| Issue |
JNWPU
Volume 39, Number 3, June 2021
|
|
|---|---|---|
| Page(s) | 633 - 640 | |
| DOI | https://doi.org/10.1051/jnwpu/20213930633 | |
| Published online | 09 August 2021 | |
Research on force demand of multi-layer anti-missile coorperative combat
多层反导协同作战兵力需求研究
1
Basic Department, Rocket Force University of Engineering, Xi'an 710025, China
2
Air and Missile Defense College, Air Force Engineering University, Xi'an 710051, China
Received:
9
October
2020
Abstract
In order to find a scientific analysis method of anti-missile force demand, the connotation of force demand of multi-layer anti-missile cooperative combat was first defined, and the relative concepts such as combat unit, firepower layer, route shortcut and assault wave were described. Then, an intercept damage model of multi-layer anti-missile coorperative combat was built. And the computing method of anti-missile firepower overlaping demand was proposed, the computing method of minimum acceptable quantity of single firepower layer anti-missile combat unit and the total force demand of multi-layer anti-missile cooperative combat were given based on the studied thinking of force demand. At last, the example of anti-missile combat was set up, which was solved with LINGO software, and it confirmed the rationality of the proposed method and the effect of each anti-missile fire layer.
摘要
为探寻一种科学的多层反导协同作战兵力需求分析方法,界定了多层反导协同作战兵力需求的内涵,系统阐述了作战单元、火力层次、航路捷径、突击波次等相关概念,在明确多层反导协同作战兵力需求研究思路的基础上,构建了多层反导协同作战拦截毁伤模型,提出了反导火力重叠需求计算方法,给出了单火力层次反导作战单元最小可接受数量及多层反导协同作战总兵力需求计算模型,并设置了反导作战实例,运用LINGO软件对实例进行求解,充分印证了所采用方法的合理性以及各反导火力层次在作战中的地位作用。
Key words: multi-layer anti-missile / cooperative combat / force demand / route shortcut / damage probability
关键字 : 多层反导 / 协同作战 / 兵力需求 / 航路捷径 / 毁伤概率
© 2021 Journal of Northwestern Polytechnical University. All rights reserved.
This is an Open Access article distributed under the terms of the Creative Commons Attribution License (http://creativecommons.org/licenses/by/4.0), which permits unrestricted use, distribution, and reproduction in any medium, provided the original work is properly cited.
弹道导弹拦截的低毁伤概率、高时效要求等综合决定了多层反导协同作战的基本模式,鉴于反导装备技术发展、政治外交风险等诸因素,未来相当长时间内,以陆基平台发射拦截弹实施的“两段三层”(中段、末段高层和末段低层)协同拦截,是反导作战的基本样式[1]。兵力需求是指在特定战场背景下,为遂行作战任务、达成作战目的,对兵器、人员在数量、能力等方面的要求。与之相对应,多层反导协同作战兵力需求,主要是指为以不低于指定概率和较高效费比对来袭弹道导弹进行拦截,而所要求的反导作战单元数量[2]。多层反导协同作战兵力需求计算是多层反导协同作战任务规划的基础性、前端性内容,选择合理的兵力需求计算方法、确定适用的兵力规模,对多层反导协同作战活动有着全程而深远的影响。
目前,关于反导作战兵力需求的研究成果比较少,已有的成果大多集中在防空作战领域。文献[3]提出了辨析关键因素、厘清因果关系、评价相互影响、分析计算结果的兵力需求运作机理研究框架, 以弹炮结合防空兵器抗击巡航导弹为例,明确了影响防空作战兵力需求的因素,并运用AHP法和ANP法对各影响因素权重进行了排序,为开展防空和反导作战兵力需求研究提供了基本思路;文献[4]提出了满足最小杀伤纵深需求的航路捷径之和覆盖地面掩护目标的单层兵力需求计算方法,并参考文献[5]采用Markov链方法构建了岛礁防空作战总兵力需求模型,解决问题的方法值得借鉴,但兵力需求计算初选环节的缺失、首末火力单元航路捷径覆盖不全以及未考虑来袭方向动态变化等问题的存在,使得研究成果操作性有待于进一步提升;文献[6-7]以空地直接对抗为背景,以毁伤对方、保全己方为目标,这与反导作战有着根本的区别;文献[8]针对联合火力打击兵力需求问题,根据作战任务的毁伤要求和资源约束条件,建立了多目标作战资源优化模型,并根据不同作战阶段目标函数偏好不同对问题进行了求解,其所采用的针对不同作战阶段分别建立目标函数的思想值得借鉴,但在研究过程中未提及防御要素对兵力需求的影响,综合指标体系有待进一步完善; 文献[9]提出了末段高层反导武器系统对地面保卫目标掩护角的计算方法,并在此基础上给出了末段高层反导作战兵力需求计算模型,其总体思路值得借鉴,但在掩护角计算时仍沿用反航空器目标的模式,相关结论有待商榷。文献综上所述,文章在充分吸收防空作战兵力需求已有研究经验的同时,将紧密结合反导作战特点,并立足陆基反导武器系统基本属性,系统开展多层反导协同作战兵力需求研究工作。
1 对多层反导协同作战兵力需求有关问题的界定
为便于分析讨论,基于"两段三层"反导作战样式,对多层反导协同作战兵力需求涉及的有关问题进行说明。
1.1 相关概念
作战单元:反导作战单元是由同一层次的不同作战要素组成,能在一定范围内相对独立遂行反导作战任务的最小作战单位或最小作战单位主体。受跟踪制导雷达作用距离、拦截弹有效射程等因素影响,末段高层和末段低层反导作战力量,以要素完备的整套武器系统为基本作战单位,其作战单元为末段高层或末段低层武器系统[10]。中段反导作战空域大、地面掩护范围广、配属雷达作用距离远,发射装置、跟踪制导雷达、指控系统等主要组成部分可实施远距离分布式配置,由于对来袭目标造成直接毁伤的是拦截弹系统,因此将地基中段拦截弹发射装置称为中段反导作战单元。
火力层次:“两段三层”反导作战样式下,将反导作战火力区分为中段反导火力层、末段高层反导火力层和末段低层反导火力层,同一火力层次所属反导作战单元性能相同或相近。3类火力层的划分,主要以武器系统作战空域高度为标准,是针对典型目标而言的。例如,THAAD末段高层反导装备,所应对的典型目标是射程600~3 500 km的中近程弹道导弹,可在典型目标进袭的末段高层空域(40~150 km高度)实施拦截,而该空域正处于射程600 km以下部分弹道导弹的飞行中段,亦可对这类弹道目标实施中段拦截[12],但THAAD系统仍然列属为末段高层反导装备。需要说明的是,处于火力层作战空域之外的目标,各反导火力层无法实施拦截,即拦截毁伤概率为0。
航路捷径:弹道导弹航路捷径是考量反导拦截有利度的概念,它是通过弹道导弹目标指向目标运动方向的射线在水平面上的投影,到反导发射装置(拦截弹发射点)物理中心的垂直距离[3]。一般而言,弹道导弹目标航路捷径越大,越不利于射击拦截,反之对目标的射击拦截有利度越高。鉴于弹道导弹特有的进袭方式和地面保卫目标明确性,通常来说,飞行中的弹道导弹航路捷径变化不大,因此,航路捷径是反导作战运用研究中的一个重要参数。
突击波次:弹道导弹突击波次是由多个弹道导弹火力单元在较短时间内共同实施的一次突击行动。在一个突击波次中,往往发射多枚相同型号或不同型号的弹道导弹,按照时间先后顺序对同一个不或不同的地面保卫目标进行攻击,致使被攻击方反导拦截资源应接不暇,以达成饱和攻击的态势。从弹道导弹前一突击波次结束到下一突击波次开始所用的时间,称为突击波次转换时间。
1.2 多层反导协同作战兵力需求计算的基本思路
多层反导协同作战兵力需求研究是一个多目标、多条件、非线性规划问题[11],该问题分析计算,既要考虑单一层次反导火力拦截能力,又要着眼“两段三层”火力协同作战效能;既要确保对地面保卫目标的有效防护,又要避免反导作战单元的过度投入,即寻求较大的杀伤概率增长率与较小的拦截弹相对消耗量[12-13]。另外,影响兵力需求的因素有敌情、我情和战场环境等诸多方面,作战任务规划阶段明确的兵力需求,作为后续兵力调度的主要依据,对实际兵力投入和作战部署决策具有直接而重要的影响。为确保兵力需求计算结果的适用性,兵力需求计算须遍历来袭导弹性能、数量、进袭方向,上级要求的地面目标防护概率,己方拦截兵器性能及可用数量等所有主要影响因素,其余非主要因素可适当放宽分析过程粒度。基本思路和程序步骤如下所示:
1) 根据空天防御情报系统获取的弹道导弹发射征候,以悲观准则研判可能来袭的弹道导弹型别及其性能参数[14],并以对可能来袭目标拦截能力和较高的毁伤概率为准绳,确定反导火力层次构成及各火力层次所属反导装备,这里假定每个火力层次由相同型号作战单元组成。该阶段工作主要为定性分析,是对参与反导作战装备的初步遴选。
2) 以弹道导弹可能来袭方向为当面,在确保同一火力层次必要火力衔接的前提下,使确定的反导火力层次杀伤区覆盖来袭当面宽度。需要说明的是,地面掩护目标往往是由若干重要点目标组成的目标区,中段和末段高层反导火力层次杀伤区须对地面保卫目标区当面宽度进行覆盖,而末段低层反导火力层次只需对点目标来袭当面宽度进行覆盖,由此计算得到各火力层次作战单元数量,需要强调的是该数量为约束条件,即各火力层次所属作战单元数量不小于该数值,如图 1所示。
![]() |
图1 反导火力层次杀伤区覆盖地面保卫目标示意图 |
3) 给定弹道导弹一个突击波次的进袭强度及突防概率,以不大于该突防概率值为限定,以较小的反导资源投入为约束,对反导火力层次综合拦截毁伤概率进行计算,得出各火力层次所属的反导作战单元数量,经与2)得出的兵力需求计算结果相比较,最终明确多层反导协同作战兵力需求。这里有2个问题需要说明:①不同反导火力层次对来袭弹道导弹的拦截能力和单发杀伤概率不同,其拦截弹使用策略也有所区别,由于本文以对来袭弹道目标有效毁伤为目的,根据文献[2]中关于地空导弹发射种类选择方法的论述,中段、末段高层和末段低层3个反导火力层次可采用相同的拦截毁伤模型;②多层反导协同作战强调的是火力运用的一体化和整体性,鉴于各火力层次拦截弹制导误差的无联系性,且不存在杀伤作用的积累,根据概率论的基本定理,多层反导体系的各火力层次对同一目标射击拦截时,可视为具有不同单发杀伤概率的作战单元[14],体系对目标的毁伤概率计算参照文献[12]进行,计算方法如公式(1)所示:
1
式中:n为对同一目标连续发射拦截弹的数量; Pn为连续发射n拦截弹对目标的杀伤概率; P1i为第i发拦截弹的单发杀伤概率。
2 单火力层次反导作战单元最小可接受数量分析
中段和末段高层反导火力层次所属作战单元数量计算方法, 遵循以满足必要火力衔接前提下的水平杀伤区覆盖目标区来袭当面宽度的准则。设某火力层次所属反导作战单元对典型目标的水平杀伤区远界为Dsy、最大航路角为qmax, 为对来袭弹道导弹形成严密的拦截火力, 相邻2个作战单元之间必须形成一定的火力重叠, 基于火力重叠形成的最小杀伤区纵深设为l。弹道导弹在中段和末段高层飞行的水平速度分量为vsp, 该水平速度分量为可计算值[15]。
设反导作战单元对来袭弹道目标发射间隔为ΔtFS, 则一次发射n发拦截弹对目标进行拦截时, 弹道目标在杀伤区内飞行距离的水平分量为: (n-1)·ΔtFS·vsp, 那么应该有
2
如果对来袭目标进行m次拦截(m≥1), 2次拦截活动间隔时间为ΔtLJ(主要用于杀伤效果评估、拦截可行性分析等), 则l应满足l≥m(n-1)·ΔtFS·vsp+(m-1)·ΔtLJ·vsp, 为节约反导作战资源, 这里取
3
根据图 2分析可知, 满足公式(3)时, 反导作战单元具有最大有效航路捷径, 设为Pzdyx, 则其满足
4
![]() |
图2 水平杀伤区纵深与最大有效航路捷径关系示意图 |
若中段和末段高层火力层次保卫目标区, 弹道目标来袭当面宽度为s, 则中段或末段高层火力层次反导作战单元数量需求N=s/(2Pzdyx)。
对于末段低层反导火力而言, 其保卫目标为目标区中的点状要害目标或小范围目标区, 作战单元最小可接受数量计算方法与中段和末段高层火力层次类似, 唯一区别在于反导火力覆盖对象为点状目标弹道导弹来袭当面宽度。单个点目标(或小面积目标区)反导作战单元最小可接受数量明确后, 根据目标区内点目标的数量, 即可累加计算, 得出末段低层火力层次反导作战单元最小可接受数量。由此可得, 反导作战单元最小可接受数量组合
5
3 多层反导协同作战总兵力需求分析
在指定拦截概率或弹道导弹突防概率条件下, 以敌对方弹道导弹最强突击波次(一个突击波次所能发射的最大弹道导弹数量)为输入, 按照多层反导体系整体火力应对最强突击波次弹道导弹总体威胁的“整体火力应对总体威胁”的思路, 开展多层反导协同作战总兵力需求计算。“整体火力应对总体威胁”的思路, 将使多层反导体系直接面向弹道导弹毁伤的最终目标, 继而反推出各火力层次所需的作战资源数量(拦截弹数量), 能够有效体现多层反导的协同性与整体性。
3.1 多层反导协同作战拦截毁伤模型
设敌对方最强突击波次可发射z枚弹道导弹, 假定第i层(1≤i≤3)火力层次所属反导作战单元对最强突击波次中的第k枚弹道导弹的单发毁伤概率为pik, 则第i层火力层次对第k枚弹道导弹发射nik枚拦截弹的毁伤概率为
6
则第k枚弹道导弹经过3层反导火力射击拦截后的毁伤概率为
7
由此可推出, 最强突击波次的z枚弹道导弹, 经过3层反导火力层次射击拦截后的毁伤概率为
8
设多层反导体系对最强突击波次拦截毁伤概率不低于pgd, 即
9
当
时, 多层反导体系所消耗的火力资源最少。
3.2 多层反导协同作战总兵力需求计算
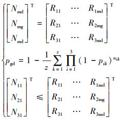
多层反导协同作战总兵力需求计算, 是基于单火力层次最小可接受反导作战单元数量及多层反导协同作战拦截毁伤模型开展的, 根据以上分析可构建多层反导协同作战总兵力需求计算模型如下所示
10
公式(10)中第一项分式为目标函数, 后2项分式为约束条件, 其中
为多层反导体系各火力层次所属反导作战单元的数量序列。根据公式(10)可展开总兵力需求计算程序。
step1 这里假定弹道目标批次间隔不小于各反导作战单元转移火力时间, 根据公式(9), 可计算出各火力层次对各来袭弹道导弹发射拦截弹数量组合序列的集合, 其中, 每一个数量组合序列, 均为指定拦截毁伤概率条件下的解决方案(兵力需求方案)
11
step2 假设抗击弹道导弹一个突击波次作战过程中, 各反导作战单元不向发射装置补充拦截弹。在各火力层次所属反导作战单元拦截弹基数fi(所有发射装置满载时的拦截弹配备数量)给定的情况下, 用每一个数量组合序列计算出的各火力层次发射拦截弹数量ni与fi相比, 即可得出每个解决方案各火力层次反导作战单元数量Ri。需要说明的是, 若Ri为非整数, 应向上取整数。由此可得, 完成射击拦截任务所需的各火力层次反导作战单元数量组合序列
12
step3 以公式(5)数量组合为标准, 与公式(12)各数量组合逐一比较, 公式(12)中凡组合中的数值小于公式(5)组合对应数值的均剔除, 剩余数量组合序列为满足“单火力层次反导作战单元最小可接受数量”和“给定拦截毁伤概率”约束的兵力需求基础方案序列
13
step4 明确各火力层次单枚拦截弹价值, 对照公式(11), 计算公式(13)各方案所对应的费用
14
从公式(14)中遴选费用最小的方案作为多层反导协同作战的兵力需求。
4 实例分析
敌对方为达成反制压制目的, 可能使用陆、海基平台发射弹道导弹对一线某目标区进行攻击, 该目标区内含5个重要点状目标, 经计算目标区的单火力层次反导作战单元最小可接受数量分别为: 中段反导作战单元-1、末段高层反导作战单元-2、末段低层反导作战单元-5。经对发射征候分析研判, 对手所使用武器可能为潜射11型中近程及陆基21型短程弹道导弹, 对于潜射11型中近程弹道导弹, 中段、末段高层和末段低层反导作战单元均可射击拦截, 对于陆基21型短程弹道导弹, 仅末段高层和末段低层反导作战单元可实施拦截。对手一个最强突击波次可能发射60枚弹道导弹, 其中, 潜射11型25枚、陆基21型35枚。各火力层次拦截弹单发毁伤概率、单枚导弹价值及拦截弹基数, 如表 1所示。
拦截弹单发毁伤概率、单枚导弹价值及拦截弹基数
参照美军弹道导弹防御体系对美国本土防护效能预想[16], 假设给定弹道导弹突防概率不大于0.2, 即该目标区多层反导体系对弹道导弹最强突击波次拦截毁伤概率不低于0.8, 则有
15
参照表 1对公式(15)进行计算得函数
16
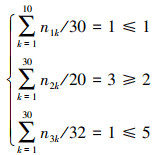
同时, 还应满足以下约束条件
17
18
弹道导弹在不同的飞行阶段展现出的目标特性差异明显, “两段三层”拦截弹道导弹单发毁伤概率也不尽相同。总体而言, 中段拦截单发毁伤概率最高、末段高层次之、末段低层单发毁伤概率最低[17-21], 公式(16)从实际运用出发对拦截策略进行了明确, 限定中段、末段高层和末段低层反导火力层次, 对1枚来袭弹道导弹发射拦截弹数量分别不大于2枚、4枚、4枚; 公式(17)中, x为给定拦截概率条件下多层反导体系拦截费用, 即所发射拦截弹的总价值。
结合兵力需求计算结果的矩阵表现形式, 采用LINGO(linear interactive and general optimizer, 交互式的线性和通用优化求解器)软件对设置实例进行求解。LINGO软件由美国LINDO系统公司推出, 可用于求解非线性规划, 也可用于一些线性和非线性方程组的求解。软件内置建模语言, 允许决策变量是整数, 操作使用方便灵活, 而且执行速度非常快, 便于和EXCEL、数据库等其他软件交换数据, 功能十分强大。仿真实验在硬件配置为CPU主频2.6 GHz、内存容量为16 GB的计算机下进行, 共耗时3 785 s。经对实例解析计算可得中段反导火力层次对来弹道导弹发射拦截弹的总数量为25枚;末段高层和末段低层反导火力层次发射拦截弹的总数量分别为43枚和22枚。用各反导火力层次发射拦截弹的总数与对应反导作战单元的拦截弹基数相比, 向上取正整数为各反导作战单元的理论需求数量。用理论需求数量与各火力层次反导作战单元最小可接受数量相比较, 若理论需求数量大于最小可接受数量, 结果采用理论需求数量, 若理论需求数量小于最小可接受数量, 则结果采用最小可接受数量, 即可得出保卫地面目标各火力层次实际所需的反导作战单元数量, 如公式(19)所示
19
计算得到本实例的最终兵力需求方案为:中段反导作战单元1套、末段高层反导作战单元3套、末段低层反导作战单元5套。同时,从计算结果分析可知,该作战场景下中段反导作战单元是反中程弹道导弹的主战兵力,末段高层反导作战单元主要用于抗击近程弹道导弹,由于末段低层反导作战单元较低的拦截毁伤概率,其主要用于对漏防的近程弹道导弹进行补充拦截。
5 结论
兵力需求计算是多层反导协同作战任务规划的逻辑起点,采用方法和计算结果合理与否,将持续影响多层反导协同作战任务规划活动及实际作战行动。文章构设了反导作战单元的概念,定义了反导作战单元概念的内涵和外延,提出了“整体火力应对总体威胁”的兵力需求论证思路,给出了相邻反导作战单元之间火力重叠需求的计算方法,在此基础上,构建了基于多层反导协同作战总兵力需求的计算模型,并结合实例详细说明了计算解析步骤,得出了有关结论,为多层反导协同作战兵力需求计算提供了一套完整的方法。文章进行兵力需求计算,主要考虑了拦截毁伤概率、反导资源投入、掩护覆盖度等主要因素,对电子干扰、装备可靠性等其他因素没有过多兼顾,但由于兵力需求的意义重在参考,粒度允许范围较大,因此,文章所采用方法和计算结果可直接用于多层反导协同作战任务规划活动,更加全面的影响因素,将作为后续深化研究方向。
References
- Chen Jiesheng. Air defense[M]. Beijing: Science Press, 2017(in chinese) [Google Scholar]
- Chen Hongyou, Guo Youquan, Wang Yinglong. Tactic science of PLA air force ground to air missile troops[M]. Beijing: PLA Press, 2016(in chinese) [Google Scholar]
- Guo Haobo, Wang Yinglong. On operational mechanism of military strength demand[J]. Electronics Optics & Control, 2007 (2): 154– 158 [Article](in chinese) [Google Scholar]
- Ma Xinxing, Teng Kenan, Hou Xuelong. Troops demand analysis of reef defense[J]. Command Control & Simulation, 2017 (2): 1– 4 [Article](in chinese) [Google Scholar]
- Ning Weihua, Li Hailong, Tian Xinhua, et al. Assessing multilayer air defense options based on Markov chain[J]. Electronics Optics & Control, 2006 (2): 57– 60 [Article](in chinese) [Google Scholar]
- Ma Xinxing, Temg Kenan, Hou Xuelong. Troops demand analysis of naval point area air defense[J]. Ordnance Industry Automation, 2019 (1): 5– 9 [Article](in chinese) [Google Scholar]
- Miao Lida, Wang Zongjie, Sun Shoufu. Investigation on the demand for armed attack force of armed helicopter formation[J]. Command Control & Simulation, 2017 (3): 16– 18 [Article](in chinese) [Google Scholar]
- Pan Junjie, Xu Ruiming, Liu Shuangshuang. Force demand method for joint fires attack based on decision-making orientated optimization analysis[J]. Command Control & Simulation, 2018 (5): 18– 20 [Article](in chinese) [Google Scholar]
- Lu Yingqi, Zhang Xiaokuan. Covering capability analysis of terminal high altitude ATBM System[J]. Aerospace Control, 2014 (2): 41– 45 [Article](in chinese) [Google Scholar]
- Zhou Wei, Lyu Linlin. Russia S500 anti-missile system compared to the USA THAAD system[J]. Dynamic Reference of Foreign Nuclear Weapons, 2016 (5): 21– 29(in chinese) [Google Scholar]
- Jaiswal N K. Military operations research: quantitativc decision making[M]. Kluwer Academic Publishers, 2018 [Google Scholar]
- Ma Shuanzhu, Liu Fei, Cao Zeyang. Surface to air missile shooting[M]. Xi'an: Northwest Polytechnical University Press, 2017(in chinese) [Google Scholar]
- Yu Bin, Zhang Yaohong, Yu Bochao. Military operational research method and application[M]. Changsha: National Defense University of Science and Technology Press, 2018(in chinese) [Google Scholar]
- Robert V H, Joseph W M K, Allen T C. Introduction to Mathematical Statistics[M]. 7th Edition. New York: New York the Macmillan Company, 2017 [Google Scholar]
- Liu Jizhong, Wang Xiaodong, Gao Lei, et al Ballistic missile[M]. Beijing: National Defense Industry Press, 2015(in chinese) [Google Scholar]
- Ma Yanbo, Dong Lu. Ability analysis and development of the USA GMD system[J]. Missile Defense, 2017 (3): 13– 22(in chinese) [Google Scholar]
- Jason Sherman. MDA plans to move thaad, patriot testing to alaska from hawaii[J]. Inside the Pentagon's Inside Missile Defense, 2017, 23 (3): 1– 8 [Article] [NASA ADS] [Google Scholar]
- Jason Sherman. MDA conducts simulated exercise featuring THAAD and PATRIOT[J]. Inside the Pentagon's Inside Missile Defense, 2018, 24 (8): 26– 42 [Google Scholar]
- Eggert John M. Patriot advanced capability-3 missile segment enhancement (PAC-3 MSE)[R]. AD. 2015 [CrossRef] [Google Scholar]
- Machi Vivienne. Missile defense market poised for growth[J]. National Defense, 2017 (760): 8– 9 [Article] [Google Scholar]
- Lockheed Martin. Next generation aegis ballistic missile defense system successfully engages medium range ballistic missile target[J]. Defense & Aerospace Week, 2017 (1): 1– 42 [Article] [Google Scholar]
All Tables
All Figures
![]() |
图1 反导火力层次杀伤区覆盖地面保卫目标示意图 |
| In the text | |
![]() |
图2 水平杀伤区纵深与最大有效航路捷径关系示意图 |
| In the text | |
Current usage metrics show cumulative count of Article Views (full-text article views including HTML views, PDF and ePub downloads, according to the available data) and Abstracts Views on Vision4Press platform.
Data correspond to usage on the plateform after 2015. The current usage metrics is available 48-96 hours after online publication and is updated daily on week days.
Initial download of the metrics may take a while.


