| Issue |
JNWPU
Volume 37, Number 3, June 2019
|
|
|---|---|---|
| Page(s) | 552 - 557 | |
| DOI | https://doi.org/10.1051/jnwpu/20193730552 | |
| Published online | 20 September 2019 | |
Study on Active Heat Dissipation Performance of Cellular Sandwich Materials with Variable Thickness of Cell Wall
变厚度胞体壁多孔夹层材料的主动散热性能研究
1
School of Science, Northwestern Polythechnical University, Xi’an, 710072, China
2
School of Mechanics, Civil Engineering and Architecture, Northwestern Polythechnical University, Xi’an, 710072, China
3
The Chinese People's Liberation Army, 61267 Troops, Beijing 101114, China
4
MIIT Key Laboratory of Dynamics and Control of Complex Systems, Xi’an, 710072, China
Received:
26
May
2018
Abstract
The influence of the thickness variation of the cell wall on the active heat dissipation of the cellular sandwich was studied by deducing the thermal performance index of the cellular sandwich with variable thickness. The relationship between the relative density and the thermal performance index of the cellular sandwich with different cell structures was analyzed. Then, the maximum thermal performance index and the optimum relative density of the cellular sandwich with different cell structures were obtained. The relationship between the maximum thermal performance index and the optimal relative density and the variable thickness parameter was given by using linear fitting. The influence of the thickness of cell wall thickness on the optimal relative density and maximum thermal performance index of different cell structures was analyzed. It was concluded that the change in cell wall thickness has the slight effect on the hexagon, and the effect on the triangle and square is big.
摘要
通过推导变厚度胞体壁多孔夹层材料的散热系数,研究了胞体壁的厚度变化对多孔夹层材料主动散热性能的影响。分析了胞体壁厚度变化下,不同胞体构型多孔夹层材料的相对密度与散热系数的关系,并得到了不同胞体构型多孔夹层材料的最大散热系数和最佳相对密度。通过线性拟合,给出了最大散热系数和最佳相对密度与变厚度参数的关系,探讨了胞体壁厚度变化对不同胞体构型多孔夹层材料的最佳相对密度和最大散热系数的影响,并得到如下结论:胞体壁厚度变化对六边形单元的主动散热能力影响小,而对三角形和正方形单元的影响大。
Key words: cellular sandwich / active heat dissipation / variable thickness / maximum thermal performance index / linear fitting
关键字 : 多孔夹层材料 / 主动散热 / 变厚度 / 最大散热系数 / 线性拟合
© 2019 Journal of Northwestern Polytechnical University. All rights reserved.
This is an Open Access article distributed under the terms of the Creative Commons Attribution License (http://creativecommons.org/licenses/by/4.0), which permits unrestricted use, distribution, and reproduction in any medium, provided the original work is properly cited.
多孔夹层材料是构成胞体的边界和表面的支柱或平板相互连通成网络结构的材料[1]。随着现代工业装备技术的发展,多孔夹层材料以其优良的结构效率和隔热降噪等性能备受科研人员和工业技术人员的青睐,被广泛应用于现代建筑、军事装备和交通运输等诸多领域[2-4]。
近年来,多孔夹层材料作为一种超轻结构材料,其主动散热性能成为学术界关注的热点。Lemos等[5]研究了椭圆柱多孔夹层材料的传热系数及散热性能,并发现在相同的质量流率下,椭圆柱构型比方形构型具有更低的传热系数。Zhang等[6]采用了有限元与有限差分混合的快速数值方法,研究了在强迫对流条件下梯度金属多孔夹层材料的散热性能,并获得了固体壁面和流体沿着流动方向的温度分布。Ferkl等[7]分析了一维多孔夹层材料模型中的热传递,并给出了其等效热导率,为研究三维多孔夹层材料的热传递打下了基础。Mukherjee等[8]建立了具有多孔夹层结构的超燃冲压发动机的一维传热模型,并研究了其燃烧器表面的主动散热性能。Eusebio等[9]讨论了对流、辐射、传导边界条件下,胞体结构的性质对聚合泡沫金属和多孔金属材料的散热性能影响,并指出在高热通量情况下,相对密度对多孔材料散热性能的影响是最大的。杨微[10]基于FE-FDM方法对四边形蜂窝结构散热器的结构尺寸和拓扑构型进行优化设计,使蜂窝结构整体散热性能提高了50%左右。张凯等[11]考虑了对流换热的边界条件下多孔夹层材料的主动散热性能,发现正六边形构型的多孔夹层材料具有显著的主动散热性能优势。雷鸿等[12]利用场协同原理分析了泡沫材料的对流换热机制,并指出在使用泡沫材料作为散热器的核心部件时,应选择空隙大小较为均匀的材料。王浩[13]基于蒙特卡洛和热网络法建立了导热和辐射换热耦合条件下金属蜂窝结构的传热计算模型,指出减小蜂窝结构的孔隙率可以提高金属蜂窝结构热防护性能。吴一昊等[14]建立了考虑辐射效应金属蜂窝芯板的有限元传热模型,发现辐射换热是蜂窝结构的主要传热方式。
从以上研究成果可以发现,无论是理论计算还是实验分析,都是在等厚度胞体壁的条件下进行的,而自然和工程实例告诉我们,变厚度胞体壁多孔夹层材料具有更优的性能。因此,本文将通过推导变厚度胞体壁多孔夹层材料的散热系数,分析胞体壁厚度变化下,不同胞体构型多孔夹层材料的相对密度与散热系数的关系,进而研究胞体壁厚度变化对各种胞体构型多孔夹层材料的主动散热性能的影响。本文的研究可为变厚度胞体壁多孔夹层材料的结构优化提供一定的理论基础。
1 研究模型及其相关参数
1.1 研究模型
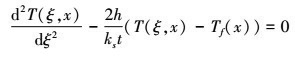
本文分析的散热器模型和多孔夹层材料胞体构型如图 1和图 2所示,其中胞体的构型分为三连通正方形、四连通正方形、四连通三角形、六连通三角形和六边形。上下壁面保持恒定温度Tw。速度为V0, 温度为T0, 压强为p0的冷却流体在入口处进入多孔夹层结构。在出口处, 流体的温度为Te, 压强为pe。Ωf, vf, μf, cp分别表示恒定压降下的流体密度、运动黏度、剪切黏度和比热容。
![]() |
图1 分析模型 |
![]() |
图2 胞体结构形式 |
1.2 相对密度
变厚度胞体壁多孔夹层材料模型如图 3所示。
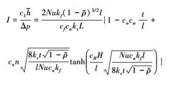
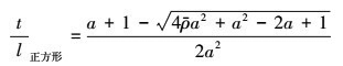
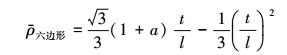
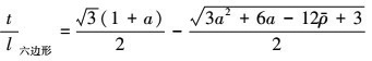
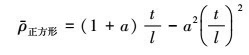
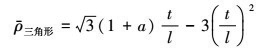
胞体壁两端厚度为t, 中间厚度为at, 厚度变化参数为a。三角形、正方形和六边形胞体构型多孔夹层材料的相对密度ρ分别为
1
2
3
三角形、正方形和六边形胞体构型多孔夹层材料的长宽比t/l为
4
5
6
![]() |
图3 变厚度胞体壁 |
1.3 压降
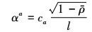
每种胞体构型的表面积密度αa为
7
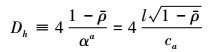
其中表面积密度系数为ca, 每种胞体构型的水力直径Dh为
8
由Hagen-Poiseuille动量方程可以得到多孔夹层材料的压降Δp
9
式中,ReDh=u*Dh/vf是雷诺数, u*=u0/(1-ρ)是管道上的平均流体速度, 摩擦因数为cf。
2 多孔夹层材料散热系数的建立
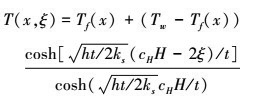
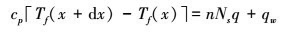
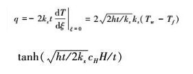
多孔夹层材料的换热系数为ks, 胞体壁厚度为t, 局部传热系数为h=0.25caNukf/l
, 则多孔夹层材料中的单波纹壁的温度控制方程为[10]。
10
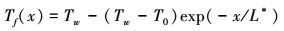
式中努塞尔特数为Nu, 流体热导率为kf, 沿着胞体长度的局部坐标为ξ。考虑等温的边界条件T(0, x)=T(cHH, x)=Tw, 其中cH为胞体壁弯曲系数, 解此方程得
11
从上下壁面流入空气的热量为
12
式中,Ns=cnW/l从上下壁面流入流体中的热量为
13
由流经结构气体的能量守恒可以得到
14
解得
15
式中
16
则气体的平均温度为
17
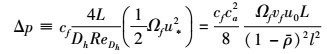
散热器入口处的质量流率为ṁ=Ωfv0WH, 考虑翅片流入空气中热量的系数为n, 相关参数参见表 1。
由多孔夹层材料中气体的温度分布, 可以得到气体流经多孔夹层材料后消散的总热量为
18
多孔夹层材料的总传热系数为
19
式中,
, c1=vfΩfu0/ks, 则多孔夹层材料的散热系数
20
多孔夹层材料中各种胞体构型的相关参数
3 胞体壁厚度变化对多孔夹层材料主动散热性能的影响与分析
将不同构型的变厚度胞体壁的长宽比t/l代入等式(20), 可得到不同胞体构型变厚度胞体壁多孔夹层材料的散热系数I。代入参数, 由等式(20)计算得到各种胞体构型多孔夹层材料的散热系数I与相对密度ρ的关系(见图 4)。
其中l=1 mm, L/l=100, H/l=10, ks=200 W/(mg·K), kf=0.026 W/(mg·K)[11]。从图 4中可以发现, 随着厚度参数a的变化, 散热系数I都随着相对密度的增大而先增大后减小。最大散热系数Imax随着厚度参数a的增大而逐渐减小, 最佳相对密度ρopt随着厚度参数a的增大而逐渐增大。随着厚度参数a的变化, 得到的每种胞体构型的最大散热系数Imax和最佳相对密度ρopt。
厚度参数a与最佳相对密度和最大散热系数的关系可以近似看作是线性的。通过线性拟合, 得到了三连通正方形、四连通正方形、四连通三角形、六连通三角形和六边形胞体构型的最佳相对密度ρopt和最大散热系数Imax与厚度参数a的关系。
21
22
23
24
25
26
27
28
29
30
随着厚度参数a的增大, 六连通三角形的最佳相对密度增大最快, 而六边形增大最慢, 三连通正方形的最大散热系数下降最快, 而六边形的最大散热系数下降最慢。这表明厚度的变化对六边形单元的主动散热能力影响小, 而对三角形和正方形单元的影响大。
![]() |
图4 不同胞体构型多孔夹层材料的相对密度与散热系数的关系 |
![]() |
图5 各种胞体构型的最大散热系数和最佳相对密度与厚度参数a的函数图 |
4 结论
本文通过推导变厚度胞体壁多孔夹层材料散热系数, 研究了胞体壁厚度变化对多孔夹层材料主动散热性能的影响。得到了以下结论:
1)随着厚度参数a的变化, 散热系数I都随着相对密度的增大而先增大后减小。最大散热系数Imax随着厚度参数a的增大而逐渐减小, 最佳相对密度ρopt随着厚度参数a的增大而逐渐增大, 但最佳相对密度ρopt还是在0.06~0.17之间。
2) 四连通正方形具有最大的最佳相对密度, 六边形具有最小的最佳相对密度。六边形具有最大的最散热系数, 四连通三角形具有最小的最大散热系数。厚度参数a与最佳相对密度ρopt和最大散热系数Imax具有近似线性关系。通过线性拟合, 得到了最佳相对密度ρopt和最大散热系数Imax与厚度参数a的函数。
3) 随着厚度参数a的变化, 三角形和正方形的最大散热系数和最佳相对密度变化快, 而六边形的最大散热系数和最佳相对密度变化慢。说明厚度的变化对六边形单元的主动散热能力影响小, 而对三角形和正方形单元的影响大。
本文研究了变厚度胞体壁多孔夹层材料的主动散热性能, 为变厚度胞体壁多孔夹层材料的结构优化提供了理论支持, 同时为三维金属泡沫材料的主动散热性能研究打下一定的基础。
References
- GibsonL J, AshbyM F. Cellular Solids:Structure and Properties[M]. New York, Cambridge University Press, 2014 [Google Scholar]
- SchaedlerT A, CarterW B. Architected Cellular Materials[J]. Annual Review of Materials Research, 2016, 46(1): 070115 [Article] [Google Scholar]
- ChenXiuyan, RongJili, ChenXiangyu, et al. Analysis and Optimization for Medium and High Frequency Noise Attenuation of Rocket Fairings with Porous Material[J]. Journal of Astronautics, 2018, 39(4): 383-391 [Article] [Google Scholar]
- YaoDan, DuJiping, ZhangJie, et al. Parameter Identification of Acoustic Porous Materials and Its Application in Sound Insulation of Metro Ceilings[J]. Journal of Central South University, 2018, 49(1): 253-260 [Article] [Google Scholar]
- MarceloJ S, DeLemos, MarceloB. Heat-Transfer Coefficient for Cellular Materials Modeled as an Array of Elliptic Rods[J]. Advanced Engineering Materials, 2010, 11(10): 837-842 [Google Scholar]
- ZhangY, XuY, LiuS. A Fast Numerical Method for the Analysis of the Heat Transfer Performance of Graded Metallic Honeycomb Materials[J]. International Journal of Heat & Mass Transfer, 2014, 79(79): 507-517 [Article] [CrossRef] [Google Scholar]
- FerklP, PokornyR, BobákM, et al. Heat Transfer in One-Dimensional Micro-and Nano-Cellular Foams[J]. Chemical Engineering Science, 2013, 97(7): 50-58 [Article] [CrossRef] [Google Scholar]
- Mukherjee R, Gopinath N K, Vignesh V, et al. Thermal Analysis of Scramjet Combustor Panel with Active Cooling Using Cellular Materials[C]//30th International Symposium on Shock Wavesl, 2017 [Google Scholar]
- EusebioS. Influence of Solid Phase Conductivity and Cellular Structure on the Heat Transfer Mechanisms of Cellular Materials:Diverse Case Studies[J]. Advanced Engineering Materials, 2010, 11(10): 818-824 [Google Scholar]
- Yang Wei. Three-Dimensional Gradient Design of Metal Honeycomb Heat Exchanger Based on FE-FDM Method[D]. Dalian, Dalian University of Technology, 2016(in Chinese) [Google Scholar]
- ZhangKai, DengZichen. Active Heat Dissipation of Cellular Materials with Convection Boundary Conditions[J]. Acta Materiae Compositae Sinica, 2010, 27(4): 152-159 [Article] [Google Scholar]
- LeiHong, ZhangXinming, WangJiping. Heat Transfer Enhancement of Porous Foams and Analysis with Field Synergy Principle[J]. Materials Review, 2018, 32(6): 1010-1014 [Article] [Google Scholar]
- Wang Hao. Study on Heat Transfer Characteristics Honeycomb Structure under Aerodynamic Heating Conditions[D]. Harbin, Harbin Univesity of Technology, 2014(in Chinese) [Google Scholar]
- WuYihao, WangTianshu. The Simulation of Heat Transfer Performance of Metal Honeycomb Sandwich Panel Taking into Account Radiative Effects[J]. Materials Review:Album on Nanometer and New Materials, 2016, (1): 164-167 [Article] [Google Scholar]
All Tables
All Figures
![]() |
图1 分析模型 |
| In the text | |
![]() |
图2 胞体结构形式 |
| In the text | |
![]() |
图3 变厚度胞体壁 |
| In the text | |
![]() |
图4 不同胞体构型多孔夹层材料的相对密度与散热系数的关系 |
| In the text | |
![]() |
图5 各种胞体构型的最大散热系数和最佳相对密度与厚度参数a的函数图 |
| In the text | |
Current usage metrics show cumulative count of Article Views (full-text article views including HTML views, PDF and ePub downloads, according to the available data) and Abstracts Views on Vision4Press platform.
Data correspond to usage on the plateform after 2015. The current usage metrics is available 48-96 hours after online publication and is updated daily on week days.
Initial download of the metrics may take a while.





