valveless Piezoelectric Micro-Pump[J]. Journal of Jilin University, 2017(2): 498–503 [Article] (in Chinese) [Google Scholar]
- Sima A H, Salari A, Shafii M B. Low-Cost Reciprocating Electromagnetic-Based Micropump for High-Flow Rate Applications[J]. Journal of Micro-Nanolithography MEMS and MOEMS, 2015, 14: 1–8 [Article] [CrossRef] [Google Scholar]
- Islam N, Askari D. Performance Improvement of an AC Electroosmotic Micropump by Hydrophobic Surface Modification[J]. Microfluidics and Nanofluidics, 2012, 14: 627–635 [Article] [CrossRef] [Google Scholar]
- Islam N, Reyna J. Bi-Directional Flow Induced by an AC Electroosmotic Micropump with DC Voltage Bias[J]. Electrophoresist, 2012, 33: 1191–1197 10.1002/elps.201100544 [CrossRef] [Google Scholar]
- Liu B, Sun J C, Li D S, et al. A High Low Rate Thermal Bubble-Driven Micropump with Induction Heating[J]. Microfluidics and Nanofluidics, 2016, 20: 155 10.1007/s10404-016-1822-2 [CrossRef] [Google Scholar]
- Gassmann S, Pagel L, LUQUE A, et al. Fabrication of Electroosmotic Micropump Using PCB and SU-8[C]//38th Annual Conference on IEEE Industrial Electronics Society, Montreal, 2012: 3958–3961 [Google Scholar]
- Guan Yanxia, Dai Jing, Fang Zhaolun, Studies on a Micropump Based on Evaporation and Capillary Effects[J]. Chinese Journal of Analytical Chemistry, 2005, 33: 423–427 10.3321/j.issn:0253-3820.2005.03.032 (in Chinese) [Google Scholar]
- Kim H Y, Ikehara Y, Kim J I, et al. Martensitic Transformation, Shape Memory Effect and Superelasticity of Ti-Nb Binary Alloys[J]. ACTA Materialia, 2006, 54(9): 2419–2429 10.1016/j.actamat.2006.01.019 [Google Scholar]
- Villoslada A, Flores A, Copaci D, et al. High-Displacement Flexible Shape Memory Alloy Actuator for Soft Wearable Robots[J]. Robotics and Autonomous Systems, 2015, 73: 91–101 10.1016/j.robot.2014.09.026 [CrossRef] [Google Scholar]
- Gao Fei, Wang Yukui, Wang Zhenlong, et al. Prototype Design of a Kind of Biomimetic Cuttlefish Underwater Robot Actuated by SMA Wires[J]. Robot, 2013, 35(3): 346–351 [Article] (in Chinese) [CrossRef] [Google Scholar]
- Dahmardeh M, Setarehdan S K. Finite Element Analysis of Thermally Actuated Medical Stent and Staple Implants Using Shape Memory Alloy[J]. International Journal of Nanotechnology, 2017, 14(1/2/3/4/5/6): 66–74 10.1504/IJNT.2017.082446 [NASA ADS] [CrossRef] [Google Scholar]
- Sassa F, Ai Z Y, Ginoza T, et al. Miniaturized Shape Memory Alloy Pumps for Stepping Microfluidic Transport[J]. Sensors and Actuators, 2012, 165(1): 157–163 10.1016/j.snb.2011.12.085 [NASA ADS] [CrossRef] [Google Scholar]
- Zhou Bo. The Constitutive Models of Shape Memory Alloys[D]. Harbin: Harbin Engineering University, 2006(in Chinese) [Google Scholar]
- Sedlak P, Frost M, Benesova B, et al. Thermomechanical Model for NITI-Based Shape Memory Alloys Including R-Phase and Material Anisotropy under Multi-Axial Loadings[J]. International Journal of Plasticity, 2012, 30: 132–151 [Article] [CrossRef] [Google Scholar]
All Tables
All Figures
![]() |
图1 SMA驱动微流控变色系统结构原理图 |
| In the text | |
![]() |
图2 相变过程中SMA驱动器能量关系图 |
| In the text | |
![]() |
图3 SMA驱动微流控变色试验系统 |
| In the text | |
![]() |
图4 不同电流时系统加热逆相变温度和位移输出特性 |
| In the text | |
![]() |
图5 不同电流时系统冷却正相变温度和位移输出特性 |
| In the text | |
![]() |
图6 不同预变形时系统位移输出特性 |
| In the text | |
![]() |
图7 不同流道长度时系统位移输出特性 |
| In the text | |
![]() |
图8 不同相变过程中微流道入口液体压强特性测试结果 |
| In the text | |
Current usage metrics show cumulative count of Article Views (full-text article views including HTML views, PDF and ePub downloads, according to the available data) and Abstracts Views on Vision4Press platform.
Data correspond to usage on the plateform after 2015. The current usage metrics is available 48-96 hours after online publication and is updated daily on week days.
Initial download of the metrics may take a while.








