| Issue |
JNWPU
Volume 39, Number 5, October 2021
|
|
|---|---|---|
| Page(s) | 1114 - 1121 | |
| DOI | https://doi.org/10.1051/jnwpu/20213951114 | |
| Published online | 14 December 2021 | |
Electromagnetic design method of linear induction motor considering lateral end effect
一种考虑横向端部效应影响的直线感应电机电磁设计方法
1
College of Electrical and Power Engineering, Taiyuan University of Technology, Taiyuan 030024, China
2
Yicheng Power Supply Company of State Grid, Yicheng 043500, China
3
CRRC Yongji Electric Motor Co. Ltd, Xi'an 710000, China
Received:
16
January
2021
Abstract
Due to the complex end effect, it is difficult for the linear induction motor to design and analyze with the "road" calculation and two-dimensional field calculation. Considering the end effect, skin effect and secondary leakage reactance of the eddy current of the secondary induction plate, a linear induction motor electromagnetic design and calculation program was programmed via VB language. A two-dimensional finite element analysis method was proposed to approximate the lateral end effect on linear induction motor performance by multiplying the two lateral end effect coefficients into secondary induction plate resistivity and air-gap relative permeability. The accuracy for both calculation of end effect coefficients by "road" calculated program and considering lateral end effect in two-dimensional finite element analysis was validated by using the experiment and three-dimensional full model finite element, respectively. This work proposes the calculation method of the lateral end effect, which is faster and more accurate for the electromagnetic design as well as the finite element simulation of linear induction motor.
摘要
针对直线感应电机复杂端部效应对"路"算和有限元二维"场"算带来的设计分析困难问题。考虑端部效应、次级感应板涡流的集肤效应和次级漏电抗,编写了基于VB语言的直线感应电机电磁设计"路"算程序;提出一种将横向端部效应的2个系数分别乘入次级绕组电阻率和电磁气隙磁导率,近似等效横向端部效应对直线感应电机性能影响的二维有限元分析方法。实验及三维有限元计算结果验证了"路"算设计程序端部效应系数计算及二维有限元"场"算中横向端部效应计入方法的正确性。所提出的横向边端效应计算方法为直线感应电机的电磁设计及有限元仿真提供了更便捷、准确的手段和方法。
Key words: linear induction motor / lateral end effect / correction factor / finite element analysis
关键字 : 直线感应电机 / 横向端部效应 / 修正系数 / 有限元分析
© 2021 Journal of Northwestern Polytechnical University. All rights reserved.
This is an Open Access article distributed under the terms of the Creative Commons Attribution License (http://creativecommons.org/licenses/by/4.0), which permits unrestricted use, distribution, and reproduction in any medium, provided the original work is properly cited.
直线感应电机应用于城市轨道交通, 具有结构简单、直接驱动、推力大、爬坡能力强、转弯半径小等诸多优点1-3。目前, 直线牵引系统已在我国的广州地铁线、首都机场线和长沙磁浮快线得到应用4-6。但是, 直线感应电机在结构上具有初级铁芯开断、气隙大等特点, 因此在设计计算方面与旋转电机有所不同。在“路”算设计方面的困难主要表现为复杂的端部效应处理7。在有限元“场”算数值求解方面, 二维场只能沿纵向建模分析, 直线感应电机的横向端部效应不能得到考虑; 三维场建模分析虽然能够计入各类端部效应,模拟电机实际运行情况, 但直线电机运动路径无循环带来的次级长度大、初级路径长、气隙长度大等特点, 使得三维仿真几何模型和网格剖分量大, 因此对数值求解的三维建模分析计算方法提出较高的计算机硬件和时间成本要求8。由于纵横向边端效应的存在, 使得直线感应电机的设计计算和仿真模拟都较困难。
文献[9]基于MATLAB语言编写了直线感应电机“路”算设计程序, 但未完整考虑横向端部效应以及纵向端部效应、集肤效应、次级漏电抗对电机性能的影响。文献[10]基于一维电磁场理论方程求解, 系统推导了半填充槽、边端效应、次级漏电抗对等效电路参数影响的计算式, 对上述参数应用于电机设计和性能计算没有做出明确说明。现有文献中没有形成一套综合考虑直线电机各类特点所带来的参数修正的完整“路”算设计程序。文献[11]在假设横向端部效应对电机性能影响很小的情况下, 忽略横向端部效应建立二维有限元分析模型计算样机性能, 实验证明横向端部效应会对电机性能计算结果带来较大的偏差。文献[12-13]使用三维涡流场求解样机性能, 仅适用于稳态性能的近似等效求解, 无法像瞬态场一样求解电机特性随时间的动态变化过程。文献[14]在相邻模型电磁场变化很小的情况下, 采取空间离散的方法建立多个模型求解, 以达到减小模型求解工作量的目的; 文献[15-16]在计算机硬件基础有限的条件下分别对直线感应电机和永磁直线电机三维瞬态场求解, 并表明了三维瞬态场求解直线电机工作量大、成本高、周期长, 不能作为设计常用手段。
本文以短初级复合次级单边直线感应电机为对象, 综合考虑直线电机特有的各种效应对参数计算引起的修正, 基于VB语言编写了完整的直线感应电机电磁设计“路”算程序, 为工程设计提供了考虑因素全面、准确快速的设计程序。提出一种将横向端部效应的2个系数分别乘入次级绕组电阻率和电磁气隙磁导率, 近似等效横向端部效应对直线感应电机性能影响的二维有限元分析方法, 提高了二维有限元计算结果的准确性。实验及三维全模型有限元分析结果验证了“路”算程序和考虑横向端部效应的二维有限元设计方法的正确性。
1 计入边端效应的直线感应电机等效电路与性能计算
1.1 等效电路
直线感应电机的等效电路可以认为和旋转感应电机相同, 不同的是各类边端效应对直线电机等效电路中的各参数值有影响。图 1为忽略铁芯损耗, 考虑边端效应时直线感应电机等效电路17。
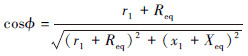
其中, r1为初级绕组电阻, x1为初级绕组漏电抗, xm0为磁化电抗, r′2为归算到初级的次级电阻, X2为次级漏电抗。上述参数的计算方法与旋转电机相同。K′r(s), K′x(s)分别为纵向动态端部效应对次级电阻和磁化电抗的修正系数; Cr(s), Cx(s)分别为横向端部效应对次级电阻和磁化电抗的修正系数; Kf为集肤效应对次级电阻的修正系数。
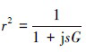
在直线感应电机一维似稳电磁场求解基础上, 按照场路复量功率相等原则, 可推导得到K′r(s), K′x(s), Cr(s), Cx(s)计算式。其中, 横向端部效应对次级电阻的修正系数计算式
(1)
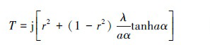
横向端部效应对激磁电感的修正系数计算式
(2)
式中
(3)
(4)
(5)
式中:G为品质因数;a为初级横向长度的一半;c为次级横向长度的一半
;τ为极距。
在上述基于一维场的端部效应修正系数求解基础上, 建立直线感应电机二维电磁场方程, 可求解得到直线感应电机次级漏电抗和集肤效应对次级电阻的影响系数。当双层绕组直线电机有边端半填充槽时, 在气隙磁场求解中同样分段求解气隙磁密, 可推导得到边端半填充对参数的影响。综上, 可以得到直线感应电机等效电路全模型和电路中的各参数计算式。
![]() |
图1 直线感应电机等效电路 |
1.2 电路简化与参数演变
为便于直线电机依据等效电路进行性能计算, 对图 1等效电路的结构及参数进行变换。
令
(6)
(7)
(8)
(9)
由于各端部效应系数均基于场路复量功率相等的原则推导得到, 在忽略三相不对称(第一类静态端部效应)的情况下, 只需要将直线感应电机其他端部效应的影响以对电机参数修正的形式计入等值电路, 即可完成直线感应电机考虑各类端部效应的性能计算。
![]() |
图2 并联支路合并的等效电路 |
1.3 性能计算
假设相电压为U, 忽略直线感应电机的不对称, 基于上述直线感应电机等效电路和参数计算式, 可以完成直线感应电机的性能计算。
VB语言编程用户界面友好, 但没有复数计算功能, 在求解等效电路性能计算时需要按照实部虚部分别计算。因此本文表述式中的量均为实数, 不代表相量。
建立复频域运算电路模型, 计算可得转子侧电流的模为
(10)
式中
(11)
(12)
忽略相间不对称时的初级相电流
(13)
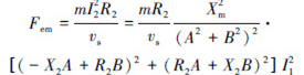
电磁推力
(14)
功率因数
(15)
效率
(16)
式中:m为相数; vs为同步牵引速度; Δp为机械(摩擦风磨)损耗; v为初级运行速度。
1.4 样机设计实例
利用等效电路参数和性能计算式, 基于VB语言编写直线感应电机“路”算设计程序。并设计了1台时速80 km/h的直线感应电机。样机设计参数见表 1。
样机设计参数
2 直线感应电机二维有限元仿真
2.1 建模分析方法
有限元二维模型认为沿轴伸方向电机内部的磁场均与所求截面处相同, 即无法考虑直线感应电机横向端部效应, 因此很难在二维有限元分析模型中准确分析计算直线感应电机特性。
参考“路”算中将各项端部效应的影响等效为等值电路参数变化的方法, 本文提出一种在二维有限元计算时, 将横向端部效应对次级电阻的修正系数乘入次级电阻率, 将横向端部效应对激磁电感的修正系数乘入电磁气隙磁导率, 以近似等效横向端部效应对直线感应电机性能影响的仿真方法。
2.2 仿真计算
采用上述近似等效横向端部效应的仿真方法, 对设计样机建立二维有限元分析模型如图 3所示。其中, 次级铝板材料的电导率数值为工作温度下的电导率乘横向端部效应系数Cr(s), 气隙及铝板的相对磁导率为材料相对磁导率乘横向端部效应系数Cx(s)。横向端部效应系数Cr(s), Cx(s)值由(1)、(2)式计算可得。
VB“路”算程序和提出的二维有限元仿真方法分别计算横向端部效应系数Cr(s), Cx(s)对直线感应电机的推力影响见表 2。
由表 2可见, 所提出的二维有限元仿真方法计算结果与VB“路”算程序计算结果基本相同。横向端部效应系数Cr(s), Cx(s)均会引起直线感应电机的推力减小, 且效果明显, 不容忽略。
将只考虑横向端部效应系数Cr(s)影响的VB“路”算程序计算结果与二维“场”算结果后处理计算样机性能对比见表 3。
由表 3可见, 考虑横向端部效应系数Cr(s)影响时的VB“路”算与二维“场”算推力结果相差不大。由于VB“路”算无法考虑三相不对称, 相比二维“场”算电流结果偏小, 进而影响效率偏高和功率因数偏高。
将相同激励条件下忽略与近似等效考虑横向端部效应系数Cr(s)对次级电阻的修正时的二维电磁推力仿真结果进行对比, 如图 4所示。由图可见, 由于横向端部效应作用效果与次级电阻增大相同, 考虑横向端部效应影响会引起直线电机推力的明显减小。图 5为等效计入与忽略横向端部效应系数Cr(s)对次级电阻的修正时二维有限元分析所得次级感应板涡流分布对比图。取次级感应板中电密横向分量沿电机纵向分布, 如图 6所示。由图可见, 用减小次级感应板的电导率来近似等效直线感应电机横向端部效应对次级电阻影响的方法, 有效减小了次级感应板涡流有效部分(沿横向分量)的大小, 体现了横向端部效应系数Cr(s)应有的作用。
图 7所示为完全忽略横向端部效应、近似等效考虑横向端部效应系数Cr(s)对次级电阻的修正与近似等效考虑横向端部效应系数Cr(s), Cx(s)对直线感应电机性能影响时的二维仿真时, 初级铁芯下的气隙磁密法向分量沿电机纵向分布图。由图可见, 考虑横向端部效应系数Cx(s)时会引起气隙磁密明显减小。横向端部效应系数Cr(s)是对次级电阻的修正, 而横向端部效应系数Cx(s)是对激磁电感的修正。因此, 在二维仿真中需要同时考虑横向端部效应系数Cr(s), Cx(s)对直线感应电机性能的影响。
图 8所示为忽略与近似等效考虑横向端部效应系数Cr(s), Cx(s)时中间一对极下气隙磁密法向分量沿电机纵向分布图。对其进行傅里叶分解(FFT)结果对比如图 9所示。由图可见, 相比只计Cr(s)影响时的气隙磁密, 考虑Cr(s), Cx(s)时的气隙磁密幅值有所减小, 基波磁密幅值分别为0.166 T, 0.152 T。这与VB“路”算程序计算结果接近。由于所设计为5/6短距绕组, 谐波主要为11次和13次。
VB“路”算程序分别计算横向端部效应系数Cr(s), Cx(s)影响时的样机气隙磁密与二维仿真结果对比见表 4。由表 4可见, VB“路”算程序计算样机气隙磁密结果与二维仿真结果接近。相比只计Cr(s)影响时的气隙磁密结果, 考虑Cx(s)影响时的气隙磁密幅值有所减小。VB“路”算程序计算结果与二维仿真结果的结论相同。
![]() |
图3 二维仿真模型 |
系数Cr(s), Cx(s)对电机推力影响结果
只计系数Cr(s)的“路”算与二维“场”算样机性能
![]() |
图4 忽略与近似等效系数Cr(s)影响的二维电磁推力结果 |
![]() |
图5 忽略与近似等效系数Cr(s)影响的次级板涡流分布 |
![]() |
图6 次级板涡流横向分量沿电机纵向分布 |
![]() |
图7 忽略与近似等效横向端部效应的气隙磁密 |
![]() |
图8 中间一对极下气隙磁密分布 |
![]() |
图9 中间一对极下气隙磁密FFT分解 |
系数Cr(s), Cx(s)对气隙磁密基波幅值影响
3 三维全模型仿真与实验验证
为验证编写的“路”算设计程序及解析计算横向端部效应系数的准确性和计入横向端部效应的二维有限元分析方法的正确性, 建立了样机三维有限元仿真模型, 进行了对比分析。
利用三维绕组建模插件, 建立直线感应电机样机三维全模型如图 10所示。由于三维模型计算量大, 为了加速稳定过程, 忽略机械动态过程, 仿真时使用速度给定。
图 11为速度给定时样机电磁推力仿真结果。稳态电磁推力平均值为0.686kN。
图 12为三维全模型仿真次级感应板涡流分布图。可见, 在同一纵向位置处沿横向次级涡流大小不完全相同。说明横向端部效应会改变次级电流的方向, 引起次级电流沿横向有效分量外的纵向无效分量, 实际可等效为次级有效电流的减小。取次级感应板涡流横向分量沿纵向轴线分布如图 13所示。
与二维仿真结果次级感应板涡流横向分量沿纵向分布(见图 6)对比可见, 二维近似等效考虑横向端部效应时的次级感应板涡流横向分量沿电机纵向分布与三维全模型仿真更接近。验证了本文近似等效横向端部效应二维仿真方法的合理性。
为验证本文提出的设计计算方法的准确性, 制造圆弧型实验样机, 进行特性实验。按表 1所示样机参数转换为圆弧型实验样机, 实验平台如图 14所示。
将推力实验结果与VB“路”算、近似考虑横向端部效应的二维仿真、三维全模型仿真结果对比见表 5。由表 5可见, 与实验结果相比, VB“路”算、考虑横向端部效应的二维“场”算和三维全模型计算结果相差不大。
![]() |
图10 三维仿真模型图 |
![]() |
图11 三维仿真电磁推力曲线 |
![]() |
图12 次级涡流分布图 |
![]() |
图13 次级板电密横向分量沿电机纵向分布 |
![]() |
图14 圆弧型实验平台图 |
实验与“路”算, 二、三维“场”算推力结果对比
4 结论
针对直线感应电机边端效应复杂, 三维有限元计算周期长, 样机制造成本高等带来的设计困难, 基于修正的T型等效电路分析了直线感应电机的各类边端效应修正计算公式, 编写了基于VB语言的直线感应电机“路”算设计程序; 提出一种等效考虑横向端部效应的二维仿真方法; 通过实验与三维全模型仿真计算验证了本文所提出的“路”算及二维“场”算对横向边端效应等效处理方法的准确性。为直线感应电机设计与工程应用提供便捷的研究方法和研究基础。
References
- Xu Wei, Zhu Jianguo, Tan Longcheng, et al. Optimal design of a linear induction motor applied in transportation[C]//IEEE International Conference on Industrial Technology, 2009 [Google Scholar]
- Zhang Qian, Liu Huijuan, Ma Jiefang, et al. Calculation of electromagnetic performance for long primary double sided linear induction motors considering backward traveling wave[J]. Trans of China Electrotechnical Society, 2020, 35(7) : 16–27 [Article] (in Chinese) [Google Scholar]
- Qin Wei, Fan Yu, Xu Hongze, et al. A linear induction maglev motor with HTS traveling magnetic electromagnetic halbach array[J]. Trans of China Electrotechnical Society, 2018, 33(23) : 41–48 [Article] (in Chinese) [Google Scholar]
- Huang Shurong, Xu Wei, Hu Dong. Survey on the development of linear induction motor based on railway transportation[J]. The Journal of New Industrialization, 2015(1) : 15–21 [Article] (in Chinese) [Google Scholar]
- Chen Xiaohong. New technology and system of urban railway traffic——express line project at changsha maglev airport[J]. Traffic and Transportation, 2016(3) : 1–3 [Article] (in Chinese) [Google Scholar]
- Liang Xiao. Practical application and technical innovations of medium-low speed maglev line[J]. Journal of Engineering of Heilongjiang University, 2019, 10(3) : 69–75 [Article] (in Chinese) [Google Scholar]
- Sung Jeonghyoun, Nam Kwanghee. A new approach to vector control for a linear induction motor considering end effects[C]//Conference Record of the 1999 IEEE Industry Applications Conference, 1999: 2284–2289 [Google Scholar]
- Zhang Bangfu, Cheng Ming, Wang Sasa, et al. Optimal design of flux-switching permanent magnet linear machine based on improved surrogate-based optimization algorithm[J]. Trans of China Electrotechnical Society, 2020, 35(5) : 99–107 [Article] (in Chinese) [Google Scholar]
- Liu Sukuo. Design and performance calculation of linear induction traction motor for urban railway traffic[D]. Beijing: Beijing Jiaotong University, 2018 (in Chinese) [Google Scholar]
- Xu Wei, Zhu Jianguo, Zhang Yongchang, et al. Equivalent circuits for single-sided linear induction motors[J]. IEEE Trans on Industry Applications, 2010, 46(6) : 2410–2423 [CrossRef] [Google Scholar]
- Yao Baoqing. Study on control and electromagnetic performance of linear traction motor[D]. Beijing: Beijing Jiaotong University, 2007 (in Chinese) [Google Scholar]
- Lyu Gang, Yang Jing. Characteristics analysis of cap-type secondary linear induction motor with primary lateral offset[J]. Journal of Beijing Jiaotong University, 2020, 44(2) : 112–118 [Article] (in Chinese) [Google Scholar]
- Lin Yong, Lyu Gang, Zhou Tong, et al. Analysis of characteristics of linear motor with primary lateral offset[J]. Journal of Beijing Jiaotong University, 2018, 42(6) : 104–110 [Article] (in Chinese) [Google Scholar]
- Guo Liang, Lu Qinfen, Ye Yunyue. FEM analysis and inductances calculation of linear motor in maglev trains[J]. Journal of Zhejiang University, 2006, 40(1) : 167–170 [Article] (in Chinese) [Google Scholar]
- Yao Baoqing, Fan Yu, Lyu Gang. Three-dimensional dynamic simulation of linear induction motor based on ansoft[J]. Explosion-Proof Electric Machine, 2006, 41(6) : 16–18 [Article] (in Chinese) [Google Scholar]
- Qiu Leilei, Lu Huacai, Miao Biyun. Dynamic simulation on permanent magnet linear motor based on ansoft maxwell 3D[J]. Journal of Nanyang Institute Technology, 2015, 7(6) : 27–29 [Article] (in Chinese) [Google Scholar]
- Di Jun, Fan Yu, Liu Yajing. Electromagnetic analysis and parameter estimation for the linear induction motor based on equivalent secondary[J]. Transactions of China Electrotechnical Society, 2017, 32(11) : 145–154 [Article] (in Chinese) [Google Scholar]
All Tables
All Figures
![]() |
图1 直线感应电机等效电路 |
| In the text | |
![]() |
图2 并联支路合并的等效电路 |
| In the text | |
![]() |
图3 二维仿真模型 |
| In the text | |
![]() |
图4 忽略与近似等效系数Cr(s)影响的二维电磁推力结果 |
| In the text | |
![]() |
图5 忽略与近似等效系数Cr(s)影响的次级板涡流分布 |
| In the text | |
![]() |
图6 次级板涡流横向分量沿电机纵向分布 |
| In the text | |
![]() |
图7 忽略与近似等效横向端部效应的气隙磁密 |
| In the text | |
![]() |
图8 中间一对极下气隙磁密分布 |
| In the text | |
![]() |
图9 中间一对极下气隙磁密FFT分解 |
| In the text | |
![]() |
图10 三维仿真模型图 |
| In the text | |
![]() |
图11 三维仿真电磁推力曲线 |
| In the text | |
![]() |
图12 次级涡流分布图 |
| In the text | |
![]() |
图13 次级板电密横向分量沿电机纵向分布 |
| In the text | |
![]() |
图14 圆弧型实验平台图 |
| In the text | |
Current usage metrics show cumulative count of Article Views (full-text article views including HTML views, PDF and ePub downloads, according to the available data) and Abstracts Views on Vision4Press platform.
Data correspond to usage on the plateform after 2015. The current usage metrics is available 48-96 hours after online publication and is updated daily on week days.
Initial download of the metrics may take a while.














