| Issue |
JNWPU
Volume 41, Number 3, June 2023
|
|
|---|---|---|
| Page(s) | 510 - 517 | |
| DOI | https://doi.org/10.1051/jnwpu/20234130510 | |
| Published online | 01 August 2023 | |
Optimal design of SMA linear actuation unlocking mechanism for CubeSat
立方星SMA直线作动解锁机构的优化设计
Received:
21
July
2022
Abstract
In order to realize the reliable unlocking of solar arrays of a CubeSat under the strict constraints of space and power dissipation, a shape memory alloy(SMA) wire linear actuation unlocking mechanism is developed. Through using a spring-SMA structure, relying on the spring force locking, heating the SMA wire and producing a recovery stress drive pin movement, the solar arrays are unlocked. The mathematical model of the unlocking mechanism is established, and the relationship among stroke, unlocking time, power, alloy wire diameter and working voltage of the SMA unlocking mechanism is obtained through simulation. In order to optimize its overall unlocking time and power, the particle swarm optimization algorithm is used to optimize the diameter and working voltage of the alloy wire. The simulation results show that the SMA unlocking mechanism with the wire whose diameter is 0.5 mm has the best working performance when the driving voltage is 1.2 V. Finally, the experimental study of the design results shows that the unlocking time of the actuation unlocking mechanism is 3.2 s, its power is 3.55 W and that its pin-pulling stroke is 1.8 mm, being consistent with the simulation results. The unlocking mechanism has a high reliability, consistent working performance and good adaptability, therefore having passed various environmental tests and being successfully applied to a CubeSat in orbit.
摘要
为实现在空间、功耗严苛约束下立方星太阳板的可靠解锁, 研制了一种形状记忆合金(SMA)丝直线作动解锁机构。采用弹簧-SMA结构, 依靠弹簧力锁紧, 通过SMA丝加热产生回复应力驱动拔销运动实现解锁。建立了机构的数学模型, 并通过仿真得到SMA解锁机构的行程、解锁时间、功率与合金丝直径、工作电压的描述关系。以解锁时间和功率的整体评价最优为目标, 采用粒子群优化算法对合金丝的直径和工作电压进行优化设计, 得到直径0.5 mm的SMA解锁机构在1.2 V驱动电压下具有最佳工作特性。最后对优化结果开展实验分析, 表明作动机构的解锁时间为3.2 s, 功率为3.55 W, 拔销行程为1.8 mm, 与仿真一致。所研制的解锁机构可靠性高, 工作特性一致, 具有较好的适应性, 已通过各项环境实验并成功在轨应用。
Key words: CubeSat / shape memory alloy(SMA) / unlocking mechanism / linear actuation / particle swarm optimization
关键字 : 立方星 / 形状记忆合金(SMA) / 解锁机构 / 直线作动机构 / 粒子群优化
© 2023 Journal of Northwestern Polytechnical University. All rights reserved.
This is an Open Access article distributed under the terms of the Creative Commons Attribution License (https://creativecommons.org/licenses/by/4.0), which permits unrestricted use, distribution, and reproduction in any medium, provided the original work is properly cited.
展开式太阳板已被广泛地应用于立方星来提升卫星的能量来源。通常, 太阳板在发射时处于收拢状态, 在轨后展开部署。因此, 太阳板稳定、可靠的展开对卫星任务的成功至关重要。传统的太阳板压紧释放机构多采用火工品实现[1]。但火工品起爆解锁过程中会产生较大冲击, 对卫星中的敏感部件产生不利影响。随着技术的发展, 非火工解锁装置[2-3]得到人们广泛关注, 目前立方星常用的有熔断丝、热刀式压紧释放装置。其中, 熔断丝装置无法快速复位, 需要替换部件或者返厂重新装配才能再次使用; 热刀装置承载力小、释放时间长、耗能大且为一次性组件。相比之下, 基于形状记忆合金的压紧释放装置同时具备了承载力大、释放快、功耗低、冲击低、可重复使用的技术特点, 是非火工品压紧释放装置中最具技术优势的一种, 也是近年来国际上的研究热点[4-5]。
SMA压紧释放装置在传统大型卫星上得到诸多应用。北京航空航天大学与北京空间飞行器总体部[6]共同研制的SMA压紧释放装置, 释放时间达16 s; 哈尔滨工业大学江晋民研制的分瓣螺母装置[7], 采用了旋转触发和滚棒减磨结构, 通过2个不同的SMA组件来完成机构的压紧释放, 结构较复杂, 对加工尺寸和形位公差要求过于敏感; HSTC公司研制利用SMA棒的解锁机构[8], 承载力大, 释放时间为15~30 s, 功耗可达125 W。上述装置普遍存在结构复杂、解锁时间长、功耗高等缺点, 不适用于空间、功耗要求严格的立方星太阳板的解锁。
立方星太阳板与本体之间的空间狭小, 通常只有数毫米间距, 而且星上设备多采用5 V、3.3 V等低压供电。为了满足以上空间和供电等苛刻要求, 设计了一种基于SMA丝的微型解锁机构, 通过建模得到了SMA形变量与解锁时间的特性关系, 针对解锁机构的核心部件SMA丝的直径和功耗, 利用粒子群优化算法得到最佳的组合关系, 为SMA解锁机构的设计提供依据。
1 SMA解锁机构工作原理
针对立方星安装空间狭小、电源提供电压较低等不利条件, 设计的解锁机构结构如图 1所示, 尺寸仅为100 mm×20 mm×8 mm。
机构工作原理是: 双向记忆合金丝通电后产生热量, 温度升高, 当记忆合金丝的温度高于马氏体逆相变的开始温度时, 便会发生马氏体逆相变, 此时记忆合金丝会收缩回复到形变前的状态, 记忆合金丝在回复的过程中会克服弹簧阻力带动拔销收缩, 从而使太阳板锁定解除实现展开。
![]() |
图1 解锁机构示意图 |
2 SMA解锁机构建模
根据解锁机构的工作原理, 对其作动过程进行建模分析, 模型框图如图 2所示。模型以电压为输入, 由温度模型得到SMA温度-时间的关系, 由本构模型和弹簧-SMA驱动模型得到升温过程中SMA的应变-时间关系, 进而通过应变及解锁装置构型, 得到拔销的位移与解锁时间的关系。
![]() |
图2 SMA解锁机构的模型框图 |
2.1 SMA丝温度模型
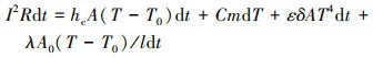
假设通电后合金丝在整个横截面上产生相同的热效应, 不存在温度梯度。因此, 电流产生的热量等于合金丝吸收的热量、合金丝与空气对流传热、合金丝向周围辐射传热和合金丝与物体接触传热之和[9]。则可建立温度模型为
(1)
(2)
(3)
式中: I为电流; R为SMA电阻; L为SMA长度; S为SMA截面积; T为SMA温度; T0为环境温度; ρ和ρ0分别为T和T0下的合金丝电阻率; α为温度影响系数; hc为对流热系数; A为SMA与空气接触面积; C为比热容; m为SMA质量; ε为表面发射率; δ为玻尔兹曼常数; l为SMA与陶瓷块的接触长度; A0为SMA与陶瓷块的接触面积。
对(1)式整理可得
(4)
通过(4)式即可解得记忆合金丝在通电后温度随时间的变化关系。
2.2 SMA丝本构模型
形状记忆合金丝在相变过程中的应力、应变和温度关系是进行SMA驱动器设计的基础。在相变过程中, 文献[10]基于自由能最小原理建立了SMA在一维状态下的本构方程
(5)
式中: σ为应力; σ0为初始应力; ε为应变; ε0为初始应变; T为温度; T1为初始温度; ξ为马氏体体积分数, ξ0为发生马氏体逆相变时的初始马氏体分数; θ为热弹性模量; D为弹性模量; Ω为相变张量。
基于Liang和Rogers以余弦形式给出的马氏体体积分数, 并引入晶体变速函数K和晶体变速系k来描述马氏体体积分数随温度或应力的变化趋势, 从而得到[11]
(6)
(7)
(8)
式中: As为马氏体逆相变开始温度;Af为马氏体逆相变结束温度; CA为应力对相变温度的影响系数; εres为记忆合金丝的残余应变。
在解锁机构中, SMA丝为部分约束边界条件下的本构关系。随着温度的上升, 合金丝内部的回复应力也会增加, 对马氏体逆相变的阻碍作用也会越大, 从而抑制了合金丝内部马氏体向奥氏体的转变, 使得马氏体逆相变的温度后移。后移后的马氏体逆相变初始和结束温度为[12]
(9)
式中:A′s为后移后马氏体逆相变的初始温度;A′f为后移后马氏体逆相变的结束温度。
因此, 记忆合金丝在升温过程中应变与应力、温度和马氏体体积分数关系可以用(10)式表示
(10)
2.3 弹簧-SMA丝驱动模型
解锁机构的驱动模型可以简化为SMA丝驱动下的弹簧质量块结构, 如图 3所示。
设SMA丝原始状态长为L0, 形变后长为L, 直径为d; 弹簧原长为l1, 刚度系数为K; 解锁机构初始状态下SMA丝受载变形量为L1, 弹簧长度为l0, SMA丝受拉力为F0, 应力为σ0。在任意位置SMA丝变形量为L2, 所受拉力和应力分别为F和σ, 则[13]
(11)
即
(12)
(13)
因此
(14)
(14) 式即为弹簧-形状记忆合金丝驱动模型方程, 由此得到SMA丝应力与应变的关系表达式。
![]() |
图3 弹簧-SMA驱动模型简图 |
2.4 拔销运动模型
由解锁机构的结构形式可知, 拔销运动位移是记忆合金丝形变量的1/2, 由本构模型已经得到合金丝的应变, 因此拔销运动位移可以描述为
(15)
式中: X为拔销运动位移; ε为应变; L0为合金丝的初始长度。
3 仿真与优化
3.1 SMA丝收缩特性
立方星提供的峰值功率有限, 选择合适承载力的记忆合金丝以及控制合理的通电加热时间, 可降低整星能源消耗, 保证太阳板在规定时间内解锁。对不同直径和工作电压下的记忆合金丝收缩特性进行数学仿真, 参数如表 1所示。
不同直径和工作电压下的记忆合金丝的收缩行程、时间以及功耗分别如图 4~6所示。
仿真结果表明: ①合金丝收缩过程的形变量较一致, 均为3.9 mm, 与直径和工作电压关系不大; ②合金丝收缩到位所需时间受工作电压影响大, 相同直径下随工作电压增加, 时间急剧减小; ③合金丝的功耗受到直径和工作电压的双重影响, 变化范围广。
SMA解锁机构仿真参数表
![]() |
图4 不同直径、电压下SMA丝行程图 |
![]() |
图5 不同直径、电压下SMA丝收缩时间图 |
![]() |
图6 不同直径、电压下SMA丝功耗图 |
3.2 优化问题描述
在立方卫星太阳板解锁动作中, 为了缩短解锁时间, 不可避免地会对功率有更大的要求, 由于卫星体积有限能够提供的最大功率受限, 因此需要同时考虑时间和功率这两个因素来开展设计。优化目标是求取解锁时间和功耗综合指标最小时合金丝的直径以及工作电压, 建立目标函数如下
(16)
式中: t为合金丝收缩时间; Q为合金丝功耗, 引入系数N1, N2是为了使各个目标函数的变化量处于同一个量级。ξ1, ξ2为权衡系数, 且ξ1+ξ2=1, 可以根据需要调整ξ1, ξ2的值, 改变总时间和耗能在目标函数中的比重。
以直径和时间为优化参数, 考虑合金丝运动学约束, 优化问题可以描述为
(17)
式中: d为记忆合金丝直径; U为电压; t为解锁时间; Q为解锁消耗的能量; Dmin, Dmax, Umin, Umax为给定的相应约束。
3.3 基于粒子群算法的解锁机构优化方法
粒子群优化算法是一种模拟鸟群觅食的仿生算法, 具备原理简单、所需调整的参数较少、寻优精度高、速度快、易于工程实现等优点。算法通过在寻优区域释放m个初始粒子(粒子包含初始速度V和初始位置X), 通过粒子之间的合作与竞争, 逐次迭代, 不断更新自身速度和位置, 从而寻取全局最优解, 完成迭代[14]。算法迭代公式如下所示:
(18)
(19)
(20)
(21)
式中: ω为惯性权重; c1和c2为学习因子; Pbest为粒子自身的最优位置; Gbest为粒子的全局最优位置; k为迭代次数; r1和r2为(0, 1)内的随机数; f为粒子适应度。该机构优化设计中选取粒子为SMA丝直径和输入电压, 适应度f=lg(Z)。由于Z>0, 采用对数函数不影响其单调性, 但是可以扩展适应度值的跨度, 加快搜索算法收敛速度。
在设计算法时, 应在迭代初期拥有较大的ω, 让粒子遍历整个搜索空间, 随着迭代次数增长, ω值逐渐下降。因此将惯性权重调整如(22)式所示[15]
(22)
具体优化流程如图 7所示。选取ξ1=0.5, ξ2=0.5, N1=1, N2=100。得到如图 8~9所示的优化结果图以及收敛过程图。
由图 8~9可知, 经过40次迭代优化, 目标函数达到最小值。此时, 合金丝的直径为0.499 7 mm, 输入电压为1.174 2 V。因此, 综合考虑选用直径0.5 mm的SMA丝来设计解锁机构, 以实现太阳板快速、经济且安全可靠的在轨展开。图 10为SMA丝在优化设计结果下的应变-温度仿真曲线。
由图 10可知, 在该解锁机构中, 由于合金丝两端固定, 在升温过程中会因自身内力束缚导致其形变无法完全回复, 存在大约2.1%的残余应变。
解锁机构的在轨工作环境温度范围宽, 因此需对不同温度下拔销的收缩位移及解锁时间进行仿真, 结果如图 11所示。
由图 11可知, 在-70, 25和60℃ 3种环境温度下, 拔销位移均为1.8 mm, 但解锁时间分别为7.8, 3.2和1.4 s。在较高的环境温度下, SMA丝通电后可以更快地达到逆相变起始温度, 因此解锁时间更短, 但不影响最终的形变位移。
![]() |
图7 粒子群优化算法流程图 |
![]() |
图8 SMA丝优化结果图 |
![]() |
图9 PSO收敛结果图 |
![]() |
图10 0.5 mm直径合金丝应变-温度曲线图 |
![]() |
图11 不同环境温度下拔销位移和解锁时间曲线 |
4 实验验证
4.1 结果验证
实验中解锁机构采用直径0.5 mm的SMA丝, 工作电压为1.2 V。图 12为拔销运动过程仿真与实测曲线对比图, 结果对比见表 2。实际运动过程与仿真基本一致, 误差源于系统中拔销与其固定装置之间存在摩擦等因素。
![]() |
图12 拔销位移仿真和实验对比曲线图 |
拔销运动过程仿真与实测结果对比
4.2 位移一致性验证
为了对解锁机构样机的运动一致性进行验证, 搭建一套自动化测试系统, 对拔销位移动进行重复性测试, 系统如图 13所示。由计算机控制驱动电路实现对合金丝的自动加断电, 采用激光位移传感器采集拔销的运动位移, 采样周期10 ms, 精度1 μm。
根据拔销运动位移的实验统计数据, 可得其频数直方图及拟合曲线如图 14所示。
由图 14可知, 解锁机构在连续37次的实验中都成功解锁, 拔销位移在1.65~1.95 mm之间, 符合正态分布, 1.8 mm出现次数最多。正态分布曲线均值μ=1.79 mm, 标准差δ=0.048, 概率密度函数为
(23)
因此解锁机构的工作一致性较好, 所设计的解锁机构已通过各项环境实验, 在中国青少年科普卫星八一03星得到成功应用, 解锁结构在6U立方星上的安装状态如图 15所示。
![]() |
图13 测试系统框图 |
![]() |
图14 位移频数直方与正态分布图 |
![]() |
图15 解锁机构在6U立方星上的安装状态 |
5 结论
研制了一种基于SMA丝的立方卫星太阳板解锁机构。通过对解锁机构的建模仿真、优化设计和实验分析, 结果表明: ①解锁机构的包络尺寸仅为100 mm×20 mm×8 mm, 能够适应立方星苛刻的空间约束; ②直径0.5 mm的合金丝解锁机构具有最佳特性, 行程约1.8 mm, 在1.2 V电压下解锁所需要的时间约为3.2 s, 所需功率为3.55 W; ③解锁机构工作一致性好, 而且能够重复使用, 可靠性高, 对微纳卫星解锁机构设计具有积极的借鉴意义。
References
- QIN Xiaoyu, ZHANG Xiaoyong, YAN Xiaojun, et al. Self locking shape memory alloy feed locking mechanism[J]. Journal of Astronautics, 2016, 37(3): 357–363 [Article] (in Chinese) [Google Scholar]
- YAMANO A, SHINTANI A, ITO T, et al. Reducing the power consumption of a shape memory alloy wire actuator drive by numerical analysis and experiment[J]. IEEE/ASME Transactions on Mechatronics, 2018, 23(4): 1854–1865 [Article] [CrossRef] [Google Scholar]
- NIKDEL N, NIKDEL P. Using Neural network model predictive control for controlling shape memory alloy-based manipulator[J]. IEEE Trans on Industrial Electronics, 2013, 61(3): 1394–1401 [Google Scholar]
- XUAN Ming, ZHANG Daowei, GU Song, et al. Design of compact release mechanism for solar panel of micro satellite[J]. Optical Precision Engineering, 2017, 25(4): 447–454 [Article] (in Chinese) [Google Scholar]
- LIU M, HAO L. Design and control of a robotic wrist joint actuated by the shape memory alloy actuator[C]//2021 IEEE 11th Annual International Conference on CYBER Technology in Automation, Control, and Intelligent Systems, 2021: 225–229 [Google Scholar]
- YAN Xiaojun, YU Hai, ZHANG Ke, et al. Design and experimental study of small and fast SMA spatial unlocking mechanism[J]. Journal of Astronautics, 2008, 29(3): 1042–1046 [Article] (in Chinese) [Google Scholar]
- JIANG Jinmin. Research on low impact and large load compression release device based on shape memory alloy[D]. Harbin: Harbin Institute of Technology, 2012 (in Chinese) [Google Scholar]
- GUAN Tianmin, XU Ludi, LEI Lei. Structural design of separation ejection device driven by memory alloy spring[J]. Journal of Dalian Jiaotong University, 2020, 41(1): 54–58 [Article] (in Chinese) [Google Scholar]
- ZHANG Min, LI Songjing. Microfluidic color changing system driven by shape memory alloy(SMA)[J]. Journal of Northwestern Polytechnical University of Technology, 2020, 38(2): 377–383 [Article] (in Chinese) [CrossRef] [EDP Sciences] [Google Scholar]
- YAN Xiaojun, ZHANG Xiaoyong. Shape-memory alloy intelligent structure[M]. Beijing: Science Press, 2015 (in Chinese) [Google Scholar]
- LU Y, ZHANG R. A new variable speed phase transformation constitutive model of shape memory alloys[J]. Materials Research Express, 2019, 6(10): 105705[Article] [CrossRef] [Google Scholar]
- ZHAO Shicheng. Thermodynamic constitutive model of shape memory alloy considering temperature memory effect[D]. Harbin: Harbin Engineering University, 2012 (in Chinese) [Google Scholar]
- SHI H, TAN K, XU J, et al. Design and performance analysis of magnetic shape memory alloy actuator with a compact electromagnetic coil configuration[J]. IEEE Trans on Magnetics, 2020, 56(8): 1–13 [Google Scholar]
- MAO M, CUI L, ZHANG Q, et al. Classification and summarization of solar photovoltaic MPPT techniques: a review based on traditional and intelligent control strategies[J]. Energy Reports, 2020, 61312–1327 [CrossRef] [Google Scholar]
- BAI Xuebing, WU Yunpeng, LIN Xin. Application of ACPSO algorithm in photovoltaic MPPT control[J]. Power Technology, 2020, 44(12): 1804–1808 [Article] (in Chinese) [Google Scholar]
All Tables
All Figures
![]() |
图1 解锁机构示意图 |
| In the text | |
![]() |
图2 SMA解锁机构的模型框图 |
| In the text | |
![]() |
图3 弹簧-SMA驱动模型简图 |
| In the text | |
![]() |
图4 不同直径、电压下SMA丝行程图 |
| In the text | |
![]() |
图5 不同直径、电压下SMA丝收缩时间图 |
| In the text | |
![]() |
图6 不同直径、电压下SMA丝功耗图 |
| In the text | |
![]() |
图7 粒子群优化算法流程图 |
| In the text | |
![]() |
图8 SMA丝优化结果图 |
| In the text | |
![]() |
图9 PSO收敛结果图 |
| In the text | |
![]() |
图10 0.5 mm直径合金丝应变-温度曲线图 |
| In the text | |
![]() |
图11 不同环境温度下拔销位移和解锁时间曲线 |
| In the text | |
![]() |
图12 拔销位移仿真和实验对比曲线图 |
| In the text | |
![]() |
图13 测试系统框图 |
| In the text | |
![]() |
图14 位移频数直方与正态分布图 |
| In the text | |
![]() |
图15 解锁机构在6U立方星上的安装状态 |
| In the text | |
Current usage metrics show cumulative count of Article Views (full-text article views including HTML views, PDF and ePub downloads, according to the available data) and Abstracts Views on Vision4Press platform.
Data correspond to usage on the plateform after 2015. The current usage metrics is available 48-96 hours after online publication and is updated daily on week days.
Initial download of the metrics may take a while.















