| Issue |
JNWPU
Volume 38, Number 6, December 2020
|
|
|---|---|---|
| Page(s) | 1240 - 1248 | |
| DOI | https://doi.org/10.1051/jnwpu/20203861240 | |
| Published online | 02 February 2021 | |
Exploring Tractive Performance of Planetary Rover's Rigid Wheels on Mixed Terrain
星球车刚性车轮在混合地形上牵引性能研究
School of Mechanical, Electronic and Control Engineering, Beijing Jiaotong University, Beijing 100044, China
Received:
3
March
2020
Abstract
Based on insufficient studies of the tractive performance of a planetary rover's rigid wheels in soft soil and hard mixed soil terrains, a method for studying the tractive performance is presented. The Wong-Reece' interaction model was used as the dynamic model for wheel-soil contact. The sinkage model and the drawbar pull force model were modified and then verified with experimental results. Based on the Hertz contact theory, a nonlinear friction spring damping model was adopted as the wheel-bedrock contact model. An additional terrain hardness array was introduced for setting and recognizing the mixed terrain with ground mechanics parameters. With the platform for co-simulating the navigation and dynamics of a planetary rover, the simulation program was developed to dynamically simulate the whole planetary rover with two wheel-ground contact models. Taking the Mars rover as an example, its whole model was established with the MSC.Adams software. The dynamic simulation of the Mars rover on the soft terrain and mixed terrain was carried out respectively. The simulation results show that the Mars rover's velocity fluctuates greatly on the mixed terrain, and that the Mars rover gains greater drawbar pull force when traveling on the mixed terrain than on the only soil terrain.
摘要
针对星球车刚性车轮在混合地形中牵引性能研究的不足,提出了一种对刚性车轮在混合地形中牵引性能的研究方法。对Wong-Reece模型的沉陷量和挂钩牵引力进行修正,建立刚轮-软土接触模型并实验验证;刚轮-硬石接触模型采用基于Hertz接触理论的含摩擦非线性弹簧阻尼模型。地面力学参数中新添加地形刚度以实现混合地形的设置和识别。基于星球车导航与动力学联合仿真平台扩展开发,编制相应仿真程序,形成含有2种轮地接触模型的整车动力学仿真能力。以火星车为例,通过MSC.Adams软件和自编程序建立火星车整车模型,分别在软土地形和混合地形中对其进行动力学仿真,给出牵引动力学特性。结果表明,在混合地形上火星车的车体速度波动较大,某些混合地形条件下火星车可获得更大的挂钩牵引力。
Key words: rigid wheel / wheel-ground contact / mixed terrain / performance
关键字 : 刚性车轮 / 轮地接触 / 混合地形 / 牵引性能
© 2020 Journal of Northwestern Polytechnical University. All rights reserved.
This is an Open Access article distributed under the terms of the Creative Commons Attribution License (http://creativecommons.org/licenses/by/4.0), which permits unrestricted use, distribution, and reproduction in any medium, provided the original work is properly cited.
星球车是行驶在星球表面并完成探测、考察、收集和分析样品等复杂任务的专用车辆,在星球实地探测中起到非常重要的作用。我国也正在开展火星实地探测任务。
星球车行驶的表面环境非常复杂,比如月球表面就覆盖着一层土壤层,在高地和月海盆地分布着多种类型岩石[1];火星土壤表层大部分由细散粒子构成,除了土壤和尘土之外还有大量岩石[2]。统计显示,火星表面岩石分布密度程度大于月球[3]。
近些年国内外很多学者在轮壤接触动力学方面进行了大量研究。针对刚轮-软土的轮地相互作用,美国学者Bekker[4]建立了Bekker承压模型,Wong和Reece[5]结合实验对Bekker承压模型进行了修正,建立了新的轮地相互作用Wong-Reece承压模型。在土壤剪切特性的研究上,Janosi等[6]提出了塑性土壤的剪切应力与剪切位移计算公式。北京交通大学黄铁球团队[7]基于Bekker模型对刚轮-软土接触模型进行修正。针对刚轮-硬石轮地的相互作用,哈尔滨工业大学焦震[8]用岩石模拟月面岩石对刚轮进行单轮实验。在刚轮-软土和刚轮-硬石2种轮地模型综合应用上的文献较少。不论是火星还是月球,星球车车轮都会在软土和硬石的混合地形上运行,研究星球车在混合地形下轮地作用对星球探测具有重要的意义。对于含有轮地接触力的星球车整车动力学模型,借助多体动力学软件可以建立含轮地接触作用力的星球车整车动力学模型,对星球车在星球表面地形上的力学特性可以更加全面和真实地分析。美国Lagnemma等[9]借助MSC.Adams软件并结合轮壤接触理论,开发了仿真工具ARTEMIS。吉林大学葛平淑等[10]基于Adams软件对不同运动工况进行了动力学仿真及分析。
本文在分析刚轮-软土和刚轮-硬石2种轮地接触模型的基础上,对Wong-Reece轮地接触模型进行了沉陷量和挂钩牵引力的修正与实验验证,获得准确且适用程序仿真的轮地接触模型。通过添加地形刚度实现混合地形的设置与识别,基于星球车导航与动力学联合仿真平台[7]进行开发,将2种轮地接触模型编制成仿真程序,以六轮驱动火星车为例,通过MSC.Adams软件建立火星车整车动力学模型,研究火星车在混合地形上的牵引性能。
1 轮地接触力学模型
1.1 刚轮-软土轮地接触模型
车轮与土壤相互作用时,车轮在载荷的作用下使土壤发生沉陷,在地面力学中,轮下土壤的应力特性分为承压特性和剪切特性,承压特性的模型采用Wong-Reece正应力模型[5],剪切特性的模型采用Janosi剪切模型[6]。在软土地形中,车轮受力如图 1所示。其中:W, T和FDP分别为车轮所受载荷、驱动力矩和挂钩牵引力; r为车轮半径; Z1, Z2分别为车轮的最大沉陷和土壤回弹高度; θ1, θ2和θm分别为进入角、离去角和最大应力角; ω和v为车轮角速度和前进速度; σ为正应力; τ为剪应力。
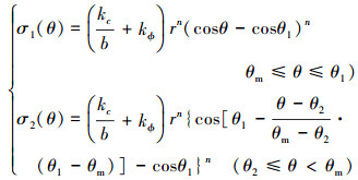
根据Wong-Reece正应力模型, 承压模型中正应力σ(θ)分布如(1)式所示[5]
(1)
车轮在软土地形上行驶时其所能产生的最大牵引力受到土壤切向抗剪切强度限制, 根据Janosi土壤剪切模型, 土壤剪应力τ(θ)分布见(2)式[6]
(2)
车轮沉陷量Z是描述下陷程度, 根据车轮在软土地形上的几何关系得到, 如(3)式所示, 由沉陷量公式可以得到车轮的进入角θ1。
(3)
车轮滑转率是描述车轮的一个非常重要的状态变量, 反映了车轮实际前进线速度与理论圆周速度的偏差程度。滑转率s由(4)式得到
(4)
将正应力σ(θ)和剪应力τ(θ)在车轮与土壤接触区域内进行积分, 得到车轮在软土地形中的法向支持力FN、挂钩牵引力FDP和驱动阻力矩Mω, 见(5)式[5], 即可对刚性车轮在软土地形上行驶时的轮地接触力和力矩进行预测。其中, 挂钩牵引力FDP是由星壤对车轮的附着力P和压实阻力Rc组成。附着力P是地面对车轮的前进推力, 压实阻力Rc是地面阻碍车轮前行的阻力。
(5)
Wong-Reece模型只能预测刚轮在软土地形上的轮地接触力和力矩。
![]() |
图1 车轮在软土地形中的受力分析 |
1.2 刚轮-硬石轮地接触模型
刚性车轮星球车在硬石面上行驶时, 车轮所受垂直载荷W, 地面对车轮的支持力FN和摩擦力Ff。刚轮-硬石接触模型可以看作刚体-刚体接触摩擦模型, 根据Hertz接触理论, 用含摩擦非线性弹簧阻尼模型计算两刚体间接触力, 另外摩擦采用库伦摩擦模型。如图 2所示。
定义车轮轮心到地面的垂直距离为Z, 地面对车轮的支持力FN可由(6)式表示
(6)
式中:Kd表示接触区域表面的刚度; Z0表示车轮在地面中的穿透量, cd表示阻尼系数;
表示车轮轮心的在垂直地面方向的速度, n为力指数。
阻尼系数cd取决于车轮在地面中的穿透量, 如(7)式。定义当穿透量Z0达到d时阻尼系数取得最大值cmax
(7)
根据库伦摩擦, 以车轮相对于地面在接地点处的滑移速度为依据, 判断车轮与地面的摩擦因数μ如(8)式所示, 根据车轮与地面接触的相对滑移速度的不同, 摩擦在动摩擦与静摩擦之间相互转换。
(8)
式中:v表示车轮在接地区域内的滑移速度; vs表示静摩擦转换速度; vd表示动摩擦转换速度; μs表示静摩擦因数; μd表示动摩擦因数。
(9)
![]() |
图2 车轮与地面接触模型示意图 |
2 模型修正与验证
2.1 沉陷量与挂钩牵引力的修正
当车轮的滑转率较大时, Wong-Reece模型在沉陷量计算上与实际相差较大[11], 为使Wong-Reece模型在沉陷量的计算更加贴近实际对其模型进行修正。车轮的沉陷是由静态沉陷和滑转沉陷两部分组成的, 滑转率越大引起的滑转沉陷越大。在Wong-Reece模型中, 沉陷量的计算是根据车轮与地面几何关系得到的, 并没有真实地反映出滑转沉陷量[12]。现对沉陷量模型做出修正, 如(10)式所示。
(10)
在高滑转率下, Wong-Reece模型挂钩牵引力的计算与实际结果相比较大, 其原因在于高滑转率下产生的滑转沉陷会引起附加阻力, 在Wong-Reece模型中并未考虑这一阻力项[13]。Wong-Reece模型中挂钩牵引力由地面对车轮的附着力P和土壤的压实阻力Rc组成, 如(5)式所示。现对挂钩牵引力公式进行修正, 将滑转沉陷引起的附加阻力以修正项的形式加到模型中, 如(11)式所示, 其中m为附加阻力系数, 其值根据实验数据进行拟合取值
(11)
为验证修正的Wong-Reece轮地接触模型的准确性, 分别用未修正和修正的Wong-Reece模型对单轮进行仿真, 将仿真得到的沉陷量、挂钩牵引力和驱动力矩与单轮土槽实验结果进行对比分析。
2.2 实验结果与仿真结果对比
土槽实验测试装置由测试车、力加载装置、两侧牵引电机、六分力传感器、车轮以及拖拽绳组成。牵引电机通过绳索拖拽测试车, 使车沿着导轨保持稳定速度v直线行驶。车轮装在测试车上, 力加载装置用来向被测试车轮施加载荷, 在水平方向上其速度与测试车速度保持一致, 力加载装置的末端通过六分力传感器与被测车轮连接, 六分力传感器可测量3个方向的力和3个方向的力矩, 沿着车轮前进方向的力即为车轮挂钩牵引力FDP。实验时, 被测车轮通过改变驱动电机输出角速度ω, 产生不同的滑转率。
实验条件:车轮所受载荷200 N, 车轮直径r为35 cm, 轮宽b为10 cm, 实验土壤参数见表 1, 车轮速度为0.03 m/s, 滑转率范围0~1。
仿真条件:采用未修正和修正后Wong-Reece模型分别对单轮进行仿真, 土壤力学参数按照表 1进行设置, 根据实验数据进行拟合取值, 得到附加阻力修正系数m为0.125。在给定不同滑转率的情况下, 得到车轮仿真结果。
单轮实验结果与仿真结果对比如图 3所示。从图 3a)中可知:未修正的沉陷模型随滑转率变化较小, 这是因为模型中未考虑车轮由于滑转所导致的车轮下陷, 滑转率越大, 滑转沉陷量越大, 修正后的沉陷量模型与实验结果趋于一致; 从图 3b)中可知:未修正的挂钩牵引力模型在滑转率处于0~0.2之间时与实验结果基本符合, 当滑转率大于0.2时, 未修正的挂钩牵引力模型与实验结果相差较大, 出现偏差是因为车轮在滑转率较大时, 车轮滑转会带来附加的阻力, 修正后的挂钩牵引力的变化趋势与实验结果基本一致; 从图 3c)可知, Wong-Reece模型驱动阻力矩与实验结果趋势上一致。
土壤力学参数
![]() |
图3 仿真结果与实验结果对比 |
3 轮地接触模型的程序实现
3.1 地形划分与地形刚度的定义
地形描述从两方面考虑:①地形的高低起伏; ②地形的特性。地形特性包括软土地形的土壤力学参数和硬石地形的接触力学参数。本文通过C++程序实现地形的构建。当地形为软土地形时, 将地形做以下处理:
1) 假设地形所处平面为xoy, 在地形上沿着水平方向的x和y方向上将地形划分成等间距的正方形格子;
2) 每个格子的顶点赋予z方向的坐标值来表示地形点的高度;
3) 将地形格子的三维顶点沿着对角线方向连接起来, 形成地形三角形。
通过以上操作将软土地形划分成三角形网格。在软土地形划分的基础上添加地形刚度数组, 通过对地形刚度的定义区分地形为软土地形和硬石地形。具体操作:在每个格子的顶点赋予地形刚度值DK, 在软土地形中地形刚度值DK取0, 在硬石地形中地形刚度值DK取1。地形参数DK有0和1时,地形由软土地形和硬石地组成混合地形。土壤力学参数、接触力学参数和地形的特性通过仿真程序读取配置文件来获取地形特性相关参数。
3.2 轮地接触模型程序实现过程
通过Adams软件建立星球车整车模型, 在车轮几何中心位置处通过GFORCE单元进行轮地接触作用力建模, 基于MSC.Adams软件, 对GFOSUB子程序进行二次开发。在设定的工况下调用轮地接触模型计算子程序对星球车进行整车动力学仿真。
在仿真过程中, 根据车轮与地面交点的刚度值确定轮地接触形式, 再依据轮地接触模型求力和力矩。具体步骤:车轮与地面接触作用时, 存在2个交点, 找出交点所在三角形, 根据该三角形3个顶点的刚度求交点的刚度值, 设定交点的刚度值为所在三角形的3个顶点刚度值的平均值, 再根据交点刚度值选择轮地接触模型求解。设车轮与地面的交点为J1和J2, 交点所对应的地形刚度值分别为DK1和DK2, 当车轮从软土地形过渡硬石地形时, 即DK1≠0, DK2=0, 车轮前一个交点处于硬石地形上, 后一个交点处于软土地形, 此时, 车轮与软土地形的接触起主要作用, 当判断到DK2≠0时, 此时, 车轮完全处于硬石地形上; 车轮从硬石地形过渡到软土地形时, 即DK1=0, DK2≠0, 车轮前一个交点处于软土地形上, 后一个交点处于硬石地形上, 此时, 车轮与硬石地形的接触起主要作用, 当判断到DK2=0时, 车轮完全过渡到软土地形上。
4 火星车整车仿真
4.1 仿真条件设置
以火星车[7]为例, 通过星球车导航与动力学联合仿真平台和自编程序, 对火星车整车进行动力学仿真, 根据火星车轮地接触力和力矩仿真结果, 对火星车的牵引性能进行判断。
火星车结构如图 4a)所示, 车轮轮宽15 cm, 车轮直径35 cm, 前轮与中轮轮距为88 cm, 中轮与后轮轮距为88 cm, 左轮与右轮轮距为120 cm, 火星车总质量约为250 kg, 车体处于xoy平面内, 重力加速度沿着-z方向。
工况设置:①地形形状为20 m×20 m的正方形地形, 地形高度有一定的起伏变化, 地形刚度全部设置为0, 形成软土地形; ②在①中随机放置尺寸为15~30 cm, 30~60 cm和大于60 cm的石块, 形成混合地形如图 4c)所示; ③在①中地形的地形刚度一半设置为软土地形, 一般设置为硬石地形, 使得火星车左侧3个车轮行走在软土地形上, 右侧3个车轮行走在硬石地形上。
仿真条件设置:火星表面的重力加速度3.73 m/s2, 巡视速度9 cm/s, 车体质心放在(x, y, z)为(8, 10, 33)位置处, 使火星车沿着x方向运动100 s, 土壤力学参数和接触力学参数设置参照表 2。
![]() |
图4 火星车模型与地形示意图 |
4.2 仿真结果分析
火星车在软土地形和混合地形上车体运动状态仿真结果如图 5所示。图 5a)为车体质心位置仿真结果,同一仿真条件下,混合地形上车体质心位置在某些时刻略高于软土地形上车体质心位置;图 5b)为火星车车体质心速度,在软土地形中,车体速度变化很平缓,在混合地形中,车体速度变化比较剧烈。由于在混合地形上某些时刻火星车车轮压过石块,使得车轮速度发生变化,最终速度的变化也反映到车体质心的速度变化上。
由于火星车车体两侧关于车体纵向界面对称,以火星车左侧3个车轮为例,分析火星车在混合地形上的仿真结果,图 6为火星车前、中和后轮的运动状态,Lw1, Lw2和Lw3分别表示前、中和后轮。由图 6a)可以看出在某些时刻车轮质心位置有明显的凸起和下落变化,凸起表示车轮从软土地形过渡到硬石地形,下落表示车轮从硬石地形过渡到软土地形;图 6b)为左侧3个车轮轮心速度变化曲线,3个车轮的轮心速度在某些时刻会发生急剧的变化,这是因为在某些时刻车轮从软土地形过渡到硬石地形,或从硬石地形过渡到软土地形。车轮从软土过渡到硬石的瞬间,车轮与硬地面接触,从而产生较大的摩擦力,使得车轮的速度有增大的趋势,从硬石过渡到软土地形时,土壤提供给车轮的附着力要小于车轮在前一步处于硬石地形所受的摩擦力,同时,车轮与软土地形开始接触时,土壤会给车轮压实阻力,所以车轮的速度会有变小的趋势。
图 7a)为火星车左前轮在软土地形和混合地形上支持力仿真结果,在软土地形上车轮支持力变化比较平缓,火星车稳定运行时处于150~180 N之间;在混合地形上,支持力上下有较大地波动,左前轮支持力最大接近260 N,最小接近80 N。图 7b)为火星车左前轮在软土地形和混合地形上挂钩牵引力仿真结果,在软土地形上挂钩牵引力变化比较平缓,处于-20~10 N之间,在混合地形上,挂钩牵引力变化较剧烈,左前轮挂钩牵引力最小值为-20 N,最大值为240 N;图 7c)为火星车左前轮驱动阻力矩仿真结果,在软土地形上,驱动阻力矩变化较小,处于0~7 N·m之间;在混合地形上车轮的驱动阻力矩变化都比较剧烈,左前轮驱动阻力矩最大值接近42 N·m。结合前面仿真分析的内容可以看出,由于车轮在行进过程中需要从软土地形过渡到硬石地形或者从硬石地形过渡到软土地形上,在过渡过程中,车轮的支持力会发生剧烈变化,再者,车轮与硬石地形接触作用时,车轮的支持力也会发生剧烈变化,支持力的剧烈变化使得车轮的挂钩牵引力和驱动阻力矩对应发生剧烈变化。
火星车在工况③中左前轮和右前轮仿真结果对比如图 8所示,图中Rw1表示右前轮。图 8a)为前轮支持力仿真结果,车轮在软土地形上的支持力变化很平缓,在硬石地形上的支持力变化比较剧烈,图 8b)为前轮的挂钩牵引力仿真结果,可以看到在软土地形上车体匀速前进时,车轮提供的挂钩牵引力很小,在硬石地形上,车轮可以获得更大的挂钩牵引力,挂钩牵引力实际是全部由地面对车轮的摩擦力提供,摩擦力受地面对车轮的支持力与摩擦系数影响。图 8c)为前轮的驱动阻力矩仿真结果,在硬石地形上车轮的驱动阻力矩与车轮所受摩擦力有关,所以可以看到硬石地形上车轮的驱动阻力矩变化趋势与挂钩牵引力对应的趋势基本一致,在硬石地形上,车轮需要更大的驱动力矩。
![]() |
图5 2种地形上的车体运动状态 |
![]() |
图6 左前轮、左中轮和左后轮运动状态 |
![]() |
图7 左前轮力和力矩仿真结果对 |
![]() |
图8 火星车前轮力和力矩仿真结果对比 |
5 结论
1) 对Wong的模型中沉陷和挂钩牵引力进行修正,在沉陷模型基础上考虑滑转沉陷的影响,在挂钩牵引力模型基础上考虑滑转沉陷引起滑转阻力的影响,并进行单轮实验验证,修正后的沉陷量和挂钩牵引力与实验结果基本吻合。
2) 在地面力学参数中新添加地形刚度参数实现混合地形的设置,星球车在混合地形中进行动力学仿真时,通过判断车轮与地形交点的刚度值来确定轮地接触模式,实现了星球车在混合地形中的动力学仿真。
3) 在混合地形中火星车车体行进速度波动大,车轮支持力、挂钩牵引力和驱动阻力矩上下变化幅度较大,在某些地形上,车轮可以获得更大的挂钩牵引力。
References
- Xiao Fugen, Pang Hewei. Introduction to Lunar Geological Morphological Features and Lunar Environment[J]. Spacecraft Environment Engineering, 2003, 20(2): 5-14 (in Chinese) [Google Scholar]
- Ouyang Ziyuan, Xiao Fugen. The Mars and Its Environment[J]. Spacecraft Environment Engineering, 2012, 29(6): 591-601 (in Chinese) [Google Scholar]
- Zhao Jing, Wei Shimin, Tang Ling, et al. Review on Driving Environment of Mars Rover[J]. Manned Spaceflight, 2019, 25(2): 256-264 (in Chinese) [Google Scholar]
- Bekker G M. Introduction to Terrain-Vehicle Systems[M]. Michigan: The University of Michigan Press, 1969 [Google Scholar]
- Wong J Y, Reece A R. Prediction of Rigid Wheel Performance Based on the Analysis of Soil-Wheel Stresses:Part II. Performance of Towed Rigid Wheels[J]. Journal of Terramechanics, 1967, 4(2): 7-25 [CrossRef] [Google Scholar]
- Janosi Z, Hanamoto B. Analytical Determination of Drawbar Pull as a Function of Slip for Tracked Vehicle in Deformable Soils[C]//Proceedings of the 1st International Conference of ISTVES, Torino, Italy, 1961: 707-726 [Google Scholar]
- Zhang Bowen, Huang Tieqiu, Xing Yan, et al. Design and Research Co-Simulation Platform of Navigation and Dynamics on Planetary Rovers[J]. Journal of Northwestern Polytechnical University, 2019, 37(6): 1184-1190 (in Chinese) [CrossRef] [Google Scholar]
- Jiao Zhen. Dynamics Modelling and (ADAMS) Simulation for Lunar Rover Based on Terramechanics[D]. Harbin: Harbin Institute of Technology, 2009 (in Chinese) [Google Scholar]
- Iagnemma K, Senatore C, Trease B, et al. Terramechanics Modeling of Mars Surface Exploration Rovers for Simulation and Parameter Estimation[C]//Proceedings of the ASME Design Engineering Technical Conference, 2011: 1-8 [Google Scholar]
- Ge Pingshu, Guo Lie, Wang Xiaolan, et al. Dynamic Modeling and Motion Control for Lunar Rover on Loose Soil[J]. Computer Engineering and Applications, 2011, 47(12): 1-4 (in Chinese) [Google Scholar]
- Yang Yanjing, Fan Shichao, Xiang Shuhong. Comparison and Application of Two Models for Wheel-Soil Interaction Simulation[J]. Spacecraft Environment Engineering, 2009, 26(3): 206-209 (in Chinese) [Google Scholar]
- Shibly H, Iagnemma K, Dubowsky S. An Equivalent Soil Mechanics Formulation for Rigid Wheels in Deformable Terrain, with Application to Planetary Exploration Rovers[J]. Journal of Terramechanics, 2005, 42(1): 1-13 [CrossRef] [Google Scholar]
- Irani R A, Bauer R J, Warkentin A. A Dynamic Terramechanic Model for Small Lightweight Vehicles with Rigid Wheels and Grousers Operating in Sandy Soil[J]. Journal of Terramechanics, 2011, 48(4): 307-318 [CrossRef] [Google Scholar]
- Liu Xingjie, Su Bo, Jiang Lei, et al. Research on Soil Mechanical Properties of Martian Surface Soil[J]. Manned Spaceflight, 2016, 22(4): 459-465 (in Chinese) [Google Scholar]
- Gao Yijia. Research of Mechanism of ADAMS Contact and Contact Friction[J]. Automobile Applied Technology, 2017(6): 64-66 (in Chinese) [Google Scholar]
All Tables
All Figures
![]() |
图1 车轮在软土地形中的受力分析 |
| In the text | |
![]() |
图2 车轮与地面接触模型示意图 |
| In the text | |
![]() |
图3 仿真结果与实验结果对比 |
| In the text | |
![]() |
图4 火星车模型与地形示意图 |
| In the text | |
![]() |
图5 2种地形上的车体运动状态 |
| In the text | |
![]() |
图6 左前轮、左中轮和左后轮运动状态 |
| In the text | |
![]() |
图7 左前轮力和力矩仿真结果对 |
| In the text | |
![]() |
图8 火星车前轮力和力矩仿真结果对比 |
| In the text | |
Current usage metrics show cumulative count of Article Views (full-text article views including HTML views, PDF and ePub downloads, according to the available data) and Abstracts Views on Vision4Press platform.
Data correspond to usage on the plateform after 2015. The current usage metrics is available 48-96 hours after online publication and is updated daily on week days.
Initial download of the metrics may take a while.








