| Issue |
JNWPU
Volume 37, Number 3, June 2019
|
|
|---|---|---|
| Page(s) | 594 - 600 | |
| DOI | https://doi.org/10.1051/jnwpu/20193730594 | |
| Published online | 20 September 2019 | |
A Design of Online Fault Diagnosis System Based on ESR for Electrolytic Capacitors
基于ESR的电解电容器在线故障诊断系统设计
1
School of Automation, Central South University, Changsha 410075, China
2
School of Traffic & Transportation Engineering, Central South University, Changsha 410075, China
3
Unique Railway Transport Technology Co., Ltd, Changchun 130000, China
Received:
21
May
2018
Abstract
ESR(Equivalent Series Resistance) is one of the important indicators for evaluating health status of electrolytic capacitors. Due to the structural specificity of the electrolytic capacitors, ESR is difficult to measure directly. In order to monitor the health status of the electrolytic capacitor in real time, an equivalent model for the electrolytic capacitor is established. The ESR frequency characteristics and temperature characteristics are analyzed and tested. The method of online fault diagnosis by evaluating the health status of the electrolytic capacitor with online calculation of ESR is proposed. Comparing the calculated value of ESR real-time with the initial value, when the former increases to a certain threshold value with respect to the latter under the same working condition, the electrolytic capacitor can be considered as failed, and the observer can perform replacement processing according to this mechanism in time. Finally, the effectiveness of the method was verified by using the dSPACE semi-physical experimental platform.
摘要
ESR(等效串联电阻)是评估电解电容器健康状态的重要指标之一,而由于电解电容器结构特殊性,ESR值很难直接测量。为了实时监测电解电容器的健康状态,建立了电解电容器等效模型,分析并测试了ESR频率特性与温度特性,提出一种通过在线计算ESR评估电解电容器健康状态以实现在线故障诊断的方法。该方法将ESR实时计算值和初始值作比较,在同等工作条件下当前者相对于后者增加至一定数值时,可认为该电解电容器已失效,观测者可根据此机理及时进行更换处理。最后通过dSPACE半实物实验平台对新方法的有效性进行了实验验证。
Key words: electrolytic capacitor / equivalent series resistance(ESR) / online / fault diagnosis
关键字 : 电解电容器 / 等效串联电阻(ESR) / 在线 / 故障诊断
© 2019 Journal of Northwestern Polytechnical University. All rights reserved.
This is an Open Access article distributed under the terms of the Creative Commons Attribution License (http://creativecommons.org/licenses/by/4.0), which permits unrestricted use, distribution, and reproduction in any medium, provided the original work is properly cited.
现代电力电子技术广泛应用于工业、交通运输、电力系统等领域[1]。其中, 电解电容器尤其以铝电解电容器为代表, 凭借其能量密度大、容量高以及价格低的特点备受青睐, 然而, 电化学工作原理也使其成为系统最薄弱的部件之一, 不可预测性故障可能导致整个系统瘫痪。由文献[2]可知, 在开关电源系统中电解电容器的故障率占总故障率的60%, 高居榜首。
电解电容器损耗主要表现为ESR不断增加, 因此通过计算ESR值估算该电容器健康状态以实现在线故障诊断的目的。文献[3]表明, 当电解电容的ESR增加到初始值的2~3倍, 即可认为该电容器已经损坏, 应及时更换。
电解电容器基于ESR的故障诊断方法可以分为离线和在线2种, 2种方法都是通过直接或间接计算ESR来评估电容器的健康状态[4]。对于离线方法, 文献[5-6]将信号发生器、电容器以及附加电阻组成回路, 通过电容器两端的正弦电压波形利用牛顿迭代法计算该电容器的ESR值。文献[7]根据离线傅里叶变换, 利用阻抗矢量计算ESR值。文献[8]设计电容器充放电电路, 利用最小二乘法离线计算ESR。这些方法简单易行, 而且成本低, 但共同缺点是测量结果依赖测量组件精度, 而且测量不方便, 因为需要系统处于离线状态且取下电容器完成ESR值计算工作。
在线故障诊断方法是在系统运行的同时直接对电容器进行状态监测以实现故障诊断。文献[3]对boost PFC变换器根据中间直流环节电容侧一个周期内输入和输出功率差, 建立相应的电容器ESR模型。文献[9]利用UPS系统已存在的精确电流传感器获取电容器电流信号, 通过不同形式的卡尔曼滤波器求得ESR。文献[10]提出一种通过测量电容器内部温度和气压来计算其电解液余量, 估算ESR的方法。文献[11]针对光伏并网逆变器支撑电容通过采集功率管切换状态下电压变化和电流积分利用递推最小二乘法算法求ESR值。文献[12]在boost升压电路平台通过测量电感电流和负载电压利用充电和放电2种工作状态计算ESR。文献[13]针对buck电路提出一种通过采样脉冲宽度和输出电压计算ESR值的方法。文献[14]利用分数阶积分原理和米塔格-累夫勒函数实现ESR在线计算更精确的目的。文献[15]针对buck电路提出一种利用罗氏线圈获取输出电压和电感电流积分, 从而间接计算ESR的方法。文献[16]提出基于Hartley谐振拓扑的ESR和C检测电路, 可以用于全电驱动汽车和中等功率开关电源的电容监测, 但该方法针对不同规格的电容器需要单独调试参数。文献[17]针对电机驱动系统通过对电机负载注入交流信号并检测支撑电容的电压纹波和电流纹波信息计算ESR, 但该侵入式方法实际应用中的可行性和安全性有待商榷。和离线方法相比较, 在线方法有很多优点, 比如不需要使系统处于离线状态, 可以实时监测ESR数值等, 但上述方法主要有2点需要深入考虑:首先, 由于计算原理依赖目标电容器所在的电路结构, 对于其他电路结构是否适用值得商榷; 其次, ESR计算系统设计和实现算法复杂, 这将会导致系统响应时间过长。
针对上述目前已有方法不足之处, 本文从电解电容器内部结构出发, 根据电解电容器老化机制建立等效模型, 分析ESR的影响因素并通过实验进行测试和验证, 提出一种基于在线计算ESR的电解电容器故障诊断方法, 能够不依赖电容器所在电路结构, 算法简单且适用性强。
1 电解电容器老化机制与等效模型
1.1 结构与等效模型
电解电容器以铝电解电容器为例,根据在不同的工作条件下可以用不同的等效模型表示, 比较能全面反映其内部结构特性的等效电路如图 1所示[18]。
其中, R1是电极及其引出端子的电阻, R2是电解液电阻, 并联电阻R3是金属氧化膜电阻, 电容C1, C2分别表示阳极箔和阴极箔的电容量, 二极管D表示阳极金属氧化膜单向导通性, L是电极及其引出端子引起的等效电感。这种等效电路比较复杂, 实际应用中会忽略数值非常小的R3, 这样就可以合并R1和R2, 以及C1和C2, 等效电感L是由电极和引出端子所引起, 相对独立于温度和频率, 数值相对较小, 而且一般铝电解电容器工作频率不是很高, 可做忽略处理[12], 本文采用图 2所示等效电路。
![]() |
图1 电解电容器原始等效电路 |
![]() |
图2 电解电容器ESR等效模型 |
1.2 老化机制
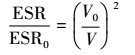
由文献[19-20]可知, 电解电容器性能与介质氧化膜和电解液有非常大的联系。一方面, 在电解电容器工作过程中, 电解液的作用直接影响了金属氧化膜介质性能变化; 另一方面, 由于电解电容器很难做到完全密封性, 所以电解液会从密封口挥发, 内部反应产生的气体和因纹波电流造成的温升也会加速这一进程。根据文献[21], 随着电解液挥发, 电解电容器ESR值会逐渐增大, 其关系可用(1)式表示
1
式中, ESR表示在温度20℃时ESR值, ESR0表示初始ESR值, V表示电解液体积, V0表示初始电解液体积。当电解液挥发掉其原始值的30%~40%时, 电解电容器ESR值也会增加到初始值的2~3倍, 此时可认为该电解电容器已经损坏, 观测者应及时做更换处理。
2 ESR温度特性和频率特性
随着电容器工作时间的增加, 电解液挥发使电容器ESR值增加, 但在相同时间点ESR值随着工作温度升高而减小, 主要是由于温度增加, 电解液电阻率减小。其关系可用(2)式表示[22]
2
式中, ESRS为特定温度下ESR初始值, A, B, C为常量, 取决于电容器种类, 具体数值可用实验方法测得。
根据电解电容器等效电路模型, 可将电解电容器视为一个理想电容和一个纯电阻串联, 其阻抗绝对值Z就是容抗和ESR之和, 关系式为
3
不难理解, 存在一个频率点f0, 当频率f < f0时,
, 则
, 即电容器的阻抗主要表现为理想电容器的容抗, 且随着频率的增加阻抗Z减小; 而当频率f≥f0时,
, 则Z≈ESR, 即电容器的阻抗主要表现为ESR, 且基本保持恒定。
为验证电解电容器>ESR温度特性与频率特性, 本文选取10只全新的同种品牌规格为2 200 μF, 450 V铝电解电容为研究对象, 在恒温箱提供的特定温度下, 利用LCR测量仪测量目标电解电容器在不同温度以及不同频率下阻抗Z和ESR值, 并将各项参数的均值作为测试结果。图 3显示在频率1 000 Hz时其ESR值随温度变化的曲线, 图 4显示在温度T=20℃时阻抗Z和ESR值随频率的变化曲线。
图 3表明, 电解电容器ESR值随着温度增加呈指数减小, 逐渐趋于稳定。从图 4可以看出, 在频率小于7 kHz时, 电容器阻抗主要表现为理想电容器的容抗, 而当频率大于7 kHz时, 电容器的阻抗则主要表现为ESR, 基本与理论分析一致。
另外, 由于电解电容器ESR值随温度的变化关系可用(2)式表示, 因此本文针对电解电容器ESR实验数据利用MATLAB仿真软件拟合工具进行拟合, 图 5为拟合结果, 对应(2)式中相关参数为A=8.69, B=43.54, C=12.30。
这样, 只要获得电解电容器工作温度, 就能计算出该温度点ESRS作为该温度下的初始ESR值, 由前文可知, 可根据同等温度下ESR值增加量判断电解电容器健康状态。
![]() |
图3 ESR随温度变化曲线 |
![]() |
图4 电解电容器ESR和阻抗Z频率分布 |
![]() |
图5 ESR随温度变化拟合模型 |
3 在线故障诊断系统设计
3.1 电容器实时ESR计算的基本原理
通过前文分析可知, 对于电解电容器在系统正常工作时, 可以计算ESR评估其健康状态。
提取电解电容器纹波电压和电流, 根据欧姆定律, 可以得出
4
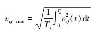
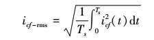
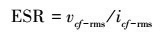
式中, vc为电容器纹波电压, ic为通过电容器的电流, Z为电容器阻抗值。由文献[23]可知, 中大型传动系统开关频率普遍在1 000~5 000 Hz, 且由上一节可知, 当电容器电压脉动频率在7 kHz以上时, 其阻抗则主要表现为ESR, 因此可利用高通滤波器提取纹波电压与纹波电流信号7 kHz以上的谐波分量, 根据(5)式和(6)式计算有效值, 则由(4)式可以得到(7)式
5
6
7
(5)~(7)式中, vcf和icf分别为纹波电压与纹波电流信号7 kHz以上谐波分量, vcf-rms和icf-rms分别为vcf和icf的有效值, Ts为纹波电压和纹波电流电流信号周期。于是, 在电容器正常运行时, ESR可以通过下式得到
8
因此, 电容器ESR实时故障诊断系统可分为4个主要步骤:
1) 提取电容器纹波电压和电流波形信息vc和ic;
2) 设计高通滤波器, 提取7 kHz以上谐波分量vcf和icf并求有效值vcf-rms和icf-rms, 根据(8)式计算实时ESR值;
3) 提取电容器运行温度T, 根据(2)式计算作为该温度下电解电容器的初始值;
4) 通过比较器对比相同温度下ESR实时计算值与初始值ESRS, 确定电容器的健康状态。
3.2 实时健康状态识别的基本原理
为了实时反映电解电容器健康状态, 本文设置参数α为ESR实时计算值相对ESRS的增量, 参数H为电容器健康状态等级。参数α计算公式如下式
9
H参数设置如下:
当1≤α < 2时, H=1, 表示健康状态良好;
当2≤α < 3时, H=2, 表示健康状态一般, 建议更换;
当3≤α时, H=3, 表示健康状态较差, 发出故障警告。
这样, 通过3.1节计算出的ESR值和(2)式计算的ESRS就能得到电解电容器实时健康等级, 提醒观测者进行相应的操作。
3.3 在线故障诊断系统原理图
图 6是电解电容器在线故障诊断系统原理图, 从图中可看出故障诊断系统主要分成4个部分。
1) 电压采样环节。图 7为本文设计的纹波电压获取电路原理图。图中, R1和R2是分压电阻, 电容C是隔离电容以隔离v1中的直流成分, 变比为1的电压互感器T起到采集交流电压信号和电气隔离的目的。
2) 电流采集环节。可采用罗氏线圈采集电解电容器的电流纹波ic以实现非侵入采样。
3) 温度采集环节。通过温度传感器采集电解电容器外壳的工作温度, 利用(2)式计算电解电容器ESR初始值ESRS。
4) 逻辑运算环节。逻辑运算环节由dSPACE半实物仿真平台实现, 完成电解电容器实时ESR计算和健康等级识别并输出结果。
![]() |
图6 在线故障诊断系统原理图 |
![]() |
图7 纹波电压获取电路 |
3.4 电容器故障诊断系统的测试
3.4.1 系统测试设置
为验证本文提出的故障诊断方法, 本文搭建了在直流变换领域应用非常广泛的boost(升压斩波)电路, 比如在光伏系统和功率补偿系统中广泛应用而且对boost电路稳定性要求非常高, 而前文已分析在功率变换系统系统中电解电容器是最易损坏的元器件之一, 因此对电解电容器的状态监测就显得非常重要。
表 1为本文搭建的boost电路主元器件参数设置。电容器采用上述同品牌同规格的电解电容器, 用温度传感器测量电解电容器的工作温度。图 8为电解电容器在线故障诊断系统结构图。
![]() |
图8 在线故障诊断系统结构图 |
boost电路主元器件参数设置
3.4.2 系统测试结果
根据(4)~(8)式可知, 利用电容器电压和电流的纹波信息计算其等效串联电阻。图 9为dSPACE
采样的纹波电压和纹波电流, 采样频率fs=80 kHz, 电容器工作温度T=18℃, 表 2为系统计算结果。
表 2中, ESR为系统实时计算值, ESRC是在同种温度下利用LCR测量仪离线测量的数据, 并作为实时计算值的参考标准。从表中数据可知, 一方面, 系统实时计算的ESR值的误差在5%左右, 对电容器健康状态的判断几乎不会产生太大影响。另一方面, 在同等温度下ESR计算值相对于ESR初始值, α=1.22, 并输出健康等级H值为1, 显示健康状态良好。
![]() |
图9 电容器纹波电压和电流 |
ESR计算结果
4 结论
本文阐述了电解电容器在正常工况下的老化机制, 分析并测试了电解电容器ESR的温度特性和频率特性, 建立了电解电容器ESR在线计算模型, 并考虑了工作温度的影响, 提出了电解电容器在线计算ESR以实现在线故障诊断的方法, 并针对boost升压电路利用dSPACE实验平台对该方法的有效性进行了实验验证。
References
- RenLei. Fault Feature Extraction Techniques for Power Devices in Power Electronic Converters:a Review[J]. Proceedings of the CSEE, 2015, 35(12): 3089-3101 [Article] [Google Scholar]
- Pang H M, Bryan P M H. A Life Prediction Scheme for Electrolytic Capacitors in Power Converters without Current Sensor[C]//Applied Power Electronics Conference and Exposition, 2010: 973-979 [Article] [Google Scholar]
- KaiY, TangW, XiaopengB I, et al. An Online Monitoring Scheme of DC-Link Capacitor's ESR and C for a Boost PFC Converter[J]. IEEE Trans on Power Electronics, 2016, 31(8): 5944-5951 [Article] [CrossRef] [Google Scholar]
- PuX S, NguyenT H, LeeD C, et al. Fault Diagnosis of DC-Link Capacitors in Three-Phase AC/DC PWM Converters by Online Estimation of Equivalent Series Resistance[J]. IEEE Trans on Industrial Electronics, 2013, 60(9): 4118-4127 [Article] [CrossRef] [Google Scholar]
- Amaral A M R, Cardoso A J M. Using Newton-Raphson Method to Estimate the Condition of Aluminum Electrolytic Capacitors[C]//IEEE International Symposium on Industrial Electronics, 2007: 827-832 [Article] [Google Scholar]
- TsangK M, ChanW L. Simple Method for Measuring the Equivalent Series Inductance and Resistance of Electrolytic Capacitors[J]. IET Power Electronics, 2010, 3(4): 465-0 [Article] [CrossRef] [Google Scholar]
- AmaralA M R, CardosoA J M. A Simple Offline Technique for Evaluating the Condition of Aluminum Electrolytic Capacitors[J]. IEEE Trans on Industrial Electronics, 2009, 56(8): 3230-3237 [Article] [CrossRef] [Google Scholar]
- Amaral A M R, Cardoso A J M. An Automatic Technique to Obtain the Equivalent Circuit of Aluminum Electrolytic Capacitors[C]//Conference of the IEEE Industrial Electronics Society, 2008 [Article] [Google Scholar]
- AbdennadherK, VenetP, RojatG, et al. A Real-Time Predictive-Maintenance System of Aluminum Electrolytic Capacitors Used in Uninterrupted Power Supplies[J]. IEEE Trans on Industry Applications, 2010, 46(4): 1644-1652 10.1109/TIA.2010.2049972[Article] [CrossRef] [Google Scholar]
- GasperiM L. Life Prediction Modeling of Bus Capacitors in AC Variable-Frequency Drives[J]. IEEE Trans on Industry Applications, 2005, 41(6): 1430-1435 [Article] [CrossRef] [Google Scholar]
- Sepehr A, Saradarzadeh M, Farhangi S. A Noninvasive On-line Failure Prediction Technique for Aluminum Electrolytic Capacitors in Photovoltaic Grid-Connected Inverters[C]//Conference on Power Electronics and Drive Systems Technologies, 2016: 356-361 [Google Scholar]
- BuiattiG M, Martin-RamosJ A, GarciaC H R, et al. An Online and Noninvasive Technique for the Condition Monitoring of Capacitors in Boost Converters[J]. IEEE Trans on Instrumentation & Measurement, 2010, 59(8): 2134-2143 [Article] [CrossRef] [Google Scholar]
- YaoK, TangW, HuW, et al. A Current-Sensorless Online ESR and C Identification Method for Output Capacitor of Buck Converter[J]. IEEE Trans on Power Electronics, 2015, 30(12): 6993-7005 [Article] [NASA ADS] [CrossRef] [Google Scholar]
- MalekH, DadrasS, ChenY. Fractional Order Equivalent Series Resistance Modelling of Electrolytic Capacitor and Fractional Order Failure Prediction with Application to Predictive Maintenance[J]. IET Power Electronics, 2016, 9(8): 1608-1613 10.1049/iet-pel.2015.0636[Article] [CrossRef] [Google Scholar]
- GiviH, FarjahE, GhanbariT. Switch Fault Diagnosis and Capacitor Lifetime Monitoring Technique for dc-dc Converters Using a Single Sensor[J]. IET Science Measurement & Technology, 2016, 10(5): 513-527 [Article] [CrossRef] [Google Scholar]
- Astigarraga D, Arizti F, Ibanez F M, et al. Online Indirect Measurement of ESR and Capacity for PHM of Capacitors[C]//Control & Modeling for Power Electronics, 2014 [Article] [Google Scholar]
- NguyenT H, LeeD C. Deterioration Monitoring of DC-Link Capacitors in AC Machine Drives by Current Injection[J]. IEEE Trans on Power Electronics, 2015, 30(3): 1126-1130 [Article] [NASA ADS] [CrossRef] [Google Scholar]
- ChenYongzhen. Capacitor[M]. Beijing, Science Press, 2008 (in Chinese) [Google Scholar]
- MaHao. Fault Diagnosis and Failure Prediction of Aluminum Electrolytic Capacitors[J]. Automation of Electric Power Systems, 2005, 29(15): 68-72 [Article] [Google Scholar]
- Khan S A, Khera N, Islam T, et al. An Online Method for Condition based Maintenance of Aluminum Electrolytic Capacitors[C]//Engineering and Computational Sciences, 2014: 1-5 [Google Scholar]
- Zhou Y, Ye X, Zhai G. Degradation Model and Maintenance Strategy of the Electrolytic Capacitors for Electronics Applications[C]//Conference on Prognostics and System Health Management, 2011: 1-6 [Google Scholar]
- Gasperi M L. Life Prediction Model for Aluminum Electrolytic Capacitors[C]//IEEE Industry Applications Conference Thirty-First IAS Annual Meeting, 1996: 1347-1351 [Google Scholar]
- VogelsbergerM A, WiesingerT, ErtlH. Life-Cycle Monitoring and Voltage-Managing Unit for DC-Link Electrolytic Capacitors in PWM Converters[J]. IEEE Trans on Power Electronics, 2011, 26(2): 493-503 10.1109/TPEL.2010.2059713 [NASA ADS] [CrossRef] [Google Scholar]
All Tables
All Figures
![]() |
图1 电解电容器原始等效电路 |
| In the text | |
![]() |
图2 电解电容器ESR等效模型 |
| In the text | |
![]() |
图3 ESR随温度变化曲线 |
| In the text | |
![]() |
图4 电解电容器ESR和阻抗Z频率分布 |
| In the text | |
![]() |
图5 ESR随温度变化拟合模型 |
| In the text | |
![]() |
图6 在线故障诊断系统原理图 |
| In the text | |
![]() |
图7 纹波电压获取电路 |
| In the text | |
![]() |
图8 在线故障诊断系统结构图 |
| In the text | |
![]() |
图9 电容器纹波电压和电流 |
| In the text | |
Current usage metrics show cumulative count of Article Views (full-text article views including HTML views, PDF and ePub downloads, according to the available data) and Abstracts Views on Vision4Press platform.
Data correspond to usage on the plateform after 2015. The current usage metrics is available 48-96 hours after online publication and is updated daily on week days.
Initial download of the metrics may take a while.









