| Issue |
JNWPU
Volume 39, Number 5, October 2021
|
|
|---|---|---|
| Page(s) | 1130 - 1138 | |
| DOI | https://doi.org/10.1051/jnwpu/20213951130 | |
| Published online | 14 December 2021 | |
DOA estimation method of spatial spectrum product for distributed coprime linear array
分布式互质线阵的空间谱乘积DOA估计方法
School of Information Engineering and Automation, Kunming University of Science and Technology, Kunming 650504, China
Received:
12
January
2021
Abstract
Coprime array isAsparse array composed of two uniform linear arrays with different spacing. When the two subarrays are inAnon-coherent distributed configuration, the direction of arrival (DOA) method based on the covariance analysis of the complete coprime array is no longer effective. According to the essential attribute that the distance between the elements of two subarrays can eliminate the angle ambiguity, based on the mathematical derivation, Aspatial spectral product DOA estimation method for incoherent distributed coprime arrays is proposed. Firstly, the spatial spectrum of each subarray is calculated by using the snapshot data of each subarray, and then the DOA estimation is realized by multiplying the spatial spectrum of each subarray. The simulation results show that the estimation accuracy and angle resolution of the present method are better than those of the traditional ambiguity resolution methods, and the estimation performance is good in the mutual coupling and low SNR environment, with the good adaptability and stability. Moreover, by using the flexibility of distributed array, the matching error is effectively solved through the rotation angle.
摘要
互质阵是由2个不同间距的均匀线阵组成的稀疏阵,当两子阵处于非相参分布式配置时,基于完整互质阵协方差分析的众多波达方向(direction of arrival,DOA)估计方法不再有效。根据两子阵阵元间距互质可消除角度模糊的本质属性,在数学推导基础上,提出一种适用于非相参分布式互质阵的空间谱乘积DOA估计方法,利用各子阵快拍数据分别计算子阵空间谱,将子阵空间谱进行乘积实现DOA估计。仿真结果表明,所提方法估计精度及角度分辨率均优于传统解模糊方法,在互耦及低信噪比环境下估计性能良好,具有很好的适应性和稳定性。且利用分布式阵列的机动灵活性,通过转角有效解决了匹配错误问题。
Key words: coprime array / maximum likelihood algorithm / direction of arrival estimation / mutual coupling / ambiguity resolution
关键字 : 互质阵 / 最大似然算法 / 波达方向估计 / 互耦 / 解模糊
© 2021 Journal of Northwestern Polytechnical University. All rights reserved.
This is an Open Access article distributed under the terms of the Creative Commons Attribution License (http://creativecommons.org/licenses/by/4.0), which permits unrestricted use, distribution, and reproduction in any medium, provided the original work is properly cited.
波达方向(direction of arrival, DOA)估计是阵列信号处理领域的一个研究热点,利用天线阵列进行DOA估计在雷达、声呐、军事侦察等领域引起了广泛关注1-2。经典的DOA估计方法,如多重信号分类(multiple signal classification, MUSIC)算法3,旋转不变子空间(estimation of signal parameters via rotational invariance techniques, ESPRIT)算法4等都针对均匀线阵(uniform linear array, ULA)所提出,为避免角度模糊,阵元间距要求小于等于载波半波长。远场环境下,阵列天线的DOA估计分辨率一般正比于其有效孔径,对于固定数目的阵元,增大阵元间距可以获得更高的测向精度和分辨率5。天线阵列实际工作时,阵元间的相互电磁作用会引起互耦以致模型失配,影响DOA估计精度6。稀疏阵采用不等间隔方式配置阵元,并使阵元间距大于载波半波长,相比传统ULA,稀疏阵能够有效扩展阵列孔径、降低阵列互耦。典型的稀疏阵包括最小冗余阵(minimum redundancy arrays, MRAs)7、最小空洞阵(minimum hole arrays, MHAs)8、嵌套阵(nested arrays, NAs)9等。互质阵(coprime arrays, CAs)10是近年来提出的一种稀疏阵,互质阵由2个阵元间距大于半波长的ULA子阵在同一阵列线上叠加组成,互质阵配置规则简明,性能良好因而受到众多研究者的重视11-12。
在互质阵阵列结构相关研究中,文献[11]扩展其中一个子阵的阵元数从而获得更大的虚拟阵元连续值,文献[12]将互质结构推广至压缩(compressed)和分置(displaced)2种方式,进一步提高了阵列的自由度。在这类结构改进中,两子阵均被要求处于同一条阵列线并且对子阵相互位置也有明确规定,因此都属于整体阵列结构。然而整体互质阵列中较短的阵元间距依然较多,因此互耦性能仍然不够理想,且对于车辆、舰船、飞机等空间狭小同时相互位置不确定的移动平台,以及如山地、水底等地形限制较大的区域,更适于采用机动灵活的分布式阵列13。因此,探索互质阵的分布式结构及其DOA估计算法成为一个有意义的课题。
针对互质阵DOA估计的算法研究主要分为2类:一类利用阵元差集构造大于物理阵元数的虚拟阵元连续值及相异值来提升DOA估计的自由度14,这类方法可称为互质阵的虚拟阵元算法;另一类算法是在2个稀疏子阵上分别进行DOA估计再融合以消除角度模糊,这类方法可统称为互质阵解模糊算法15-18。虚拟阵元方法增加了可估计信源数,但需要整体阵列的协方差数据,由于分布式阵列通常处于非相参工作模式而无法获得全局快拍数据,因此虚拟阵元类算法和分布式结构常难以匹配。文献[15]在两子阵上分别用MUSIC算法求出空间谱,再搜索得到共同峰值,根据互质阵解模糊属性可以获得唯一信源方向,但该方法的搜索步骤造成了较高的计算复杂度。文献[16]通过收缩搜索区间降低了复杂度,然而当信源数多于一个时上述2个方法都可能产生配对错误。文献[17-18]分别使用ESPRIT和Root-MUSIC方法在子阵上进行DOA估计以避免二次峰值搜索,且均使用两子阵的互相关数据对不同方向信源进行比对来消除配对错误,改善DOA估计性能,但是互相关数据的获得意味着阵列必须处于全相参模式,这与分布式结构往往不可兼得。
尽管众多关于互质阵的研究都在将其视为整体阵列的视角下展开,实际上,当两子阵平行时,互质阵解模糊属性的具备仅由两子阵间距为载波半波长互质整数倍决定,这一点蕴含了将整体互质阵改造为分布式互质阵的可能。以此为基础,本文给出了互质线阵处于分布式结构配置时,在非相参工作模式下仍然可以消除DOA估计角度模糊的理论依据。显然,搜索两子阵空间谱共同峰值与在整体阵列完整空间谱中查找峰值都是为了获得真实的信源方向。针对上述分布式互质阵,阵列最大似然函数可由两子阵最大似然函数相乘获得,此时,阵列最大似然空间谱正是两子阵最大似然空间谱的乘积。利用空间谱乘积实现互质阵DOA估计不仅能避免复杂的峰值搜索,当出现配对错误问题17-18时,由于模糊角分布的非线性,分布式互质阵仅需以小角度转动其中一个子阵,经简单线性映射后再进行空间谱乘积即可完全消除。本文方法突破了互质阵整体结构的常规,并利用空间谱乘积替代峰值搜索及配对,为分布式稀疏阵列的配置和解算提供了借鉴。
1 系统模型
1.1 互质线阵
文献[10]提出的互质阵是1对间距互质的均匀线阵组成的非均匀阵列,系统模型如图 1所示。考虑2个均匀线阵分别有M和N个阵元, 其中M和N是2个互质的正整数。阵元间距分别为dm=Nλ/2和dn=Mλ/2, λ为入射信号波长。
设空间中有K个互不相关的窄带远场信号撞击到图 1所示的互质阵列上, 信号源为S (t)=[S1(t), S2(t), …, SK(t)]T, 信号入射角度为θ =[θ1, θ2, .., θK]T, T为矩阵的转置。则互质阵列接收信号为
(1)
式中: A (θ)=[a(θ1), a(θ2), …, a(θK))]为导向矢量矩阵; n (t)为噪声矢量。接收到的数据经过L次快速取样, 可以表示为X =[x(t1), x(t2), …, x(tL)]。
假设信号源不相关, n (t)为时间上和空间上均独立的高斯白噪声, 方差为σ2, 则阵列输出信号的协方差矩阵为
(2)
式中: H表示矩阵的共轭转置; RS为信号协方差矩阵; I为单位矩阵。
互质阵列由于2个子阵阵元间距均大于半波长, DOA估计时会产生角度模糊15。若θ为真实值, θ′ 1为子阵1的模糊值, θ′ 2为子阵2的模糊值, 则有如下相位差关系
(3)
(4)
式中: h和l为整数。若θ′ 1=θ′ 2, 合并(3)~(4)式得
(5)
根据一维入射角范围(-90°, 90°)易知|h| < N, |l| < M, 且已知M与N互质, 则(5)式无法平衡, 反推出θ′ 1=θ′ 2的假设不成立, 可知两子阵不存在相同的模糊值。值得注意的是, 上述分析过程在两子阵阵列线平行的隐含前提下, 仅使用了两子阵间距互质这一约束条件, 而对各子阵的阵元个数及彼此位置关系并无具体要求。因此, 分布式放置2个间距互质的均匀线阵, 即使处于非相参工作方式同样能够消除角度模糊实现DOA的准确估计。
![]() |
图1 互质阵系统模型 |
1.2 分布式互质线阵
本节给出分布式互质线阵的系统模型, 如图 2所示。子阵列1和子阵列2的阵元间距分别为dm=Nλ/2和dn=Mλ/2, M和N为互质整数。在远场环境中, 仅需两子阵平行, 对两子阵距离及各自阵元数无具体要求。
对于图 2所示的分布式阵列, 由于采用非相参处理的方式, 无法给出通用的导向矢量, 分别对每个子阵进行处理, 则两子阵列接收信号分别表示为
(6)
(7)
式中: n1(t)和n2(t)为噪声矢量; A1(θ)和A2(θ)为2个子阵的导向矢量矩阵。接收到的数据经过L次快速取样, 表示为X1=[x1(t1), x1(t2), …, x1(tL)]和X2=[x2(t1), x2(t2), …, x2(tL)]。
假设信号源不相关, n1(t)和n2(t)为高斯白噪声, 方差分别为σ12和σ22, 则2个阵列输出信号的协方差矩阵为
(8)
(9)
由(8)~(9)式刻画的协方差数据不包含两子阵的互协方差, 当分布式互质线阵处于非相参工作模式时, 只能依靠R1和R2进行DOA估计。
![]() |
图2 分布式互质阵列系统模型 |
1.3 阵列互耦
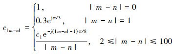
等式(1)假定传感器之间不会相互干扰。实际上, 任何传感器输出都会受到其相邻元件的影响5, 这称为互耦。考虑相互耦合时, 互质阵阵列接收信号表示为
(10)
与(1)式不同的是增加了C矩阵, C是可以从电磁学中获得的互耦合矩阵, 它捕获了天线阵列中不同阵元之间的互耦。
互耦矩阵C可以用ULA配置中带状对称的Toeplitz矩阵来近似5, C仅表现为传感器间距的函数, 则可以将C写为
(11)
式中: m和n为非负整数, 表示除以半波长后的阵元相对位置。根据文献[5], 耦合系数c|m-n|赋值为
(12)
不难看出, 耦合系数的大小与阵列传感器间距成反比, 间距较大时的互耦效应较小。按照(12)式的规则, 当间距大于100倍半波长时, 两阵元间耦合效应可以忽略不计。
对于图 2所示的分布式阵列, 存在互耦时, 阵列接收信号分别表示为
(13)
(14)
式中: C1和C2分别表示2个子阵的互耦矩阵。
作为稀疏阵的一种, 互质阵相比ULA增加了阵元间距因此降低了阵列耦合, 但根据互质阵能够连续取值的特点可以推知其中仍然存在间距为1, 2, 3倍半波长这类较小的阵元组合。分布式互质阵2个子阵可以在远场环境中拉开足够距离, 而各子阵本身阵元间距都较大, 因此分布式互质阵受互耦效应的影响远小于互质阵。
2 空间谱乘积DOA估计方法
最大似然算法是一种常用的高分辨率空间谱估计方法, 在参数先验信息未知的情况下, 当DOA估计所需信源数K已知时, 最大似然算法是空间谱估计算法中DOA估计精度最高的一种。在本节中, 将以互质阵为例对最大似然算法进行介绍, 并进一步引出分布式互质阵列似然乘积算法。
2.1 最大似然DOA估计方法
存在互耦时, 互质阵输出信号协方差矩阵为
(15)
似然函数是多元复高斯分布对应的概率密度函数, 根据最大似然准则, 可以计算出未知变量的推导值。单次快拍下观测数据的似然函数表示为
(16)
接收到的数据经过L次快速取样得到X(t), 观测数据的联合概率密度函数为
(17)
式中: det{·}表示矩阵的行列式; R为阵列观测数据的协方差矩阵。对(17)式两边取负对数, 可得
(18)
对于最大似然算法, f是一个关于变量θ的函数, 忽略常数项并用L进行归一化, 可得
(19)
在(19)式中, fML是一个关于信源方向θ, 阵元噪声σ2和信号协方差RS3个未知参数的参变量。最大似然估计是求出1组使fML最大也就是使(19)式最小的参数。其中,
是阵元快拍数据的协方差矩阵, 可由(20)式求出
(20)
同时, 由(19)式可得未知参数σ2, RS的最大似然估计19
(21)
(22)
式中: A+(θ)为矩阵A(θ)伪逆。PA⊥为正交投影矩阵, 表示为PA⊥=I-A(θ)(AH(θ)A(θ))-1AH(θ)。
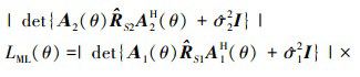
将(21)~(22)式代入(19)式再取指数及绝对值得到信源方向θ的最大似然函数。
(23)
当自变量θ在(-90°, 90°)范围内取值时, (23)式对应的函数值构成了最大似然空间谱。最大似然算法进行DOA估计就是寻找变量θ使似然空间谱取极大值
(24)
2.2 最大似然空间谱乘积DOA估计方法
分布式互质阵列结构如图 2所示, 子阵1和子阵2在第t次观测数据分别为x1(t)和x2(t)。存在互耦时, 2个子阵的输出协方差矩阵分别为
(25)
(26)
当快速采样L次时, 子阵列1和子阵列2的概率密度函数分别为
(27)
(28)
经过L次快拍采样后, 观测数据的联合概率密度函数为
(29)
当两子阵处于非相参方式, 不进行快拍数据融合, 两子阵独立工作, 且噪声相互独立, 联合概率密度函数等于2个边缘概率密度函数f1和f2的乘积。
(30)
fML是一个关于信源方向θ, 阵元噪声σ12和σ22, 信号协方差RS1和RS2等5个未知参数的参变量。最大似然估计也就是求出一组使fML最大的参数。对(30)式两边取负对数, 去除常数项, 可得
(31)
式中
(32)
(33)
和
是输出信号的协方差矩阵, 分别为
(34)
(35)
同时, 由(32)~(33)式求解未知参数σ12和σ22, RS1和R S2的最大似然估计分别为
(36)
(37)
(38)
(39)
式中: A1+(θ)和A2+(θ)为矩阵A1(θ)和A2(θ)的伪逆, PA1⊥和PA2⊥为正交投影矩阵。
(40)
(41)
将(36)至(37)式代入(31)式再取指数及绝对值得到信源方向θ的最大似然函数
(42)
不难看出, 分布式阵列的最大似然空间谱LML(θ)是两子阵最大似然空间谱的乘积
(43)
最大似然空间谱在目标方向处会出现函数极值, 对2个间距大于半波长的子阵, 最大似然空间谱除了呈现真实峰外因为模糊角的存在还含有部分伪峰。分布式互质阵2个子阵对应的似然函数空间谱经过乘积后, 在真实方向处的峰值经过乘积幅度会得到强化, 而在模糊角对应的伪峰处幅度会受到抑制而变小, 因此最大似然空间谱乘积能够不经过峰值搜索而准确估计出真实目标方向。
2.3 MUSIC空间谱乘积DOA估计方法
MUSIC算法作为一种经典的多重信号分类DOA估计方法, 其空间谱函数虽然并没有明确的概率意义, 但同样反映了信源在(-90°, 90°)范围内来自各个角度的可能性, 谱函数值高处信源出现的可能性较大, 反之较小, 具有类似然函数的性质。将上节思想与MUSIC方法结合可以得到适用于分布式互质阵的MUSIC空间谱乘积DOA估计方法。分别求出分布式互质阵两子阵的MUSIC空间谱为
(44)
(45)
式中:
和
是小特征值对应特征矢量张成的子空间, 即噪声子空间。
根据前述分析, 可以将两子阵对应空间谱进行乘积消除模糊, 实现准确DOA估计。
(46)
3 仿真实验和结果分析
本节通过仿真实验对所提分布式互质线阵空间谱乘积方法的均方根误差(root mean squared error, RMSE)估计性能、角度分辨率、算法适应性以及解配对错误能力进行验证。
实验中所用角度估计的均方根误差ERMS计算方法为
(47)
式中: K表示信源个数, Q表示蒙特卡罗模拟总次数,
表示第Q轮蒙特卡罗模拟中第K个信号源的DOA估计。
为定量分析分布式互质阵、互质阵、均匀线阵的互耦效应, 定义耦合泄漏Le为5
(48)
式中: diag(·)表示矩阵的对角线元素; ‖ · ‖F表示矩阵的Frobenius范数, 互耦矩阵C按(12)式赋值。显然, 0≤Le≤1。Le越小, 则互耦合越小。
为保证对比方法总阵元数相同, 设定分布式互质阵M=6, N=5, 互质阵和均匀线阵阵元数均为10。按(47)式计算3种阵列对应耦合泄露Le值, 如表 1所示。
从表 1第三列可以看出, 均匀线阵由于阵元间距过小, 耦合效应最严重。分布式互质阵的两子阵Le值之和仍小于互质阵Le值, 这表明分布式互质阵受互耦效应影响最小, 这一点也将在实验1,2的结果中得到反映。
根据(1)式刻画阵列信号模型, 定义阵列输出信噪比为
(49)
仿真实验1 算法的均方根误差性能
考虑2个入射角分别为30°和60°的远场信源,实验方法除本文提出的MUSIC乘积方法和似然乘积算法外还包括均匀线阵方法、互质阵10MUSIC方法、解模糊方法15。设定分布式互质阵M=6, N=5,互质阵和均匀线阵阵元数均为10。实验在互耦条件下进行。对于每个模拟场景,进行300轮蒙特卡罗模拟。仿真实验结果如图 3和图 4所示。
图 3显示了在快拍数为100时,不同信噪比情况下各种方法的均方根误差性能。可以看出,在整个信噪比范围内均匀线阵性能整体较差,当信噪在-10 dB时,其余4种方法性能接近。然而,当信噪比大于-8 dB时,似然乘积方法表现出明显优于另外4种方法的性能,随着信噪比增加,似然乘积方法性能持续提升,当信噪比大于5 dB时,2种空间谱乘积方法的性能差距逐渐缩小。可看出2种乘积算法在信噪比-10 dB以上情况均可适用,似然乘积算法在-5 dB至10 dB范围内相对优势明显;MUSIC乘积算法在信噪比3 dB以上情况较其余算法具有相对优势。
图 4显示了在信噪比为5 dB时,不同快拍数情况下各种方法的均方根误差性能,可以看出,空间谱乘积方法的性能整体较好,似然乘积算法在整个快拍参数范围内明显优于其他方法,是5种方法中最好的一种。MUSIC乘积方法相对于互质阵MUSIC方法尽管缺少了快拍数据的互相关信息,但如表 1所示,由于耦合效应的降低,在信噪比较高时,其性能依然优于后者。
仿真实验2 算法的空间分辨率性能
图 5和图 6显示了互耦条件下,低信噪比、小快拍数时,空间中不同间距两信源DOA估计的分辨率性能,其中信噪比为-5 dB,快拍数为50。图 5信源入射角度为0°和40°,图 6信源角度为0°和5°。对比方法及阵元数设置与实验1相同。
由图 5可以看出,当入射信源的角度间隔较大时,5种方法都能够估计出目标信源的角度值,但似然乘积算法分辨率明显更好,目标方向空间谱幅值高且尖锐。相比于似然乘积算法,另外4种方法的空间谱区分度较低,且解模糊方法伪峰较高易造成误判。
图 6信源入射角度间隔缩小至5°,从图中可以看出,均匀线阵、解模糊方法和MUSIC乘积已经无法准确分辨出目标角度,互质阵MUSIC方法虽能正确估计目标角度,但谱峰很低,而似然乘积算法不仅能准确估计目标角度,目标方向处空间谱幅值依然高且尖锐。仿真结果表明本文提出的似然乘积算法有更高的目标估计分辨率性能,在低信噪比、小快拍数时,依然能够准确估计出信号源的来波方向。
仿真实验3 算法的适应性与稳定性
图 7和图 8为不同阵元数、信噪比、快拍情况下,似然乘积算法均方根误差性能。信源入射角度分别为30°和60°,进行300轮蒙特卡罗模拟。
图 7为似然乘积算法的快拍数与RMSE性能的关系,其中快拍数分别为L=100, 200, 300,可以看出随快拍数的增加角度估计性能也在变好。这是由于采样数据随着快拍数的增加而增加,使得到的协方差矩阵也更加精确。
图 8显示快拍数为100时,不同阵元间距下似然乘积算法的角度估计性能,子阵列1的阵元间距分别为3倍、4倍、7倍半波长,即M=3, 4, 7,为使2个阵列阵元间距互质,子阵列2的阵元间距为5倍半波长,N=5。从图 8可以看出,随着阵元数目的增加,似然乘积算法的角度估计性能明显提高。仿真结果显示空间谱乘积算法针对不同阵列具有较好的适应性和稳定性。
仿真实验4 算法的解匹配错误能力
对互质阵的解模糊类算法,当有多于1个待估信源时,两子阵空间谱中分别有不同信号源产生的伪峰,其横坐标可能会重合,从而产生匹配错误,估计出多于真实个数的信源。为分析匹配错误问题,参照文献[18]的场景,互质阵两子阵阵元数M=7,N=5时,2个信号源分别来自10.0°和39.1°。
从图 9可以看出,除2个真实的角度10.0°和39.1°出现正确匹配外,在-75.6°和-13.2°处会存在匹配错误,如不能分辨正确匹配和匹配错误将导致无法获得准确的DOA估计。
消除匹配错误在以往的研究中常涉及互相关信息17,文献[18]中提出一种等效模型,性能较好,但仍是通过互相关信息来解决匹配错误问题。利用图 2所示分布式互质阵机动灵活的特性,不需额外计算互相关信息,可以通过将其中一个子阵进行转角来消除匹配错误。
具体来说,可固定子阵2不变,子阵1转角3°分别得到空间谱,再将阵1空间谱线性移回与子阵2空间谱进行空间配准。按照前述场景,假定信噪比5 dB进行仿真实验。
实验结果如图 10所示,由于伪峰分布的非线性,子阵1转角再将横坐标线性平移获得的空间谱在-75.6°和-13.2°处将不再出现伪峰,只有真实目标方向10°和39.1°处与子阵2空间谱具有共同峰值,因此,两子阵空间谱相乘后也将不再产生错误配对,能够实现正确的DOA估计。
图 11显示了图 10中2个空间谱相乘的效果,可见,分布式互质阵中一个子阵转角后配准再进行空间谱乘积可以有效避免匹配错误问题,以较高精度得到目标估计角度。
耦合泄露
![]() |
图3 不同信噪比情况下波达方向估计RMSE性能对比 |
![]() |
图4 不同快拍数情况下波达方向估计RMSE性能对比 |
![]() |
图5 0°和40°空间谱 |
![]() |
图6 0°和5°空间谱 |
![]() |
图7 不同快拍数下似然乘积算法RMSE性能 |
![]() |
图8 不同阵元数下似然乘积算法RMSE性能 |
![]() |
图9 匹配错误示意图 |
![]() |
图10 转角后配准两子阵MUSIC空间谱 |
![]() |
图11 转角后配准MUSIC乘积空间谱 |
4 结论
本文分析了在非相参方式下分布式互质线阵的可行性,并且基于最大似然算法,给出了分布式互质阵列空间谱乘积DOA估计方法。非相参方式的分布式阵列减少了快拍数据的融合,对软硬件要求较低,其配置更加方便灵活。分布式互质阵相比原型互质阵及均匀线阵缺少了互相关信息,但在实际应用中,分布式降低了阵列耦合,因而在很大程度上补偿了互相关信息对DOA估计性能的贡献。空间谱乘积方法流程简洁明了,便于工程应用,通过大量的仿真实验验证了空间谱乘积算法在不同场景下的有效性及优势。将分布式互质阵其中一子阵转动较小角度,再经过简单线性映射后进行空间谱乘积可消除多信源估计的匹配错误,此时,空间信息起到了与统计互相关信息相同的作用。尽管两子阵间夹角与角度模糊之间的关系还有待继续探索,但本文所做工作应有助于该领域的进一步研究。
References
- Zhu Shaohao, Yang Yixin, Wang Yong. Direction-of-arrival estimation using eigenvectors of covariance matrix of circular array[J]. Journal of Unmanned Undersea Systems, 2019, 27(4) : 379–385 [Article] (in Chinese) [Google Scholar]
- Fan Kuan, Sun Chao, Liu Xionghou, et al. MIMO sonar DOA estimation with joint matched-filtering based on transmission diversity smoothing[J]. Journal of Northwestern Polytechnical University, 2020, 38(1) : 6–13 [Article] (in Chinese) [CrossRef] [EDP Sciences] [Google Scholar]
- Schmidt R O. Multiple emitter location and signal parameter estimation[J]. IEEE Trans on Antennas and Propagation, 1986, 34(3) : 276–280. [Article] [NASA ADS] [CrossRef] [Google Scholar]
- Roy R, Kailath T. ESPRIT-estimation of signal parameters via rotational invariance techniques[J]. IEEE Trans on Acoustics, 1989, 37(7) : 984–995. [Article] [Google Scholar]
- Liu C L, Vaidyanathan P P. Super nested arrays: linear sparse arrays with reduced mutual coupling- part I: fundamentals[J]. IEEE Trans on Signal Processing, 2016, 64(15) : 3997–4012. [Article] [NASA ADS] [CrossRef] [Google Scholar]
- Elbir A M. Direction finding in the presence of direction-dependent mutual coupling[J]. IEEE Antennas and Wireless Propagation Letters, 2017, 16: 1541–1544. [Article] [NASA ADS] [CrossRef] [Google Scholar]
- Moffet A T. Minimum-redundancy linear arrays[J]. IEEE Trans on Antennas and Propagation, 1968, 16(2) : 172–175. [Article] [NASA ADS] [CrossRef] [Google Scholar]
- Vertatschitsch E, Haykin S. Nonredundant arrays[J]. Proceedings of the IEEE, 1986, 74(1) : 217–217 [Google Scholar]
- Pal P, Vaidyanathan P P. Nested arrays: a novel approach to array processing with enhanced degrees of freedom[J]. IEEE Trans on Signal Processing, 2010, 58(8) : 4167–4181. [Article] [NASA ADS] [CrossRef] [Google Scholar]
- Vaidyanathan P P, Pal P. Sparse sensing with coprime samplers and arrays[J]. IEEE Trans on Signal Processing, 2011, 59(2) : 573–586. [Article] [NASA ADS] [CrossRef] [Google Scholar]
- Pal P, Vaidyanathan P P. Coprime sampling and the music algorithm[C]//Digital Signal Processing and Signal Processing Education Meeting, Sedona, AZ, 2011: 289–294 [Google Scholar]
- Qin S, Zhang Y D, Amin M G. Generalized coprime array configurations for direction-of-arrival estimation[J]. IEEE Trans on Signal Processing, 2015, 63(6) : 1377–1390. [Article] [NASA ADS] [CrossRef] [Google Scholar]
- Carrer L, Gerekos C, Bovolo F, et al. Distributed radar sounder: a novel concept for subsurface investigations using sensors in formation flight[J]. IEEE Trans on Geoscience and Remote Sensing, 2019, 57(12) : 9791–9809. [Article] [NASA ADS] [CrossRef] [Google Scholar]
- Liu C L, Vaidyanathan P P. Remarks on the spatial smoothing step in coarray music[J]. IEEE Signal Processing Letters, 2015, 22(9) : 1438–1442. [Article] [NASA ADS] [CrossRef] [Google Scholar]
- Zhou C W, Shi Z G, Gu Y J, et al. DECOM: DOA estimation with combined music for coprime array[C]//International Conference on Wireless Communications and Signal Processing, Hangzhou, China, 2013: 1–5 [Google Scholar]
- Sun F G, Lan P, Gao B. Partial spectral search-based DOA estimation method for co-prime linear arrays[J]. Electronics Letters, 2015, 51(24) : 2053–2055. [Article] [CrossRef] [Google Scholar]
- Zhang D, Zhang Y S, Zheng G M, et al. Improved DOA estimation algorithm for co-prime linear arrays using root-music algorithm[J]. Electronics Letters, 2017, 53(18) : 1277–1279. [Article] [NASA ADS] [CrossRef] [Google Scholar]
- Yang X, Wang Y, Charge P, et al. An efficient DOA estimation method for co-prime linear arrays[J]. IEEE Access, 2019, 7: 90874–90881. [Article] [CrossRef] [Google Scholar]
- Bresler Y. Maximum likelihood estimation of Alinearly structured covariance with application to antenna array processing[C]//Fourth Annual ASSP Workshop on Spectrum Estimation and Modeling, Minneapolis, MN, USA, 1988: 172–175 [Google Scholar]
All Tables
All Figures
![]() |
图1 互质阵系统模型 |
| In the text | |
![]() |
图2 分布式互质阵列系统模型 |
| In the text | |
![]() |
图3 不同信噪比情况下波达方向估计RMSE性能对比 |
| In the text | |
![]() |
图4 不同快拍数情况下波达方向估计RMSE性能对比 |
| In the text | |
![]() |
图5 0°和40°空间谱 |
| In the text | |
![]() |
图6 0°和5°空间谱 |
| In the text | |
![]() |
图7 不同快拍数下似然乘积算法RMSE性能 |
| In the text | |
![]() |
图8 不同阵元数下似然乘积算法RMSE性能 |
| In the text | |
![]() |
图9 匹配错误示意图 |
| In the text | |
![]() |
图10 转角后配准两子阵MUSIC空间谱 |
| In the text | |
![]() |
图11 转角后配准MUSIC乘积空间谱 |
| In the text | |
Current usage metrics show cumulative count of Article Views (full-text article views including HTML views, PDF and ePub downloads, according to the available data) and Abstracts Views on Vision4Press platform.
Data correspond to usage on the plateform after 2015. The current usage metrics is available 48-96 hours after online publication and is updated daily on week days.
Initial download of the metrics may take a while.











