| Issue |
JNWPU
Volume 38, Number 5, October 2020
|
|
|---|---|---|
| Page(s) | 1105 - 1111 | |
| DOI | https://doi.org/10.1051/jnwpu/20203851105 | |
| Published online | 08 December 2020 | |
Mechanism Design and Analysis of a New Overhead Transmission Line Inspection Robot
一种新型架空输电线路巡检机器人的机构设计
North China Electric Power University, Baoding 071003, China
Received:
15
October
2019
Abstract
The requirements of power system for the safety of overhead transmission lines are increasing. With the rapid development of mobile robot technology, the inspection of overhead transmission lines by inspection robots has become a research hotspot in recent years. Aiming at the task requirements of transmission line inspection robots and the environmental characteristics of transmission lines, researchers at home and abroad have developed a variety of inspection robots. However, most of these robots have problems such as inability to cross the strain tower, low obstacle crossing efficiency and poor safety. In order to solve the above problems, this paper proposes a new four-arm inspection robot mechanism. The robot can cross the strain tower with two different sets of arms working together. The rectangular frame structure on the walking arm improves the obstacle crossing efficiency of the robot, and the closed hanging mechanism ensures that the robot does not fall from the line. In this paper, the three-dimensional model of the robot is established, and the specific structure and motion parameters are given. Three typical obstacle-crossing modes are planned, and the motion analysis and force simulation analysis of the robot's obstacle-crossing process are carried out. The simulation result shows that the mechanism can efficiently cross the strain towers and common obstacles on the transmission line.
摘要
电力系统对架空输电线路安全性的要求日益提高,随着移动机器人技术的快速发展,利用巡线机器人对架空输电线路进行检查已成为近年来的研究热点。针对架空输电线路巡检机器人的作业任务需求和输电线路的环境特点,国内外研究人员已研发出多款巡线机器人,然而这些机器人大都存在无法跨越耐张杆塔、越障效率低和安全性差等问题。为解决上述问题,提出了一种新型四臂式巡线机器人机构,该机器人通过2组不同的手臂互相配合可以跨越耐张型杆塔。其中,行走臂上的矩形框架式结构提高了机器人的越障效率,封闭的挂线机构保证机器人不会从线上坠落。建立了该机器人的三维模型,给出了具体的结构及运动参数,规划出了3种典型越障模式,对机器人的越障效率和过程进行了仿真分析。分析结果表明,该机构可以高效率跨越耐张型杆塔以及输电线路上的常见障碍物。
Key words: inspection robot / four-arm structure / strain tower / obstacle-crossing mechanism / design / simulation
关键字 : 巡线机器人 / 耐张型杆塔 / 越障机构 / 四臂式结构 / 设计 / 仿真
© 2020 Journal of Northwestern Polytechnical University. All rights reserved.
This is an Open Access article distributed under the terms of the Creative Commons Attribution License (http://creativecommons.org/licenses/by/4.0), which permits unrestricted use, distribution, and reproduction in any medium, provided the original work is properly cited.
安全可靠的电力供应是经济发展和社会稳定的基础,电力的正常供应依赖于安全稳定的输电线路,然而由于架空输电线持续受到机械张力、恶劣天气等的影响,输电线会出现材料老化、断股等各种损伤,从而影响电力的正常供应[1]。为了及时发现输电线路中存在的问题,保证输电线路的安全稳定运行, 需要定期对其进行巡检。输电线路巡检机器人作为一种新的巡检装备具有工作效率高、安全性好等优点,拥有良好的市场应用前景[2]。
巡线机器人的研究始于20世纪80年代末,美国、日本等国家率先开展了巡线机器人的研究[3]。1988年,东京电力公司研发了一种光纤复合架空地线巡检机器人[4],该机器人自带的可伸展辅助导轨实现越障,但是由于缺少可靠的的电磁屏蔽机制,不适合对运行中的高压线进行检测。1991年,日本法政大学开发了一种由6组左右对称、首尾连接的小车构成的蛇形机器人[5],该机器人能够跨越分支线、绝缘子等障碍物,但不能跨越杆塔。日本关西电力公司研制出“EXPLINER”[6]机器人,该机器人只能在两杆塔间行走,并且由于自身重量和设计问题,无法在斜坡上避障,且其仅靠2只轮子挂线,恶劣天气下机器人极易从电缆上坠落。西安交通大学于2014年研发了一种新型双平行四边形结构的巡线机器人[7],山东科技大学于2017年开发了一种模拟长臂猿的仿生机器人[8],这几款机器人依然不能跨越耐张型杆塔。
针对上述巡线机器人存在的共性不足,本文提出了一种新型四臂式巡线机器人机构。对机器人越障效率、越障过程中手臂受力情况等进行的一系列仿真研究可以表明,该机器人能够安全高效地跨越耐张型杆塔以及输电线上的常见障碍物。
1 机器人机构设计
1.1 机器人工作环境分析
当前制约巡线机器人发展的2个重要问题,一是难以跨越杆塔,二是机器人整体越障效率不高。为解决以上2个问题,对巡线机器人的工作环境进行分析。
按输配电线路中杆塔的受力性质分类,杆塔一般分为悬垂型杆塔和耐张型杆塔2种[10]。悬垂型杆塔结构简单,越障难度不大。而耐张型杆塔(如图 1所示)结构较为复杂,引流线比较松弛且水平方向上的跨度较大[11],机器人很难直接跨越杆塔或者在引流线上行走。因此我们提出了一种能够在引流线上方的耐张绝缘子串上行走的新型机器人机构,以达到跨越耐张型杆塔的目的。
![]() |
图1 耐张型杆塔 |
输电线路上障碍物金具种类较多,不同电压等级输电线路上其具体规格尺寸也不相同。本文以500 kV架空输电线路为例,其上某些障碍物金具的具体规格尺寸如图 2所示[12-13]。根据与输电线上其他结构有无关联,可将这些金具分为“无需脱线型障碍物”和“需要脱线型障碍物”2类。针对不同类型的障碍物采用不同的越障方式,可以有效提高机器人越障能力与效率。
![]() |
图2 线路常见障碍物金具尺寸 |
此外,由于机器人是一直在线上运行的,所以机器人整体质量不应过大,否则会对输电线路和绝缘子串造成磨损和破坏,并且机器人是高空作业,一旦坠落可能会对其下的人员造成伤害,而且机器人本体也会出现不可修复性损伤,所以需充分保证机器人的安全性。
1.2 机器人机构组成及工作原理
巡线机器人机构组成如图 3所示。其主要由1个机箱和2对手臂构成,其中1对在输电线路上行走的手臂称之为行走臂,1对用来跨越杆塔的手臂称之为越塔臂,2对手臂互相配合,更安全高效地跨越障碍物。
![]() |
图3 机器人三维模型 |
每个行走臂由1个行走轮、矩形框架和上下2节行走臂构成。其中下节行走臂末端固定一微型双出轴电机,电机驱动带动与其出轴相连的齿轮状轮子转动,轮子沿着机箱上与之啮合的水平移动轨道行走,实现行走臂的水平运动。上、下2节行走臂内部有一滚珠丝杠传动机构,实现行走臂的竖直运动。矩形框架上方两侧均有一轴承,方便与行走轮相连。行走轮轮轴分为轴芯和轴套两部分,轴芯和轴套末端均为电磁铁,通过电磁铁的通断电实现矩形框架的闭合与否。行走轮通过微型空心杯电机驱动,其外表面喷涂一层导电橡胶并且进行粗糙化处理,使整个机器人与输电线之间保持相同的电压,避免两者之间形成电弧危及电路安全;可更换不同曲率的行走轮以适应不同规格的电线。
1对越塔臂采用类似双手攀援的方式行走,每个越塔臂由1个挂钩和上、下2节越塔臂构成。越塔臂除能进行水平方向的移动外,还有2个旋转自由度,靠关节内的微型舵机来实现。越塔臂2个挂钩的朝向相对,防止机器人倾斜坠落。
机箱部分能够平衡机器人的重心,其上部有若干条下陷的锯齿状轨道,与手臂底部的齿轮状轮子互相啮合,更好地保证行走机构的稳定性。轨道交汇处有一圆形转盘,能够带动行走到其上面的手臂转动方向,该转盘采用单齿条、多齿轮的传动方式。机箱上部可以搭载多种传感器,机箱内部包含有电源模块、控制模块等。
1.3 机器人结构及运动参数设计
根据障碍物尺寸和机器人越障方式确定机器人的具体结构参数和运动参数如图 4和表 1所示。l1, l2为上、下节行走臂的长度, l8, l9为矩形框架的长度和宽度, l12为行走轮一侧的伸缩自由度。θ1, θ2为越塔臂的2个旋转自由度, l3, l4为上、下节越塔臂的长度。l5, l6和l7为机箱长度、宽度和高度, l10, l11为滑轨在2个方向上的长度。
![]() |
图4 机器人具体参数图 |
机器人具体参数表
2 机器人越障过程设计
机器人在杆塔间行走时有“脱线”和“不脱线”2种模式, “不脱线”模式越障过程如图 5所示, 首先1对越塔臂分别移动到左右两侧以保证机器人的平衡, 当A臂遇到“无需脱线型障碍物”时, 提升手臂调整矩形框架位于合适的高度, B臂支撑机器人向前移动, A臂通过障碍物后再降下, 然后B臂抬起, A臂支撑机器人向前运动, 直至完全通过障碍物后B臂下降至线上。
![]() |
图5 “不脱线”模式越障过程 |
机器人“脱线”模式越障过程与“不脱线”模式类似, 不同的是当手臂遇到障碍物时提升手臂使行走轮不与输电线接触, 然后矩形框架“打开”, 手臂下降使行走轮脱离输电线。
机器人“越塔”模式越障过程如图 6所示。当机器人遇到引流线时, 2条行走臂均脱线, 由越塔臂支撑机器人。然后通过越塔臂旋转关节将机器人整体扭转到引流线一侧, C臂脱线, 沿机箱上的水平移动轨道向前运动, 越过引流线后, C臂挂线支撑机器人, D臂脱线, 越过引流线后, 一对越塔臂在耐张绝缘子串上行走。当机器人手臂再次遇到引流线时,按以上步骤进行越障即可跨越整个杆塔。在“越塔”模式下, 始终有一条行走臂的矩形框架套住输电线, 以防止机器人掉落。
![]() |
图6 “越塔”模式越障过程 |
3 可行性分析
3.1 机器人正常行走过程受力分析
机器人手臂的姿态, 可以分为竖直和有旋转角度2种状态, 现分析机器人正常行走过程中手臂竖直状态下的受力情况。以机器人正常上坡状态为例, 该状态机器人匀速行走的受力模型如图 7所示, 由于输电线跨度较大, 为方便分析, 此时可以把机器人两行走轮之间输电线看作直线。
![]() |
图7 机器人正常行走状态受力模型 |
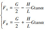
将输电线对行走轮的支撑力和摩擦力合并为输电线对行走轮的作用力, 即FA, FB, 机器人正常行走状态受力平衡方程为
1
式中:LAB为FB力臂长度; LAC为G力臂长度。
根据图 9中的几何关系, 可得
2
![]() |
图8 机器人正常行走状态两行走臂受力曲线 |
![]() |
图9 越障时机器人越塔臂两关节转矩 |
将(2)式带入到(1)式可得
3
式中各参数数值如下:机器人整体质量m=21 kg, 则重力G=205 N, 机器人在正常行走时两行走臂间距离以及行走臂的长度是不会改变的, 所以在它们的变化范围内取L=480 mm, H=180 mm。假设输电线坡度最大为30°。
将以上数值带入到(3)式中可得到机器人正常行走过程中两行走臂受力曲线如图 8所示。当坡度为0, 即机器人位于输电线底端时, 输电线对两手臂的作用力是相同的。随着输电线坡度的增大, FA不断减小, FB不断增大, 其总和始终不变。当坡度达到最大时, FB达到最大值为154 N。当机器人处于极限状态, 只有1条手臂挂线时, 我们不妨认为此时F=G=205 N, 这应当是机器人对输电线的最大作用力, 而输电线上平时悬挂的各种金具的重力以及大风等对其的拉力等均远大于这个数值, 所以输电线完全可以承载该机器人的重量。
3.2 机器人越障过程受力分析
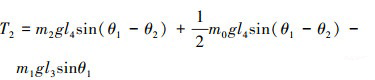
“越塔”模式下, 当2只有旋转角度的越塔臂同时支撑机器人时, 越塔臂的2个关节均产生转矩, 由于此时2只手臂旋转角度一致, 所以关节转矩也相同, 上、下2个旋转关节分别为旋转关节1、旋转关节2。关节转矩T1, T2如下所示:
5
6
式中:上节越塔臂长度l3=90 mm; 下节越塔臂长度l4=90 mm; 机架m0=13 kg; 上、下节越塔臂质量分别为m1=1.5 kg, m2=1 kg; 旋转关节1、2角速度分别为0.08 rad/s, 0.05 rad/s。
将以上数据代入(5)式、(6)式可得2个旋转关节的时间-力矩曲线, 如图 9所示。可以看出, 旋转关节转动角度增大, 力矩也随之增大, 由于旋转关节1需要平衡机箱和越塔臂两方对其产生的转矩, 所以其转矩相对于关节2较大, 最大可达到6 N·m左右。
4 机器人越障效率分析
基于SolidWorks软件, 对3种越障模式下的障碍物金具按实物尺寸建立模型, 与机器人模型进行装配, 设置好相应的接触、重力以及摩擦因数等, 分别对机器人3种越障模式的过程进行仿真, 可得到机器人“不脱线”、“脱线”越障模式下行走轮质心x, y, z方向的时间-位移曲线, 以及“越塔”模式下机器人质心的x, y, z方向的时间-位移曲线, 分别如图 10~12所示, x方向为机器人沿输电线行走的方向, y方向为行走臂在机箱上左右移动的方向, z方向为行走臂上升下降的方向, 为方便描述, 沿机器人运动方向把2条在线手臂分别称之为“前臂”、“后臂”。
![]() |
图10 机器人“不脱线”状态行走轮质心的时间-位移曲线 |
![]() |
图11 机器人“脱线”状态行走轮质心的时间-位移曲线 |
![]() |
图12 机器人“越塔”过程机器人质心的时间-位移曲线 |
图 10a)中, 3~6 s, z方向位移曲线轻微上升, x方向位移曲线停止变化, 说明该阶段机器人前臂遇到障碍物, 提升手臂高度准备越障, 24~27s, 图 10b)图变化与之相同, 说明此时后臂遇到障碍物。图 10a), 10b)中z方向位移曲线分别在24和47 s下降至0, 表示此时前后臂已分别跨越完障碍物。整个越障过程机器人用时不到60 s, 手臂仅需3 s就提升至可以直接通过障碍物的高度, 由此可见, 矩形框架的设计明显提高了越障效率。
图 11中x, y方向图线趋势与图 10相同, 不同的是前、后臂行走轮质心z方向曲线分别在3~8 s和38~43 s轻微上升后下降, 说明此时手臂遇到障碍物后需要进行“脱线”过程, 所以该状态整体越障时间比“不脱线”状态用时稍长。
图 12中, 3~10 s, y方向曲线明显下降, z方向曲线明显上升, 说明此时机器人遇到引流线, 越塔臂旋转关节转动, 带动机箱到引流线侧面, 之后x方向曲线继续上升, y, z方向曲线没有变化, 表明机器人以当前角度跨越引流线, 68~76 s, x方向曲线停止上升, y, z方向曲线回归之前状态, 表明引流线跨越完毕, 越塔臂关节旋转, 机箱回到输电线正下方。此后x方向曲线上升, 表示越塔臂沿着绝缘子串继续向前行走。
综合以上3图可以得出以下2点:①机器人各行走轮与机箱位移曲线较为平稳,可以看出机器人在越障过程中机体比较平稳,没有出现大幅度波动,说明该越障规划较为合理与科学;②机器人跨越压接管、防震锤等线上障碍物金具的所用时间在一分钟左右,机器人机身越过引流线所用时长在一分半钟左右,该机器人越障效率较高。
5 结论
本文根据现有的巡线机器人存在的不能跨越耐张型杆塔、越障效率低以及安全性差等问题,设计了一款新型机构的巡线机器人:行走臂上矩形框架式结构的设计使机器人可以直接越过某些“无需脱线型”障碍物,大大提高了机器人的越障效率;行走臂与越塔臂的相互配合使机器人可以越过耐张型杆塔,明显拓宽了机器人的工作范围,进一步提高了机器人的实用性;封闭的行走机构使机器人不会从线上坠落,提高了机器人的安全性。结合所设计的结构,本文提出了3种典型的越障方式,分析了手臂在越障过程中的运动位置和受力情况以及机器人整体越障效率,分析结果表明,该机器人可以高效率的跨越耐张型杆塔以及输电线路上的常见障碍物。本文提出的巡线机器人已具备了基本的越障能力,后续将重点开展实体样机的研究与设计工作。
References
- Sun Cuilian, Wang Hongguang, Zhao Mingyang, et al. A Review on the Locomotion and Obstacle Navigation Mechanism of the Inspection Robot for the High-Voltage Power Line[J]. Machinery Design & Manufacture, 2006, (10): 161– 163 [Article] (in Chinese) [Google Scholar]
- Yang Yuxiang. A Summary of Research on Bionic Mechanism of Transmission Line Patrol Robot[J]. Science & Technology Vision, 2019, (14): 34– 35 [Article] (in Chinese) [Google Scholar]
- Allan J F. Robotics for Distribution Power Lines: Overview of the Last Decade[C]//International Conference on Applied Robotics for the Power Industry, Zurich, 2013: 96–101 [Google Scholar]
- Sawada J, Kusumoto K, Munakata T, et al. A Mobile Robot for Inspection of Power Transmission Lines[J]. IEEE Power Engineering Review, 2002, 11 (1): 57 [Article] [CrossRef] [Google Scholar]
- Nakamura H, Shimada T, Kobayashi H. An Inspection Robot for Feeder Cables-Snake Like Motion Control[C]//Proceedings of the 1992 International Conference on Industrial Electronics, Control, Instrumentation, and Automation, San Diego, CA, 1992: 849–852 [Google Scholar]
- Debenest P, Guarnieri M, Takita K, et al. Expliner-Toward a Practical Robot for Inspection of High-Voltage Lines[J]. Field and Service Robotics, 2010, (7): 45– 55 [Article] [CrossRef] [Google Scholar]
- Yang D, Feng Z, Ren X, et al. A novel Power Line Inspection Robot with Dual-Parallelogram Architecture and Its Vibration Suppression Control[J]. Advanced Robotics, 2014, 28 (12): 807– 819 [Article] [CrossRef] [Google Scholar]
- Wang Jidai, Zhen Jing, Liu Xiaochen, et al. Study on the Bionic Structure of Inspection Robot for Power Transmission Lines[J]. Machinery Design & Manufacture, 2017, (10): 244– 247 [Article] (in Chinese) [Google Scholar]
- Xiao Shiyu, Wang Hongguang, Liu Guowei. Mechanism Design and Kinematic Analysis of a Novel Inspection Robot with Four Arms[J]. Journal of Northwestern Polytechnical University, 2018, 36 (3): 37– 43 [Article] (in Chinese) [Google Scholar]
- Pouliot N, Richard P L, Montambault S. Line Scout Technology Opens the Way to Robotic Inspection and Maintenance of High-Voltage Power Lines[J]. IEEE Power and Energy Technology Systems Journal, 2015, 2 (1): 1– 11 [CrossRef] [Google Scholar]
- Wei Yongle. Research and Design on Dual-Arms Inspection Robot Structure with Flexible Cable[D]. Shenyang: Northeastern University, 2016(in Chinese) [Google Scholar]
- Liu Zhenyao, Gao Fangyu, Jiang Haibo, et al. Development and Application of Intelligent Patrol-Inspection Robot System for Transmission Lines[J]. Electric Power Information and Communication Technology, 2019, 17 (8): 57– 62 [Article] (in Chinese) [Google Scholar]
- Wei Yongle, Fang Lijin. Research on Dual-Arms Inspection Robots Walking along Transmission Line[J]. Trans of Beijing Institute of Technology, 2019, 39 (8): 813– 818 [Article] (in Chinese) [Google Scholar]
All Tables
All Figures
![]() |
图1 耐张型杆塔 |
| In the text | |
![]() |
图2 线路常见障碍物金具尺寸 |
| In the text | |
![]() |
图3 机器人三维模型 |
| In the text | |
![]() |
图4 机器人具体参数图 |
| In the text | |
![]() |
图5 “不脱线”模式越障过程 |
| In the text | |
![]() |
图6 “越塔”模式越障过程 |
| In the text | |
![]() |
图7 机器人正常行走状态受力模型 |
| In the text | |
![]() |
图8 机器人正常行走状态两行走臂受力曲线 |
| In the text | |
![]() |
图9 越障时机器人越塔臂两关节转矩 |
| In the text | |
![]() |
图10 机器人“不脱线”状态行走轮质心的时间-位移曲线 |
| In the text | |
![]() |
图11 机器人“脱线”状态行走轮质心的时间-位移曲线 |
| In the text | |
![]() |
图12 机器人“越塔”过程机器人质心的时间-位移曲线 |
| In the text | |
Current usage metrics show cumulative count of Article Views (full-text article views including HTML views, PDF and ePub downloads, according to the available data) and Abstracts Views on Vision4Press platform.
Data correspond to usage on the plateform after 2015. The current usage metrics is available 48-96 hours after online publication and is updated daily on week days.
Initial download of the metrics may take a while.












