| Issue |
JNWPU
Volume 38, Number 6, December 2020
|
|
|---|---|---|
| Page(s) | 1316 - 1321 | |
| DOI | https://doi.org/10.1051/jnwpu/20203861316 | |
| Published online | 02 February 2021 | |
Reliability Guarantee Strategy for Complex System Based on Cost-Benefit Importance
基于成本效益重要度的复杂系统可靠性保障策略
1
School of Mechanical Engineering, Xi'an Aeronautical University, Xi'an 710077, China
2
School of Mechanical Engineering, Northwestern Polytechnical University, Xi'an 710072, China
3
Key Laboratory of Modern Measurement and Control Technology of Ministry of Education, Beijing Information Science and Technology University, Beijing 100192, China
Received:
6
January
2020
Abstract
In order to ensure the long-term stable and economic operation of complex system, the system operation process is described and the problems is solved, and a system reliability model and an optimization model for component replacement are constructed. Based on the theory of marginal utility and importance measures, a reliability guarantee strategy for complex system based on cost-benefit importance is presented, which aims to find a component preventive replacement sequence with minimum maintenance cost on the constraints of system reliability lower threshold and running time. When the system reliability drops to a preset threshold, the cost-benefit importance of each component is calculated, the component with the greatest cost-benefit importance to replace is selected, and then iterate until the operation task is completed to form an optimal component replacement sequence. The feasibility of the present strategy is verified by taking a complex system which can be equivalent to a series-parallel system as an example. The present strategy has certain reference significance of ensuring the reliable operation of some high-end equipment safety-critical systems.
摘要
为了保障复杂系统的长期稳定经济运行,对系统运行过程和需要解决的问题进行了描述,构建了系统可靠性模型和组件更换优化模型,采用边际效应思想和重要度理论,提出了一种基于成本效益重要度的复杂系统可靠性保障策略,旨在寻求以系统可靠度下限阈值和运行时长为约束、以维护成本最小为目标的组件预防更换序列。当系统可靠度下降到预设阈值时,计算系统各组件的成本效益重要度,选择成本效益重要度最大的组件进行更换,如此进行迭代,直到完成运行任务,形成最优的组件更换序列。以可等效为串并联系统的复杂系统为例验证了该策略的可行性。该策略对保障一些高端装备安全关键系统的可靠运行具有一定的参考意义。
Key words: complex system / reliability guarantee / cost-benefit importance / marginal utility / preventive replacement
关键字 : 复杂系统 / 可靠性保障 / 成本效益重要度 / 边际效应 / 预防更换
© 2020 Journal of Northwestern Polytechnical University. All rights reserved.
This is an Open Access article distributed under the terms of the Creative Commons Attribution License (http://creativecommons.org/licenses/by/4.0), which permits unrestricted use, distribution, and reproduction in any medium, provided the original work is properly cited.
维护在工业生产和系统安全领域扮演着重要的作用, 特别是一些因系统失效而产生巨大损失的领域。已有多种维护策略被用于提升系统可靠性、减少系统失效和生产成本[1]。对于不可维修系统, 常采用预防更换(preventive replacement, PR)的方式来保障系统的可靠性。预防更换是指当系统仍在运行时, 对系统或包含的组件进行更换的一种策略[2]。常见的预防更换多用于单一组件系统[3]、多个相同组件组成的系统[4]、或由多个不同组件组成的复杂系统的一次更换过程[5], 而涉及复杂系统多次更换过程的研究并不多见。
近年来, 由于生产系统的复杂性和多样性日益增加, 由许多不同组件构成的复杂退化系统的可靠性保障受到了更加广泛的关注[5]。由于每个组件对系统有着各自的贡献, 因此, 选择最重要组件作为更换对象对确保系统的可靠性至关重要。重要度(importance measures, IM)[6]被广泛应用于系统工程、可靠性工程、复杂系统等领域, 用以评估各种对象的相对重要程度。关于IM, 学者们已经进行了大量的研究工作, 常用的有Birnbaum重要度(birnbaum importance, BI)[7]、关键重要度[8]、综合重要度[9]和成本重要度[10]等, 有关IM的最新研究进展请参阅文献[11-12]。
鉴于IM的优势, 本文对系统运行过程和需要解决的问题进行了描述, 构建了系统可靠性模型和组件更换优化模型, 采用边际效应方法和重要度理论, 提出了一种基于成本效益重要度的复杂系统可靠性保障策略, 旨在寻求保障系统可靠度和运行时长的前提下实现维护成本最小的组件预防更换序列。
1 问题描述
考虑一个由n个不同组件构成的复杂系统, 其中每个组件都有其自身的退化过程, 系统可靠度取决于组件的可靠度。在一次任务中, 要求系统的可靠度不低于预设阈值。为了保障系统的长期可靠运行, 需要在运行周期内进行多次维护并且使维护成本达到最小。整个过程的描述如下:当系统可靠度下降到预设阈值时, 进行第一次PR动作, 以此类推, 共进行k次PR动作, 直到运行任务中止。在组件更换过程中, 由于每次仅选择最需要的组件进行更换, 系统在运行期间的整体可靠度常常小于1。在一次任务执行中, 系统可靠度随时间和组件更换而变化的规律如图 1所示。本文所要解决的问题是在保障系统可靠度不低于预设阈值以及运行时长的前提下, 寻找一组组件更换序列使整个系统的维护成本最小。
![]() |
图1 系统可靠度随时间和组件更换变化规律示意图 |
为了保证研究的有效性, 特作如下假设:
1) 组件之间相互独立, 每个组件的退化水平都能被检测到;
2) 退化是引起组件失效的唯一原因, 不考虑如人为损坏、自然灾害等外部环境对组件的影响;
3) 当系统在运行中暂停时, 系统不会发生退化。
2 系统可靠性建模
本文中考虑的复杂系统是一个能够等效成由多个不同组件组成的串并联系统。每个组件对系统都有自己的贡献, 系统的可靠度由这些组件的可靠度来衡量。组件的失效程度由其退化程度来衡量, 每个组件的退化机理都遵循自己的退化路径。定义组件i随着时间t的退化水平表示为Xi(t; μi, εi), 其中μi表示退化率; εi表示随机影响参数且服从正态分布, 即εi~N(0, σi2)。在大多数情况下, Xi(t; μi, εi)是一个随着时间t变化的单调函数[13-14]。
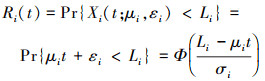
对于每一个组件当其退化水平Xi超过预设阈值Li时, 则认为该组件失效。所有组件预设失效阈值的集合为L={L1, L2, …, Ln}。不失一般性, 假设组件退化水平为单调增, 在t时刻组件i的可靠度由Xi不超过Li的概率来表示, 即
1
式中:Ri(t)为第i个组件的可靠度函数; Φ(·)为标准正态累积分布函数。
对于由m个子系统组成的串并联系统, 每个子系统包含ni个组件, 整个系统可靠度R(t)可以表示为
2
式中:m为子系统的数量; ni为每个子系统包含组件的数量, 且i∈{1, 2, …, m}; Rij(t)为第i个子系统的第j个组件的可靠度。
3 可靠性保障策略
3.1 目标函数定义
将系统可靠度下限阈值σ和规定的运行周期S作为约束条件, 当系统可靠度低于σ时进行组件更换, 此时更换时刻可表示为Tj=arg inf{t:R(t)≤σ; t>Tj-1, j=1, 2, …, k}, 其中, Tj表示第j次更换时刻且T0=0;k表示总更换次数且
(Tj-Tj-1)≤S}。组件的更换原则为在整个运行周期内使其更换总成本达到最小, 即
3
式中:C为系统运行周期内组件更换最小总成本; n为系统组件的种类数量; i为组件编号, 且i∈{1, 2, …, n}; ei为第i个组件更换的数量; ci为第i个组件的更换成本。
为了确定最优的组件更换序列, 模拟整个周期内组件消耗过程来反向求解各组件的更换时刻。由于在整个模拟运行周期内会经历多次组件的更换工作, 每一次仅考虑更换一个组件, 也就是说, 已有的n个组件进行更换的机率是相同的。现在的难点是, 在每一次更换中都有n种可能, 而这n种可能都会产生n种下次不同的更换时刻, 以此类推, 如果整个过程进行k次更换的话, 就有nk种组合, 在这么多组合中寻找最优的组合难度相当大。因此, 需要寻找新的方法进行求解。
3.2 成本效益重要度
本文的组件更换序列属于非线性整数规划问题, 使用一般的规划论方法求解, 过程较为复杂, 因此采用边际效应思想进行优化求解, 以达到对有效资源的合理利用。为此, 将周期内组件更换的最小成本问题转化为在任意一次更换时刻选择哪一个组件进行更换才能使所选择的组件单位成本提升的系统可靠度增量最大。
为了便于研究, 取第j次组件更换时刻作为研究时刻点, 求出该时刻单位成本提升的系统可靠度增量。在第j次更换时刻对第i个组件进行更换后单位成本提升的系统可靠度增量可以表示为
4
式中:ηi(t)为第i个组件的成本效益, 定义为单位成本提升的系统可靠度增量; R(t)为第i个组件更换之前的系统可靠度函数; Rω(t)为第i个组件更换之后的系统可靠度函数; 第i个组件更换后对整个系统的可靠度会有一个提升量, 此时的系统可靠度函数可以表示为Rω(t), 且Rω(t) < 1。
为了量化描述Rω(t), 首先要开展第i个组件的更换行为对第i个组件可靠度的影响研究。假设第i个组件工作一段时间后对其进行更换, 此时的组件可靠度相当于通过一个时间的正向偏移量来提升其可靠度直到为1, 即
5
式中:τ为在更换时刻将第i个组件可靠度提升到1时所需的时间正向偏移量; Riω(t)为第i个组件更换之后的组件可靠度函数。
由此可知, Rω(t)可以表示为Rω(t)=R(t-ε), 0x ε<τ, 其中ε表示第i个组件进行更换后对整个系统可靠度提升所需的时间正向偏移量。
为了使R(t)能够由含Ri(t)的表达式来表示, 采用枢轴分解定理[6]和BI理论[7]对R(t)进行变形展开, 具体过程如下。
由枢轴分解定理可知, R(t)可以表示为
6
式中:Ri(t)为第i个组件的可靠度; R(1i, t)为当第i个组件正常时在t时刻的系统可靠度; R(0i, t)为当第i个组件失效时在t时刻的系统可靠度。
根据BI理论, 第i个组件在t时刻的重要度IBi可以表示为
7
将(7)式代入(6)式可知, R(t)可以变形为
8
同理可知, Rω(t)可以变形为
9
将(8)式和(9)式代入(4)式可得
10
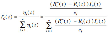
定义成本效益重要度ICi(t)为第i个组件更换后的成本效益ηi(t)与每个组件更换后的成本效益之和
的比值, 也就是说ICi(t)为一个经归一化的值, 即
11
3.3 基于成本效益重要度的优化策略
在系统可靠度不低于预设阈值以及运行时间达到设定时间2个条件下, 基于成本效益重要度的优化策略, 采用模拟消耗式组件的方式来反向求解各组件的最优更换序列。当系统可靠度低于预设阈值时, 将待更换的各组件成本效益重要度从大到小依次排列, 对成本效益重要度最大的组件进行更换。假设更换过程没有时间延迟, 更换完成后系统继续运行, 并根据约束条件决策是否进入下一次更换。最后, 求出整个保障周期内各组件的更换时刻, 形成最优的组件更换序列。详细的组件更换序列优化过程如图 2所示。
![]() |
图2 组件更换序列优化过程 |
步骤1 参数预设。按照任务的要求, 设置系统可靠度下限阈值以及运行时间。
步骤2 系统运行。判断系统运行时间是否到达任务中止时间, 如果到达, 任务完成; 如未到达, 判断系统可靠度是否下降到预设阈值。如果高于预设阈值, 系统继续运行; 如果低于预设阈值, 进行步骤3;
步骤3 组件更换。当系统可靠度下降到下限阈值时, 计算各组件成本效益重要度, 取最大成本效益重要度对应的组件进行更换, 其形式化见(12)式, 更换完成后, 转到步骤2继续运行。
12
式中:csj为第j次更换时刻需要更换的组件; fj(·)为第j次更换时刻的映射函数。
步骤4 形成最优组件更换序列。当任务完成后, 将各组件更换的时刻进行记录, 形成最优组件更换序列, 即{cs1, cs2, …, csj, …, csk}。
4 数值实例验证
4.1 系统规格说明
以一个由6个组件构成的串并联系统为例说明系统可靠性的建模过程, 如图 3所示。
![]() |
图3 由6个组件构成的串并联系统 |
由(2)式可知, 图 3中系统可靠度为
13
许多系统失效都可以追溯到潜在的退化, 例如微机电系统中组件摩擦表面上的磨损遵循线性退化路径。在微机电系统中, 该线性模型已被用于表征磨损过程的失效机理。根据文献[14-15], 总结的组件规格参数值如表 1所示。假设运行中涉及的参数如表 2所示。
组件规格参数值
运行参数
4.2 策略验证
设定系统可靠度下限阈值σ=0.90和任务运行时间S=16, 根据所提系统保障策略进行各组件更换时刻的优化过程。当系统第一次运行时, 随着时间的进行, 系统的可靠度逐渐下降, 直到系统可靠度低于σ时, 即当t=7.08时, 按照(11)式计算当前时刻的成本效益重要度, 即IC2=0.471 6, IC3=0.314 4, IC5=0.087 4, IC4=0.072 8, IC6=0.037 5, IC1=0.016 3。从成本效益重要度值表明:成本效益重要度越大产生的效益越大; 成本效益重要度趋近于0时表示不产生效益。因此, 选择成本效益重要度最大值对应的组件进行更换, 即选择第2个组件进行更换, 更换完成后, 系统可靠度提升至0.981 2, 此时产生了新系统。在新系统的基础上进行下一次迭代过程, 以此类推, 直到到达任务中止时间。系统组件更换明细如表 3所示, 在整个运行周期内的系统可靠度变化规律如图 4所示。
系统组件更换明细
![]() |
图4 系统可靠度随时间变化规律 |
根据仿真结果可知:①在整个运行周期内, 各组件最优更换序列为{(7.08, 2), (7.78, 5), (8.23, 1), (12.69, 2), (13.44, 5)};②系统在时刻7.08, 7.78, 8.23, 12.69, 13.44等五处分别进行了组件更换工作, 更换之后系统的可靠度有了明显提升;③在时刻7.78处, 对选择的组件更换后系统可靠度提升量较小是因为:IC5虽然值最大, 但与IC4相比差异不大。由于限定每次仅能更换一个组件, 因此IC5对系统可靠度提升的贡献度相对较小;④对于当前系统来说, 1号、2号、5号组件为瓶颈节点。
5 结论
针对多组件退化复杂系统, 提出了一种基于成本效益重要度的复杂系统可靠性保障策略。根据成本效益重要度最大值选择系统中最需要被更换的组件, 基于成本效益重要度选择组件的方法有助于识别系统的瓶颈并防止系统发生意外失效。此外, 所提策略不仅可以识别系统中最需要更换的组件, 而且在一次运行周期内使系统维护成本达到最小。数值实例验证了所提策略的可行性。
References
- Ahmad R, Kamaruddin S. An Overview of Time-Based and Condition-Based Maintenance in Industrial Application[J]. Computers & Industrial Engineering, 2012, 63 (1): 135– 149 [Article] [CrossRef] [Google Scholar]
- Jardine A K S, Tsang A H C. Maintenance, Replacement, and Reliability:Theory and Applications[M]. Boca Raton: Taylor & Francis Group, 2013 [CrossRef] [Google Scholar]
- Wang W, Wang H. Preventive Replacement for Systems with Condition Monitoring and Additional Manual Inspection[J]. European Journal of Operational Research, 2015, 247 (2): 459– 471 [Article] [CrossRef] [Google Scholar]
- Yun W Y, Endharta A J. A Preventive Replacement Policy Based on System Critical Condition[J]. Journal of Risk and Reliability, 2016, 230 (1): 93– 100 [Article] [Google Scholar]
- Wang C, Xu J, Wang H, et al. A Criticality Importance-Based Spare Ordering Policy of Multi-Component Degraded Systems[J]. Eksploatacja i Niezawodnosc-Maintenance and Reliability, 2018, 20 (4): 662– 670 [Article] [CrossRef] [Google Scholar]
- Kuo W, Zhu X. Importance Measures in Reliability, Risk, and Optimization:Principles and Applications[M]. Chichester: Wiley, 2012 [CrossRef] [Google Scholar]
- Birnbaum Z W. On the Importance of Different Components in a Multicomponent System:in Multivariate Analysis[M]. San Diego: Academic Press, 1969 [Google Scholar]
- Kuo W, Zuo M J. Optimal Reliability Modeling:Principles and Application[M]. New York: John Wiley & Sons, 2003 [Google Scholar]
- Si S, Dui H, Zhao X, et al. Integrated Importance Measure of Component States Based on the Loss of the Performance[J]. IEEE Trans on Reliability, 2012, 61 (1): 192– 202 [Article] [CrossRef] [Google Scholar]
- Wu S, Coolen F. A Cost-Based Importance Measure for System Components:an Extension of the Birnbaum Importance[J]. European Journal of Operational Research, 2013, 225 (1): 189– 195 [Article] [CrossRef] [Google Scholar]
- Du Yongjun, Guo Yaqi, Cai Zhiqiang, et al. K-Terminal Network Permutation Importance Measure Based on Mixture C-Spectrum[J]. Journal of Northwestern Polytechnical University, 2019, 37 (5): 897– 902 [Article] (in Chinese) [CrossRef] [Google Scholar]
- Lyu D, Si S. Dynamic Importance Measure for the K-out-of-N:G System under Repeated Random Load[J]. Reliability Engineering & System Safety, 2020, 195: 106720 [Article] [CrossRef] [Google Scholar]
- Liu B, Liang Z, Parlikad A K, et al. Condition-Based Maintenance for Systems with Aging and Cumulative Damage Based on Proportional Hazards Model[J]. Reliability Engineering & System Safety, 2017, 168: 200[J]. 209 [Article] [CrossRef] [Google Scholar]
- Peng H, Feng Q, Coit D W. Simultaneous Quality and Reliability Optimization for Microengines Subject to Degradation[J]. IEEE Trans on Reliability, 2009, 58 (1): 98– 105 [Article] [CrossRef] [Google Scholar]
- Peng H, Coit D W, Feng Q. Component Reliability Criticality or Importance Measures for Systems with Degrading Components[J]. IEEE Trans on Reliability, 2012, 61 (1): 4– 12 [Article] [CrossRef] [Google Scholar]
All Tables
All Figures
![]() |
图1 系统可靠度随时间和组件更换变化规律示意图 |
| In the text | |
![]() |
图2 组件更换序列优化过程 |
| In the text | |
![]() |
图3 由6个组件构成的串并联系统 |
| In the text | |
![]() |
图4 系统可靠度随时间变化规律 |
| In the text | |
Current usage metrics show cumulative count of Article Views (full-text article views including HTML views, PDF and ePub downloads, according to the available data) and Abstracts Views on Vision4Press platform.
Data correspond to usage on the plateform after 2015. The current usage metrics is available 48-96 hours after online publication and is updated daily on week days.
Initial download of the metrics may take a while.




