| Issue |
JNWPU
Volume 37, Number 5, October 2019
|
|
|---|---|---|
| Page(s) | 903 - 908 | |
| DOI | https://doi.org/10.1051/jnwpu/20193750903 | |
| Published online | 14 January 2020 | |
Study on Transient Thermal Response for Functionally Graded Materials Based on Peridynamic Theory
基于近场动力学理论的功能梯度材料瞬态热响应研究
School of Aeronautics, Northwestern Polytechnical University, Xi'an 710072, China
Received:
9
October
2018
Abstract
The transient heat conduction formula of functionally graded materials (FGMs) is presented based on peridynamics (PD). The simplified micro-heat conductivity model for FGMs is proposed and the numerical discretization and the peridynamic numerical formation are also illustrated. A FORTRAN program is coded to implement calculations. The accuracy of the program is verified by comparing the FEM and analytical results with PD solution. The FGM rectangle plate composed by titanium alloy coating zirconium oxide is performed to calculate temperature fields. The effects of material gradient, porosity and temperature load on thermal response are studied. It is shown that the ceramic proportion of FGMs is increased with an increasing material shape parameter and the thermal shielding performance of FGMs is also improved. The effect of the porosity on thermal response is more and more significant with the increasing time step. The increasing temperature load only affects the temperature response of FGM ceramic area. The thickness of temperature distribution area is increased with the increasing of heat conduction time.
摘要
基于近场动力学 (peridynamics,简称PD) 理论推导了功能梯度材料 (functionally graded materials,简称FGMs) 的热传导控制方程,给出FGM简化微热导率模型与PD热传导方程离散过程及数值计算格式。编写了PD热传导数值计算FORTRAN程序,并与有限元解及解析解对比验证了程序正确性。计算了以钛合金表面涂覆氧化锆的FGM矩形板温度分布,研究了组分分布形状、孔隙率以及边界温度对FGM瞬态热响应的影响。结果表明:组分形状分布系数增大,使得陶瓷材料占比提高导致FGMs隔热性能增加;孔隙率对温度分布的影响随传热时间的增加而增加,导致FGMs隔热性能降低;温度荷载的升高只会影响FGM陶瓷区一定厚度内的温度响应,该温度分布厚度随传热时间的增加而增大。
Key words: peridynamic theory / transient heat conduction / functionally graded materials / temperature distribution / material gradient / porosity / titanium alloy coating zirconium oxide / simplified micro-heat conductivity model
关键字 : 近场动力学 / 瞬态热传导 / 功能梯度材料 / 温度分布 / 组分 / 孔隙率 / 钛合金表面涂覆氧化锆 / 简化微热导率模型
© 2019 Journal of Northwestern Polytechnical University. All rights reserved.
This is an Open Access article distributed under the terms of the Creative Commons Attribution License (http://creativecommons.org/licenses/by/4.0), which permits unrestricted use, distribution, and reproduction in any medium, provided the original work is properly cited.
功能梯度材料是一种新型复合材料。不同于铺层复合材料,FGM材料属性是连续变化的,不存在明显界面。因此,在荷载作用下不会发生界面两侧的力学响应突变。由于其优良的热力性能,FGMs在航空航天隔热防热工程中得到越来越广泛的应用[1],研究FGM结构的热响应行为成为必要。
在分析非均匀材料传热问题时传统局部理论模型的热响应结果和试验结果相比存在较大误差,非局部理论模型能够有效提高计算精度[2-2]。近场动力学是一种采用微分-积分方程代替微分方程的非局部理论[4]。与传统有限元法对比,PD模型计算得到的非均匀材料热响应结果更加逼近解析解[5]。国内外学者采用PD理论求解传热问题进行了研究。Bobaru和Duangpanya[6-6]推导了键基PD热传导方程,并与解析解对比验证,研究了近场范围尺寸δ对PD解收敛性的影响。Oterkus和Madenci等[8]基于Euler-Lagrange方程导出态基PD热传导方程,并提出虚拟边界层温度条件的代入方法。Agwai[9]给出3种PD热传导“内核”函数以及对应的材料微热导率,发现在PD数值计算中应对材料微性能参数和材料点体积进行修正,提出表面修正因子和体积修正因子改进了PD数值结果。Liao和Liu等[10]采用态基PD对指数型FGMs的传热问题进行了分析。刘英凯和程站起[11]研究了指数型FGMs的温度分布。刘硕和方国东等[12]采用PD与有限元耦合方法求解热传导问题,提出了计算精度和效率更高的耦合方案。然而,基于非均匀材料传热计算精度更高的PD理论和基于Kerner细观力学模型的FGM瞬态热响应研究还未有报道。
FGMs宏观物性参数预测模型主要有3种:理想函数模型,体积分数模型[13]以及Kerner细观力学模型[14]。与理想函数模型和体积分数模型相比,基于微观力学理论建立的Kerner细观力学模型考虑了制备过程中产生的孔隙对物性参数的影响。因此,Kerner细观力学模型更具实际工程意义。本文以Ti-6Al-4V金属表面涂覆ZrO2陶瓷的FGMs为研究对象,基于PD理论采用Kerner细观力学模型预测该FGMs热物性系数并研究其热传导问题,分析FGMs材料组分、孔隙率以及温度边界对热响应分布的影响。为FGMs在热防护结构及热障涂层的工程设计和应用提供有用信息。
1 FGM热传导方程
近场动力学与经典局部理论的不同点在于PD理论考虑的是材料点近场范围内所有其他材料点与中心材料点间的相互作用,而经典局部理论只考虑与材料点临近接触的点间的相互作用。近场范围指的是以材料点x为中心,有限大小半径δ的邻域,如图 1所示。
在热传导问题中,材料点的相互作用就是以热流密度表达的热能交换。PD理论的均匀材料热传导方程可通过Euler-Lagrange方程或者能量守恒定律导出[8]:
(1)
式中, ρ和c分别表示材料的密度和比热容。hs(x, t)表示单位体积上的热生成量。fq(x′, x, t)表示x点近场范围内所有材料点x′与点x间的相互作用, 也被称作热响应函数或者“内核”函数。键基PD理论下fq(x′, x, t)一般形式表达如下[6]:
(2)
κ表示材料的微热导率(micro-heat conductivity), 该材料系数为PD理论中的热导率, 在温度线性分布的假定之下, κ可由经典热势能与PD热势能间的等价关系导出[6, 7]。ξ是点x′和x间的向量差。τ(x′, x, t)是t时刻点x′和x温差, 它等于
(3)
整数n被称为“形状因子”, 该参数通常取为0, 1和2。一维热传导下κ表达式如下
(4)
式中, A是材料点的截面面积。
对FGMs而言, 热物性参数均为空间坐标函数, 密度ρ和比热容c是近场中心点的函数:
(5)
FGM微热导率κ仍由(4)式计算, 但需将热导率k应替换为k(x′)和k(x)的函数, 这里取为两点的平均值。材料的ρ(x), c(x)以及k(x′)和k(x)由FGM物性值预测模型决定。
![]() |
图 1 近场范围 |
2 正确性检验
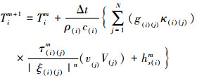
近场动力学理论的FGM热传导方程为微分积分方程, 考虑表面效应和体积效应, 时间微分项采用向前差分格式, 空间积分项采用Gauss中点数值积分方法, PD热传导方程变为
(6)
式中, 下标i表示第i个材料点, j表示材料点i近场范围内的第j个材料点, 见图 1。N为材料点i近场范围内的材料点总数。上标m表示第m个离散时刻。Δt为时间步长, V(j)表示材料点j的体积。g(i)(j)称为表面修正因子, v(j)为体积修正因子[9]。温度边界条件采用虚拟边界层方法代入。
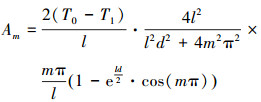
现有FGM杆件, 长度为10 mm, 杆两端为冷却边界:T(0, t)=T(l, t)=T1=0 K; 初始温度T(l, 0)=T0=100 K; 假定其物性值为指数函数:热导率k=Dedx W/m·K, ρc=Eedx J/K·m3, 其中D, E以及d为材料非均匀参数, 取为D=E=1.0, d=0.1。其分离变量解为
(7)
式中, Am为
(8)
PD离散参数为1 000个材料点, 材料点间距Δ=0.01 mm, 近场范围δ=3.015Δ, 时间步长Δt=1.0×10-5 s, 形状参数n=2。在1.0 s和3.0 s时的温度响应结果与解析解和有限元计算结果对比分别如图 2和图 3所示。
由图 2和图 3可知:基于PD理论的热传导计算结果与分离变量解和FEM解符合较好, 证明本文PD数值结果正确可靠。
![]() |
图 2 FGM杆温度分布(t=1.0 s) |
![]() |
图 3 FGM杆温度分布(t=3.0 s) |
3 FGM瞬态热响应分析
现有厚度为b=10 mm的FGM矩形板, 如图 4所示。
该板由下边界Ti-6Al-4V金属随空间坐标的改变连续变化为上界面处的ZrO2陶瓷。下边界在t>0时, 边界温度为T1, 上边界绝热。初始温度为T0, 无内热源。FGM组分纯材料的热物性参数如表 1所示。
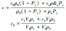
采用Kerner细观力学模型预测FGM物性参数:
(9)
(10)
(11)
式中, k为热导率, ρ为密度, c为比热容; V表示体积分数; 下标1表示Ti-6Al-4V金属材料; 下标2表示ZrO2陶瓷材料, 下标a为空气。金属和陶瓷体积分数的V1和V2为可表示为
(12)
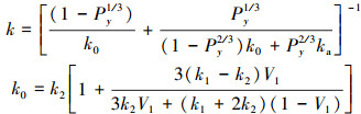
式中, My为y方向上的材料组分形状分布系数。不同My取值下金属材料体积分数随坐标位置的分布如图 5所示。Py为FGM孔隙率, 其计算公式为

(13)
式中,ny, zy以及Ay为孔隙率控制参数, 一般ny和zy取为1.0。
![]() |
图 4 一维功能梯度材料板 |
FGM组分材料物性值
![]() |
图 5 金属材料体积分数 |
3.1 材料组分对热响应的影响
边界温度T1为200 K, 初始温度T0为20 K, 孔隙率控制参数Ay=0.0, ny和zy取为1.0。研究材料组分系数My对FGM热响应影响。My分别取为0.01, 0.20, 1.00, 5.00以及70.0, 在t=1.0 s和t=3.0 s时的FGM矩形板厚度方向上的瞬态热响应, 如图 6和图 7所示。
由图可知, 随着形状分布系数My的增大, FGM矩形板厚度方向上的温度响应逐渐越低。在t=1.0 s时y=8.0 mm处温度分布下降最大, 由My=0.01时的83.5 K降低到My=70.0时的21.2 K(见图 6)。在t=3.0 s时y=8.0 mm处温度下降程度进一步扩大(见图 7)。当My增大时Ti-6Al-4V金属组分的体积分数将逐渐减小, ZrO2陶瓷组分逐渐增多, 导致FGM矩形板的导热性能降低, 隔热性能变好。My取1.0时FGMs的隔热性能与My=5.0和My=70.0时差距并不明显, 但My增大会使FGMs因陶瓷组分的增多而降低材料延性。
![]() |
图 6 FGM板厚度方向上的热响应(t=1.0 s) |
![]() |
图 7 FGM板厚度方向上的热响应(t=3.0 s) |
3.2 孔隙率对热响应的影响
边界温度T1和初始温度T0不变, 组分形状分布系数My取1.0。孔隙率控制参数ny和zy仍然取为1.0, Ay的取值范围是3.99≥Ay≥0.0, 分别取为0.0, 1.0, 2.0, 3.0以及3.99。孔隙率控制参数Ay取不同值时在t=1.0 s和t=3.0 s时刻FGM矩形板厚度方向上的瞬态热响应如图 8和图 9所示。
由图 8可得, 当t=1.0 s时, 随着孔隙率参数Ay的增大FGM矩形板厚度方向上的温度分布逐渐升高, 但其影响并不明显。在t=3.0 s时(如图 9所示), 随着Ay的增大温度响应有所上升, 说明随着热传导时间的增加孔隙率对温度响应的影响会愈加明显。孔隙含量增多使得FGMs中空气物性值占比增加, 导致FGMs热物性值降低(如图 10和图 11所示), 但由(6)式可知, FGM密度和比热容下降却会引起温度响应升高。
![]() |
图 8 FGM板厚度方向上的热响应(t=1.0 s) |
![]() |
图 9 FGM板厚度方向上的热响应(t=3.0 s) |
![]() |
图 10 热导率 |
![]() |
图 11 密度和比热容的乘积 |
3.3 边界温度对热响应的影响
边界温度T1分别取200, 350, 480以及720 K, 初始温度T0仍取20 K, 组分系数My取1.0, 孔隙率控制参数Ay取为0.00, ny和zy取为1.0。不同边界温度T1下在t=1.0 s和t=3.0 s时刻FGM矩形板厚度方向上的瞬态热响应, 如图 12和图 13所示。
由图可知, FGM组分系数My取1.0时温度荷载的增高只会影响陶瓷区一定厚度内的温度响应。t=1.0 s和t=3.0 s时刻FGM板的温度分布厚度主要控制在8 mm和6 mm之上的陶瓷区, 其他区域温度仍保持初始温度。该温度分布厚度随传热时间的增加而增大。
![]() |
图 12 FGM板厚度方向上的热响应(t=1.0 s) |
![]() |
图 13 FGM板厚度方向上的热响应(t=3.0 s) |
4 结论
1) 在PD理论下FGM热物性值的函数, 通过与解析解对比证明了FGM热传导数值算法的可靠性。
2) 组分形状系数增大会使得FGMs中的陶瓷组分占比提高, 导致FGMs隔热性能增强。组分形状系数取1.0及更大值时, FGMs隔热性能增强并不明显。
3) 孔隙率的增大会使FGMs温度分布逐渐升高, 导致FGMs隔热性能降低, 这种影响会随着传热时间的增加而有所提高。
4) 组分形状系数取1.0时温度荷载的增高只会影响陶瓷区一定厚度内的温度响应, 该温度分布厚度随传热时间的增加而增大。结合组分形状系数对热响应的影响可知采用FGMs作为隔热材料时组分形状系数取为1.0较为合理。
References
- Thai H T, Kim S E. A Review of Theories for the Modeling and Analysis of Functionally Graded Plates and Shells[J]. Composite Structure, 2015, 128(3): 70–86 [Article] [CrossRef] [Google Scholar]
- Sobolev S L. Equations of Transfer in Non-Local Media[J]. International Journal of Heat & Mass Transfer, 1994, 37(14): 2175 [Article] [CrossRef] [Google Scholar]
- Grmela M, Lebon G. Finite-Speed Propagation of Heat:A Nonlocal and Nonlinear Approach[J]. Physica A Statistical Mechanics and Its Applications, 1998, 248(3/4428–441 [Article] [NASA ADS] [CrossRef] [Google Scholar]
- Silling S A. Reformulation of Elasticity Theory for Discontinuities and Long-Range Forces[J]. Journal of the Mechanics and Physics of Solids, 2000, 48(1): 175–209 [Article] [Google Scholar]
- Wang Fei, Ma Yu'e, Guo Yanning. Effects of Kernel Parameters of Peridynamic Theory on Heat Conduction Numerical Solution for Non-Homogeneous Material[J]. Journal of Northwestern Polytechnical University, 2017, 35(2): 203–207 [Article] [Article] [Google Scholar]
- Bobaru F, Duangpanya M. The Peridynamic Formulation for Transient Heat Conduction[J]. International Journal of Heat and Mass Transfer, 2010, 53(19): 4047–4059 [Article] [CrossRef] [Google Scholar]
- Bobaru F, Duangpanya M. A Peridynamic Formulation for Transient Heat Conduction in Bodies with Evolving Discontinuities[J]. Journal of Computational Physics, 2012, 231(7): 2764–2785 [Article] [NASA ADS] [CrossRef] [Google Scholar]
- Oterkus S, Madenci E, Agwai A. Peridynamic Thermal Diffusion[J]. Journal of Computational Physics, 2014, 265(10): 71–96 [Article] [NASA ADS] [CrossRef] [Google Scholar]
- Agwai A. A Peridynamic Approach for Coupled Fields[D]. Tucson, University of Arizona, 2011 [Google Scholar]
- Liao Yang, Liu Lisheng, Liu Qiwen, et al. Peridynamic Simulation of Transient Heat Conduction Problems in Functionally Gradient Materials with Cracks[J]. Journal of Thermal Stresses, 2017, 40(12): 1484–1501 [Article] [CrossRef] [Google Scholar]
- Liu Yingkai, Cheng Zhanqi. Transient Heat Conduction Model for Functionally Graded Materials Based on Peridynamics[J]. Chinese Quarterly of Mechanics, 2018, 39(1): 82–89 [Article] [Google Scholar]
- Liu Shuo, Fang Guodong, Wang Bing, et al. Study of Thermal Conduction Problem Using Coupled Peridynamics and Finite Element Method[J]. Chinese Journal of Theoretical and Applied Mechanics, 2018, 50(2): 339–348 [Article] [Google Scholar]
- Fukui Y, Takashima K, Ponton C B. Measurement of Young's Modulus and Internal Friction of an in Situ Al-Al3Ni Functionally Gradient Material[J]. Journal of Material Science, 1994, 29: 2281–2288 [Article] [Google Scholar]
- Obata Y, Noda N. Unsteady Thermal Stresses in a Functionally Gradient Material Plate (Analysis of One-Dimensional Unsteady Heat Transfer Problem)[J]. Trans of the Japan Society of Mechanical Engineers Part A, 1993, 59(560): 1090–1096 [Article] [NASA ADS] [CrossRef] [Google Scholar]
All Tables
All Figures
![]() |
图 1 近场范围 |
| In the text | |
![]() |
图 2 FGM杆温度分布(t=1.0 s) |
| In the text | |
![]() |
图 3 FGM杆温度分布(t=3.0 s) |
| In the text | |
![]() |
图 4 一维功能梯度材料板 |
| In the text | |
![]() |
图 5 金属材料体积分数 |
| In the text | |
![]() |
图 6 FGM板厚度方向上的热响应(t=1.0 s) |
| In the text | |
![]() |
图 7 FGM板厚度方向上的热响应(t=3.0 s) |
| In the text | |
![]() |
图 8 FGM板厚度方向上的热响应(t=1.0 s) |
| In the text | |
![]() |
图 9 FGM板厚度方向上的热响应(t=3.0 s) |
| In the text | |
![]() |
图 10 热导率 |
| In the text | |
![]() |
图 11 密度和比热容的乘积 |
| In the text | |
![]() |
图 12 FGM板厚度方向上的热响应(t=1.0 s) |
| In the text | |
![]() |
图 13 FGM板厚度方向上的热响应(t=3.0 s) |
| In the text | |
Current usage metrics show cumulative count of Article Views (full-text article views including HTML views, PDF and ePub downloads, according to the available data) and Abstracts Views on Vision4Press platform.
Data correspond to usage on the plateform after 2015. The current usage metrics is available 48-96 hours after online publication and is updated daily on week days.
Initial download of the metrics may take a while.













