| Issue |
JNWPU
Volume 39, Number 6, December 2021
|
|
|---|---|---|
| Page(s) | 1395 - 1403 | |
| DOI | https://doi.org/10.1051/jnwpu/20213961395 | |
| Published online | 21 March 2022 | |
Phase transformation mechanical behavior of functionally graded shape memory alloy beams
功能梯度形状记忆合金梁的相变力学行为
Received:
23
March
2021
Abstract
Based on the bending deformation theory of the beam, combined with stress-strain relationship and the critical stress-temperature relationship of the shape memory alloy materials, the nonlinear governing equation of the functionally graded shape memory alloy statically indeterminate beam was obtained, and its mechanical behavior under the thermal-mechanical load was investigated. The phase transformation process of the beam was analyzed by a step-by-step method, and the influence of mechanical load, the tension-compression asymmetry coefficient, power exponent and temperature on the displacement of the neutral axis, curvature and phase boundary were obtained. The results draw that as the increase of the load, the displacement of neutral axis and the curvature become larger and the phase boundary is farther away from the edge of the section; the more the temperature and the power exponent are, the smaller the displacement of neutral axis and curvature will be, and the phase boundary become closer to the edge of the section; the tension-compression asymmetry coefficient has a greater influence on the phase boundary of the compressive side, but it has a weak influence on the phase boundary of the tensile side.
摘要
基于梁的弯曲变形理论,结合形状记忆合金材料的应力-应变关系和临界应力-温度关系,得到了功能梯度形状记忆合金超静定梁的非线性控制方程,研究了梁在热-机械载荷作用下的力学行为。采用分阶段分步骤的方法分析了梁的相变过程,得到了机械载荷、拉压不对称系数、幂指数和温度对中性轴位移、曲率和相边界的影响。结果表明:载荷越大,中性轴位移和曲率越大,相边界越远离截面边缘;温度和幂指数越大,中性轴位移和曲率越小,相边界越靠近截面边缘;拉压不对称系数对受压侧相边界影响较大,而对受拉侧相边界影响较小。
Key words: functionally graded shape memory alloy / statically indeterminate / phase transformation / the tension-compression asymmetry coefficient
关键字 : 功能梯度形状记忆合金 / 超静定 / 相变 / 拉压不对称系数
© 2021 Journal of Northwestern Polytechnical University. All rights reserved.
This is an Open Access article distributed under the terms of the Creative Commons Attribution License (https://creativecommons.org/licenses/by/4.0), which permits unrestricted use, distribution, and reproduction in any medium, provided the original work is properly cited.
功能梯度形状记忆合金(functionally graded shape memory alloy, FG-SMA)是利用SMA和其他材料按照某种含量比率复合而成的新型材料, 兼具功能梯度材料和形状记忆合金材料的双重特性[1-2]。FG-SMA材料因其所复合的形状记忆合金在加载过程中会产生相变行为, 从而表现出超弹性和形状记忆效应[3]。国内外学者对FG-SMA的制备、实验及其力学特性有了全面的认识, Mahesh等[4]用原位同步辐射X光衍射方法, 研究了功能梯度Ni-Ti形状记忆合金丝的循环拉伸变形过程。Khaleghi等[5]对镀钯的Ti-Ni板进行扩散退火, 从而使富钛Ti-Ni形状记忆合金的成分按梯度分布。Bogdanski等[6]研究了Ni-Ti合金的生物相容性以及从纯镍到纯钛的功能梯度样品, 有效减少了实验资源。Cole等[7-8]采用直流磁控溅射法在富镍NiTi(Ni56Ti44)基体上沉积富钛NiTi(Ni47Ti53)薄膜, 通过控制表征成分的梯度分布,以实现对非弹性变形的恢复产生影响。Viet等[9]基于ZM模型和Timoshenko理论, 推导了FG-SMA梁加载和卸载过程中各阶段的弯矩-曲率和剪力-切应变关系的解析模型。Liu等[10]分析了FG-SMA复合材料在热-机载荷的作用下, 不同相变阶段相对应的应力分布。薛立军等[11-12]根据固体力学和已有的SMA本构关系, 建立了FG-SMA的本构模型, 并分析得到了纯弯曲条件下FG-SMA梁、板的力学特性。康泽天等[13]根据形状记忆合金本构方程建立了FG-SMA复合梁的力学模型, 研究了FG-SMA梁的变形特性。然而, 针对FG-SMA材料的力学性能研究, 大都忽略了SMA材料带来的拉压不对称性对结果的影响。
本文结合形状记忆合金的应力应变关系以及临界应力与温度的关系, 采用分阶段分步骤的方法分析了梁的相变过程。得到了FG-SMA超静定梁在变形过程中的力学特性与载荷、拉压不对称系数、SMA体积分数以及温度的关系, 结果可为FG-SMA材料的设计和优化提供一定的依据。
1 FG-SMA梁的非线性变形
1.1 几何模型
设FG-SMA超静定梁长l, 高度h, 宽度b。该梁由弹性材料H与SMA材料复合而成, SMA材料的体积分数沿截面高度方向服从f(y)=(y/h)n的函数分布, 几何模型如图1所示。其中, n表示体积分数幂指数, y0表示中性轴的初始位置。
![]() |
图1 FG-SMA梁几何模型 |
1.2 简化本构模型
基于简化后形状记忆合金材料的本构模型[14], 可得到FG-SMA在不同加载条件下SMA的应力值, 如图2所示。
其中, σts, σtf表示受拉侧相变开始和结束时临界应力, σcs, σcf表示受压侧相变开始和结束时的临界应力, εts, εtf表示受拉侧相变开始和结束时的临界应变, εcs, εcf表示受压侧相变开始和结束时的临界应变, εL为最大残余应变。
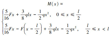
根据连续介质力学, 梁在变形过程中始终满足平截面假定, 故梁的轴向应变分布
(1)
式中:yi表示中性轴位置;ρ表示曲率半径。
SMA材料的应力可表示
(2)
弹性材料H的应力可表示
(3)
式中:ESMA表示SMA材料的弹性模量;EH表示弹性材料H的弹性模量。
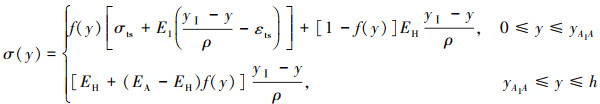
截面上的平均应力可表示
(4)
![]() |
图2 SMA简化本构模型 |
1.3 拉压不对称系数
考虑到FG-SMA超静定梁在弯曲变形过程中的非对称性, 特引入拉压不对称系数[15]
(5)
1.4 本构关系
1.4.1 初始阶段(εt < εts)
初始阶段时, 受拉侧表层应变εt小于相变开始临界应变εts, 材料全部为奥氏体相, 中性轴位移未发生偏移, 截面上应力
(6)
式中, EA表示奥氏体弹性模量。
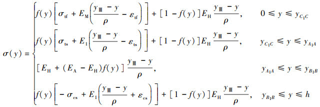
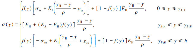
1.4.2 相变阶段(εt≥εts)
随着应变在梁截面上逐渐增大并达到一定值时, FG-SMA梁发生相变且中性轴产生偏移, 当梁横截面弯矩为正时, 截面及其微段的变形如图3所示。
其中A表示奥氏体相, M表示马氏体相, AM表示混合相。当受压侧表层应变εc未达到开始临界应变εcs, 受拉侧表层应变εt超过相变开始临界应变εts, 即|εc|≤εcs, εts≤εt≤εtf, 此时受压侧尚未发生相变, 受拉侧出现混合相, 混合相与奥氏体相形成相边界BTA, 进入Ⅰ阶相变, 如图3a)所示, 截面上应力
(7)
当εcs≤|εc|≤εcf, εts≤εt≤εtf, 受压侧表层开始发生相变并出现混合相, 受压侧混合相与奥氏体相形成相边界BCA, 进入Ⅱ阶相变, 如图3b)所示, 截面上应力为
(8)
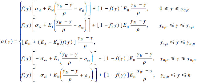
当εcs≤|εc|≤εcf, εtf≤εt, 受拉侧表层应变εt超过受拉侧相变结束临界应变εtf, 受拉侧表层出现马氏体相, 而受压侧表层仍处于混合相, 受拉侧混合相与马氏体相形成相边界BTM, 如图3c)所示, 进入Ⅲ阶相变, 截面上应力为
(9)
当εcf≤|εc|, εtf≤εt, 受压侧表层应变εc超过受压侧相变结束临界应变εcf, 受压侧表层出现马氏体相, 受压侧混合相和马氏体相形成相边界BCM, 进入Ⅳ阶相变, 如图3d)所示, 截面上应力为
(10)
式中: yi(i=Ⅰ, Ⅱ, Ⅲ, Ⅳ)表示不同阶段截面上中性轴位置; Δh=yi-y0表示中性轴位移, 相边界A1A, B1B, C1C, D1D的坐标分别为yA1A=yi-εtsρ, yB1B=yi+εcsρ, yC1C=yi-εtfρ, yD1D=yi+εcfρ。EM为马氏体相弹性模量,
为混合相弹性模量。
当梁横截面弯矩为负时, 截面及其微段的变形相变过程与弯矩为正时的情况类似, 不再赘述。
![]() |
图3 Ⅰ~Ⅳ阶截面相变及其微段变形示意图 |
1.5 临界应变模型
由形状记忆合金临界应力与温度的关系[16], 马氏体相变起始应力和结束应力与温度的表达为
(11)
式中:下标i取s与f时分别表示相变起始和结束时的临界应力;Ms表示马氏体相变起始温度;CM为常数。
将马氏体相变起始应力值σms和相变结束应力值σmf分别作为相变起始应力σts, σcs和相变结束应力σtf, σcf代入(7)~(10)式中, 即可得到温度、荷载、幂指数、拉压不对称系数与曲率、中性轴位移、相边界之间的关系。
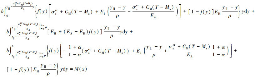
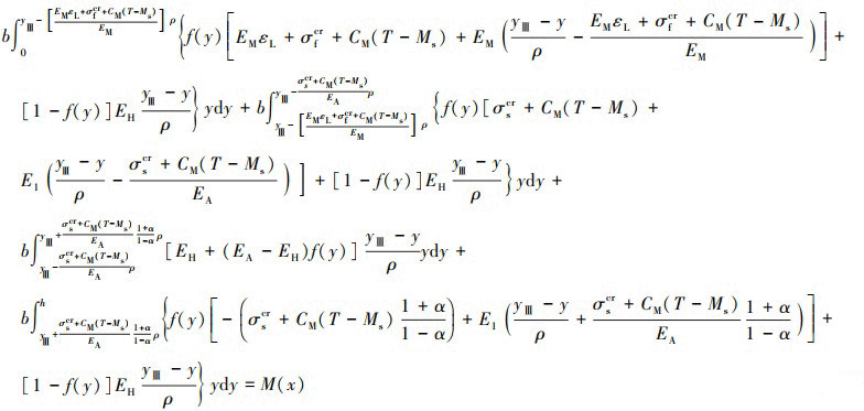
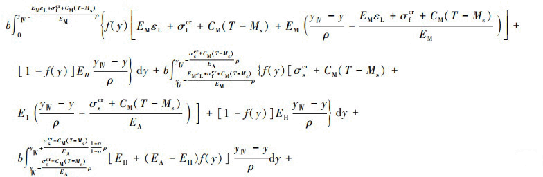
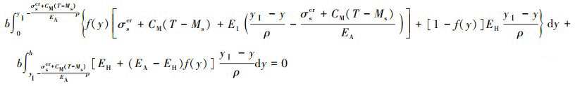
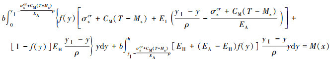
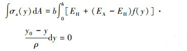
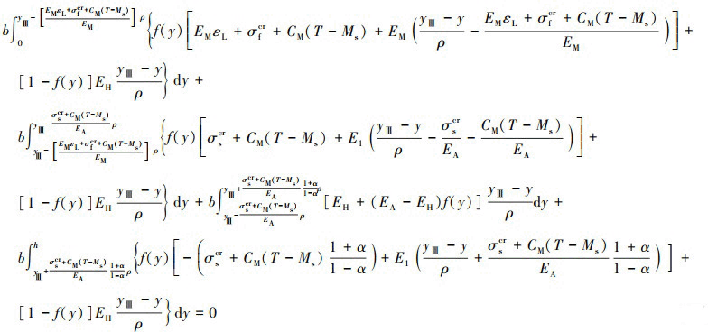
1.6 平衡方程
初始阶段, 梁的平衡方程为
(12)
(13)
Ⅰ阶相变阶段, 梁的平衡方程为
(14)
(15)
Ⅱ阶相变阶段, 梁的平衡方程为
(16)
(17)
Ⅲ阶相变阶段, 梁的平衡方程为
(18)
(19)
Ⅳ阶相变阶段, 梁的平衡方程为
(20)
(21)
式中

2 结果与讨论
设FG-SMA超静定梁长、宽、高为l=200 mm, h=20 mm, b=15 mm, 受均布载荷q以及集中载荷F作用, 模型如图1所示。选用Ni55Ti材料, 相关参数为[16]

2.1 中性轴位移
图4a)~4d)分别表示载荷、拉压不对称系数、幂指数以及温度对截面中性轴位移的影响。计算结果显示: 不论弯矩为正还是为负, 中性轴都率先向截面受压侧移动, 且中性轴位移随载荷的增大而增大; 中性轴位移随着拉压不对称系数的增大而减小, 但影响较小; 幂指数越大, 中性轴位移越小; 随着温度的升高, 中性轴位移减小, 且温度越高, 影响越小。
![]() |
图4 中性轴位移与截面位置的关系 |
2.2 曲率
图5a)~5d)分别表示载荷、拉压不对称系数、幂指数以及温度对曲率的影响。计算结果显示: 进入相变阶段以后, 在最大正负弯矩处, 即x=100 mm和x=200 mm处, 曲率分别达到最大值。曲率随着载荷的增大而增大; 曲率随着拉压不对称系数的增大而减小, 但影响较小; 曲率随着幂指数的增大而减小; 曲率随着温度的升高而减小。
![]() |
图5 曲率与截面位置的关系 |
2.3 相边界
图6a)~6d)分别表示载荷、拉压不对称系数、幂指数以及温度对相边界的影响。计算结果显示: 相边界随着载荷增大越远离截面边缘; 拉压不对称系数对受拉侧相边界影响不大, 但可以看出对受压侧相边界影响较大, 且随着拉压不对称系数的增大而越靠近截面边缘; 相边界随着幂指数的增大越靠近截面边缘, 且幂指数越小, 越易发生相变; 相边界随着温度的升高越靠近截面边缘, 且温度越高, 影响越小, 越不易发生相变。
![]() |
图6 相边界与截面位置的关系 |
3 结论
1) 在相变阶段, 中性轴位移随着载荷的增大而增大; 在分别改变幂指数和温度时, 中性轴位移随着幂指数的增大和温度的升高而减小, 但影响较小。
2) 初始阶段, 载荷、幂指数和温度对曲率影响较小, 在相变阶段, 曲率在x=100 mm和x=200 mm处分别达到最大值, 且曲率的变化量随载荷的增大而增大, 而随着幂指数的增大和温度的升高而减小。
3) 相边界随着载荷的增大越远离截面边缘, 随着幂指数的增大与温度的升高越靠近截面边缘, 越不易发生相变。
4) 对功能梯度形状记忆合金梁而言, 由于SMA的体积分数沿着截面高度呈幂指数变化, 一定程度上降低了拉压不对称性对材料力学性能的影响。
References
- Yang Jingning, Ma Liansheng. Composite mechanics[M]. Beijing : National Defense Industry Press, 2014 (in Chinese) [Google Scholar]
- Cisse C, Zaki W, Zineb T B, et al. A review of constitutive models and modeling techniques for shape memory alloys[J]. International Journal of Plasticity, 2016(76) : 244–284 [Article] [CrossRef] [Google Scholar]
- Zhou B. A macroscopic constitutive model of shape memory alloy considering plasticity[J]. Mechanics of Materials, 2012, 48(5) : 71–81 [Article] [Google Scholar]
- Mahesh K K, Fernandes F B, Gurau G. Phase transformation in Ni-Ti shape memory and superelastic alloys subjected to high pressure torsion[J]. Advanced Materials Research, 2010(123/124/125) : 1007–1010 [Article] [CrossRef] [Google Scholar]
- Khaleghi F, Tajally M, Emadoddin E, et al. Functionally graded shape memory alloy by diffusion annealing of palladium-coated NiTi plates[J]. Metals & Materials International, 2017, 23(5) : 915–922 [Article] [NASA ADS] [CrossRef] [Google Scholar]
- Bogdanski D, Kller M, Dietmar M, et al. Easy assessment of the biocompatibility of Ni-Ti alloys by in vitro cell culture experiments on a functionally graded Ni-NiTi-Ti material[J]. Biomaterials, 2002, 23(23) : 4549–4555 10.1016/S0142-9612(02)00200-4 [CrossRef] [Google Scholar]
- Cole D, Bruck H, Roytburd A. Fabrication and characterization of graded shape memory alloy thin films[C]//Proceedings of the SEM Annual Conference and Exposition on Experimental and Applied Mechanics, 2007 [Google Scholar]
- Cole D, Bruck H, Roytburd A. Nanomechanical characterisation of graded NiTi films fabricated through diffusion modification[J]. Strain, 2009, 45(3) : 232–237 10.1111/j.1475-1305.2008.00613.x [CrossRef] [Google Scholar]
- Viet N V, Zaki W, Umer R. Analytical model of functionally graded material/shape memory alloy composite cantilever beam under bending[J]. Composite Structures, 2018, 203(12) : 764–776 [Article] [Google Scholar]
- Liu B F, Peng C N, Zhang W. On behaviors of functionally graded SMAs under thermo mechanical coupling[J]. Acta Mechanica Solida Sinica, 2016, 29(1) : 46–58 10.1016/S0894-9166(16)60006-X [CrossRef] [Google Scholar]
- Xue Lijun, Dui Guansuo, Liu Bingfei. Theoretical analysis of functionally graded shape memory alloy beam subjected topure bending[J]. Journal of Mechanical Engineering, 2012, 48(22) : 40–45 [Article] (in Chinese) [Google Scholar]
- Xue Lijun. Studies on the thermal-mechanical properties of functionally graded shape memory alloy beam[D]. Beijing: Beijing Jiaotong University, 2014 (in Chinese) [Google Scholar]
- Kang Zetian, Zhou Bo, Xue Shifeng. Mechanical behaviors of functionally graded shape memory alloy composite beam[J]. Acta Materiae Compositae Sinica, 2019, 36(8) : 1901–1910 [Article] (in Chinese) [Google Scholar]
- Cui Shitang, Jiang Xiquan, Yan Jun. Theoretical analysis of shape memory alloy beam subjected pure bending[J]. Chinese Journal of Applied Mechanics, 2016, 33(1) : 43–49 [Article] (in Chinese) [Google Scholar]
- Reedlunn B, Churchill C B, Nelson E E, et al. Tension compression, and bending of superelastic shape memory alloy tubes[J]. Journal of the Mechanics and Physics of Solids, 2014, 63 : 506–537 10.1016/j.jmps.2012.12.012 [NASA ADS] [CrossRef] [Google Scholar]
- Brinson L C. One-dimensional constitutive behavior of shape memory alloys: thermo mechanical derivation with non-constant material functions and redefined martensite internal variable[J]. Journal of Intelligent Material Systems and Structure, 1993, 4(2) : 229–242 10.1177/1045389X9300400213 [CrossRef] [Google Scholar]
All Figures
![]() |
图1 FG-SMA梁几何模型 |
| In the text | |
![]() |
图2 SMA简化本构模型 |
| In the text | |
![]() |
图3 Ⅰ~Ⅳ阶截面相变及其微段变形示意图 |
| In the text | |
![]() |
图4 中性轴位移与截面位置的关系 |
| In the text | |
![]() |
图5 曲率与截面位置的关系 |
| In the text | |
![]() |
图6 相边界与截面位置的关系 |
| In the text | |
Current usage metrics show cumulative count of Article Views (full-text article views including HTML views, PDF and ePub downloads, according to the available data) and Abstracts Views on Vision4Press platform.
Data correspond to usage on the plateform after 2015. The current usage metrics is available 48-96 hours after online publication and is updated daily on week days.
Initial download of the metrics may take a while.






