| Issue |
JNWPU
Volume 40, Number 3, June 2022
|
|
|---|---|---|
| Page(s) | 636 - 644 | |
| DOI | https://doi.org/10.1051/jnwpu/20224030636 | |
| Published online | 19 September 2022 | |
Attitude control of on-orbit capture spacecraft with angular velocity constraint
角速度有界的在轨抓捕航天器姿态控制
1
School of Information and Control Engineering, Xi’an University of Architecture and Technology, Xi’an 710055, China
2
School of Automation, Northwestern Polytechnical University, Xi’an 710129, China
Received:
14
September
2021
Abstract
Aiming at the attitude control problem of spacecraft in the capturing non-cooperative target process, a dual tracking robust adaptive attitude controller is designed. Firstly, a bounded virtual angular velocity is designed for the kinematics equations to guarantee that the attitude converges to zero quickly. Secondly, a new attitude controller is constructed based on the barrier Lyapunov function to ensure that the tracking error between virtual angular velocity and real angular velocity is bounded. The physical constraint of the angular velocity is satisfied. Applying Lyapunov's stability theory, the global asymptotic stability of the closed-loop system is analyzed. To overcome the nonlinear parameter perturbation with unknown upper bound in the process of capturing non-cooperative target, an adaptive updating law based on linear regression operator is constructed to estimate the rotational inertia on-line. Finally, the process of capturing the trajectory tracking of non-cooperative targets through numerical simulation. The simulation results demonstrate that the algorithm designed is effective and robust under the constraint of the bounded angular velocity or internal parameter perturbation with unknown upper bound.
摘要
航天器在非合作目标的抓捕过程中, 其姿态跟踪控制问题通常会受到角速度有界约束, 对此提出了一种基于双环递归跟踪的自适应控制算法。根据抓捕过程中航天器转动惯量呈现出的非线性变化特性, 利用线性回归算子将未知转动惯量矩阵转换成未知向量, 并设计自适应律估计该向量。在系统设计时, 外环采用有界虚拟角速度作为虚拟控制输入保证姿态的精确跟踪; 内环基于障碍Lyapunov函数设计出包含转动惯量估计值的自适应控制律, 理论证明了有界约束的角速度可对虚拟角速度实现快速精确跟踪, 整个跟踪过程误差有界; 然后通过数值仿真, 分析非合作目标轨迹追踪的抓捕过程, 结果表明所设计的算法具有较强的有效性和鲁棒性。
Key words: spacecraft / non-cooperative target / attitude control / angular velocity / dual-loop control
关键字 : 航天器 / 非合作目标 / 姿态控制 / 角速度 / 双环控制
© 2022 Journal of Northwestern Polytechnical University. All rights reserved.
This is an Open Access article distributed under the terms of the Creative Commons Attribution License (http://creativecommons.org/licenses/by/4.0), which permits unrestricted use, distribution, and reproduction in any medium, provided the original work is properly cited.
随着人类空天活动的增加,漂浮在太空中的空间碎片对在轨航天器的威胁也与日俱增,因此清除空间碎片(或其他非合作目标)成为航天领域可持续发展必须解决的问题。最常用的清除方式是采用机械臂捕获并回收空间碎片,在此过程中航天器会因机械臂运动而出现质心偏移和姿态偏差,因此设计出具有较强鲁棒性的自适应控制器,从而保证抓捕航天器的安全运行,具有重要的工程应用价值。
无序飞行的空间碎片其质量与速度均未知。航天器在抓捕空间碎片过程中,航天器的质心必定发生偏移,从而导致转动惯量摄动量变化规律不可预知。因此,必须采用自适应控制技术或智能逼近系统对转动惯量摄动部分进行补偿,提升系统对参数摄动的鲁棒性。文献[1-5]主要是设计自适应律实时估计未知转动惯量,并基于不同的应用环境构建包含转动惯量估值的自适应姿态控制算法;文献[6-8]则主要将转动惯量分离为名义部分和摄动部分,并采用诸如极限学习机、神经网络、模糊系统等智能逼近系统逼近由转动惯量摄动引起的摄动部分,并将其作为控制器的补偿性输入。以上研究工作虽然都解决了参数摄动问题,但所用算法均存在转动惯量估计精度不足、智能逼近系统结构复杂等缺陷。
在抓捕空间碎片过程中,不仅存在转动惯量摄动问题,还存在导航带宽和角速率陀螺量程的限制问题,因此航天器的角速度必须限制在有界范围内。早期学者重点关注的是航天器控制输入饱和约束的解决方案[9-13]。近些年,航天器角速度有界约束的研究才被重视[14-17]。文献[14]在考虑航天器角速度有界和转动惯量摄动条件下,设计了一种反演自适应控制算法;文献[15]基于抗退绕控制方法提出了角速度和控制输入有界的控制算法;文献[16]给出了一种L2增益控制算法,文献[17]设计了一种改进的非线性反馈控制器。
本文以航天器捕获非合作目标过程中的姿态稳定控制为应用背景,在考虑航天器角速度有界约束条件下,采用双环递归跟踪控制方法,设计出航天器自适应跟踪控制器。设计思路如下:对航天器外环系统的姿态运动学方程预设了一个有界虚拟角速度作为外环虚拟控制的输入,使得外环系统姿态角能够平稳快速收敛至期望角度;对于航天器内环系统,本算法基于矩阵变换算子将转动惯量矩阵转换成关于转动惯量元素向量的回归方程,构建自适应更新律在线估计上界未知的转动惯量;根据包含角速度跟踪误差的障碍李亚普诺夫函数(barrier Lyapunov function, BLF),设计出自适应姿态控制器,驱动实际角速度快速跟踪外环预设虚拟角速度,同时保持角速度的有界性。
1 抓捕控制问题描述
刚体航天器在抓捕非合作目标过程中,质心偏移导致的主转动惯量的变化规律可描述为:
1) 在抓捕过程最初阶段,主转动惯量会随着机械臂伸展而逐渐增加;
2) 在捕获非合作目标瞬间,非合作目标的无序运动反作用于航天器,导致主转动惯量产生一个未知的突增;
3) 在机械臂回收阶段,主转动惯量则会逐步递减。
令航天器在捕获非合作目标瞬间受到的瞬时强干扰为d1。再考虑外部环境干扰d2, 则抓捕航天器的实际外部干扰为
1
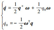
基于单位四元数{q0, q}={q0, q1, q2, q3}的航天器姿态运动学的方程式为[2]
2
式中, qTq+q02=1。ω∈R3为角速度矢量。为满足航天器的实际物理约束, 角速度ω需满足约束‖ω‖∞≤ωmax(‖·‖∞表示L∞空间范数, 下同)的要求。惯性坐标系I到体坐标系F的转换矩阵R满足[2]
3
式中:I3为单位矩阵;R为单位正交矩阵。
刚体航天器姿态动力学方程为[2]
4
式中:d∈R3为(1)式中的有界外部干扰, 且‖d‖∞≤D, 常数D为干扰最大值;u∈R3为控制输入矢量。转动惯量矩阵J分解为名义矩阵J0和摄动矩阵ΔJ, 即J=J0+ΔJ。由于非合作目标的动力学特性不可预知, 所以转动惯量J的上界未知。ω×为矢量ω=[ω1, ω2, ω3]T的反对称矩阵
5
那么可以把航天器在轨抓捕非合作目标时的姿态控制问题转换为: 当存在外部干扰d和转动惯量J摄动的复杂条件下, 基于航天器动力学系统(2)与(4)设计鲁棒控制器u, 使闭环系统渐近稳定。即当t→∞时有
6
且角速度满足约束‖ω‖∞≤ωmax。
2 相关定义和引理
定义1[18-19] 在区域Ω内, 非线性系统
有定义, 正定函数V(x)连续可微。若V(x)满足:
1) 当x∈Ω趋近于Ω的边界时(如‖x‖→kb), 有V(x)→∞;
2) 存在正常数b, 对于初值为x(0)∈Ω的系统
, 其解x有V(x)≤b;
则定义函数V(x)为障碍李亚普诺夫函数。
引理1[18] 考虑一阶系统
, 其中η=(e1T, νT)T, 而且函数h(t, η)关于η满足局部Lipschitz条件; 对于t而言, 函数h(t, η)为分段连续。设正定函数U(·)与V1(·)为连续可微, 使‖·‖→kb1时V1(·)→∞和γ1(‖·‖)≤U(·)≤γ2(‖·‖)成立。(其中‖·‖为L2空间范数, γ1(·), γ2(·)为K∞类函数)。令V(η)=V1(e1)+U(ν), 且‖e1(0)‖ < kb1, 则如果不等式(7) 成立
7
则对于t∈[0, ∞)有‖e1(t)‖ < kb1。
证明 因为
, 说明函数V(η)为单调递减函数, 则有V(η(t))≤V(η(0))。又V(η)=V1(e1)+U(ν), 且V1(e1), U(ν) 正定, 则有0≤V(η(t))≤V(η(0)), 根据条件可知γ1(‖ν‖)≤U(ν)≤γ2(‖ν‖), 所以V1(e1)有界。根据‖e1(0)‖ < kb1和‖e1‖→kb1时V1(e1)→∞, 可得到e1是有界的, 且对任意的t∈[0, ∞)满足‖e1(t)‖ < kb1。
引理2[20](Barbalat引理) 设x: [0, ∞)→R平方可积, 即
, 则如果对于t∈[0, ∞), 有
存在且有界, 则
。
定义2 令向量a=(a1, a2, a3)T, 定义线性回归算子
8
令ξ=(J11, J22, J33, J12, J13, J23)T, 则有
9
3 控制器设计
本文采用双环递归跟踪控制方法设计航天器的姿态跟踪控制器, 并分别对闭环系统的稳定性以及角速度的全程有界性进行理论推导。
3.1 外环控制器设计
考察以角速度作为输入量的外环运动学方程。一方面, 过大的角速度会破坏航天器的平稳性, 另一方面, 受航天器物理硬件设备的限制, 角速度难以达到较大的理论数值, 因此, 为设计更符合工程应用的姿态跟踪控制器, 必须要求角速度有界。为了限定外环系统中角速度的输入范围, 本文设计有界虚拟角速度输入
10
式中,ωT>0为外环运动学方程中可允许的最大虚拟角速度值, 常数k1>0。图 1反映了ωv某一分量的变化特性。
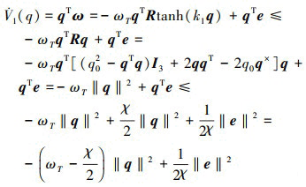
如前文所述, 为了确保外环系统(2)的渐近稳定性, 本文预设了虚拟角速度ωv。由此构造出Lyapunov函数
11
对V1(q)关于时间t求导
12
可见, 当实际角速度ω为虚拟角速度ωv时, 有
13
根据Lyapunov第二稳定性理论可知, 当t→∞时, q0→±1, q→0。
![]() |
图1 虚拟角速度分量的变化特性 |
3.2 内环鲁棒追踪控制器设计
设ω为内环系统(4)输出的实际角速度。内环自适应控制器u的设计目标为: 能够实现ω快速跟踪预设有界虚拟角速度ωv。
设e为ω与ωv的跟踪误差
14
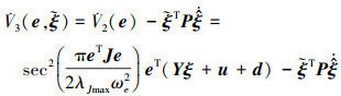
构造如下BLF函数
15
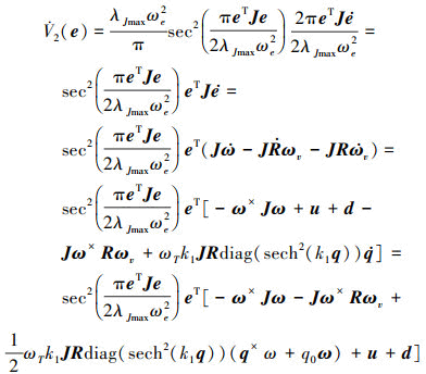
式中,λJmax代表转动惯量J的最大特征值, 常数ωe>0为误差e的上界。tan(·)为正切函数。对V2(e)关于t求导, 有
16
式中, diag(·)表示关于向量“·”的对角矩阵。
关于转动惯量矩阵J的元素向量呈线性关系, 利用线性回归算子将该式转换成线性回归方程
17
式中
18
将(17)式代入(16)式得到
19
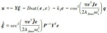
当转动惯量J已知时, 设计姿态控制器
20
式中,常数k2>0, sign(·) 为符号函数。将(20)式的控制输入表达式代入(19)式得到
21
根据(21)式可知, 在转动惯量矩阵J已知时, 若t→∞, 则有e→0, 即
22
证毕
至此, 内环子系统和外环子系统在其各自控制输入下, 各闭环系统的稳定性得证。接下来证明双环递归控制下闭环系统的稳定性。
3.3 双环追踪控制稳定性分析
定理1 当转动惯量J已知时, 姿态控制器(20)式能保证航天器姿态控制系统(2)式, (4)式渐近稳定, 且当t→∞时有q(t)→0, ω(t)→0。
证明
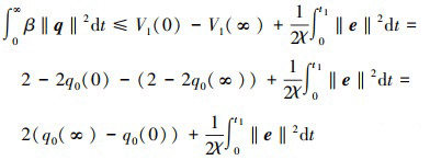
有界, 因为根据(21)式有
。因四元数的元素qi(i=0, 1, 2, 3)满足qi∈[0, 1], 则适当选择参数k1, 恒有tanh(k1q)≥q, 则
23
选择足够小的χ使
, 则
24
对(24)式在[0, ∞]上积分, 并将V1(q)=(q0-1)2+qTq=2-2q0(t) 代入, 得
25
|q0(t)|≤1, 所以|2(q0(∞)-q0(0))|≤2, 又
有界, 得到q平方可积。根据q, q0和ω有界可得
有界。根据Barbalat引理可得
0。根据e=ω-Rωv及t→∞时q→0, e→0, 可以得到ω→0。
证毕
因为
, 且‖e(0)‖∞ < ωe, 根据引理1, 得到如下推论:
推论1 当转动惯量J已知时, 在控制器(20)作用下, 对于t∈[0, ∞), ω与ωv的跟踪误差满足‖e(t)‖∞ < ωe。
根据e=ω-Rωv, ‖ωv‖∞≤ωT有‖ω‖∞≤‖e‖∞+‖ωv‖∞, 结合推论1可以得到:
推论2 当不存在摄动对转动惯量J的扰动时, 对于ωe∈[0, ∞), ωT∈[0, ∞), 总可以选择出适当参数, 使得ωe+ωT≤ωmax成立。因此在姿态控制器(20)作用下, 实现对航天器角速度的有界约束, 即角速度‖ω‖∞≤ωmax。
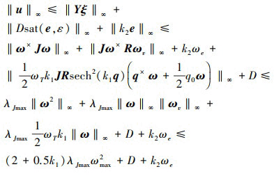
推论3 当转动惯量J已知, 控制增益k1, k2一定时, 控制输入力矩是有界的, 且满足
26
因为
27
由于符号函数容易引起抖振, 因此控制器中的符号函数可以用饱和函数代替, 则(20) 式修正为
28
其中饱和函数sat(e, ε) 分量元素的定义为
29
3.4 内环自适应追踪控制器设计
前文在转动惯量J固定前提下, 设计了航天器姿态控制器(20), 而航天器在轨捕获非合作目标过程中, 因受到目标本身无序运动的干扰, 其转动惯量会出现不同程度摄动。下面针对转动惯量发生改变的工程应用背景, 构建自适应姿态稳定控制器。
令时变向量ξ的估计值为
为估计误差。据此构造出Lyapunov函数
30
式中, P为对称正定矩阵。对
求导可得
31
自适应姿态控制器表达式为
32
将(32)式代入(31)式得到
33
当时变向量
的自适应更新律为
34
则有
35
当自适应控制器(32)和自适应更新律(34) 应用于航天器姿态控制时, 根据Lyapunov稳定理论可知, 闭环系统(4)渐近稳定。同理, 带饱和函数的自适应姿态控制器为
36
根据定理1, 同样可得如下定理2。
定理2 对存在转动惯量摄动和外部干扰的航天器姿态动力学系统, 自适应控制器(32)与自适应律(34)可实现闭环系统的渐近稳定性保证, 即当t→∞时有q(t)→0, ω(t)→0。
定理2证明与定理1相同。同理可得如下推论。
推论4 转动惯量J存在未知摄动时, 应用自适应姿态控制器(32)与自适应更新律(34), 当t∈[0, ∞)时, ‖e(t)‖∞ < ωe, 其中e(t)为实际角速度ω与虚拟角速度ωv之间的误差。
推论5 当存在未知摄动对转动惯量J的扰动时, 对于ωe∈[0, ∞), ωT∈[0, ∞), 总可以选择出适当参数, 使ωe+ωT≤ωmax成立。因此在自适应控制器(32)与自适应更新律(34)的作用下, 航天器的角速度有界, 即‖ω‖∞≤ωmax。
推论5说明自适应姿态控制器(32)和自适应更新律(34)实现了在轨捕获非合作目标过程中的姿态稳定控制和角速度有界约束的目标。为保证闭环系统的收敛性和角速度的有界性, 在设计ωe, ωT时, 应尽可能地增大角速度追踪误差上界ωe, 减小虚拟角速度的变化幅度值ωT。
自适应控制器(20)和(32)中的增益系数k1, k2恒定时, 为避免当姿态追踪误差较大时产生过大控制力矩, 本文对自适应控制器中的参数采用如下变增益表达式
37
式中,参数ρi, αi, βi>0(i=1, 2)。其中, 控制增益增长速度的参数为αi; 用来控制增益取值范围的参数为ρi; 控制增益收敛速度的参数为βi。
4 数值仿真分析
为了验证本文所设计控制算法的有效性与鲁棒性, 设定航天器角度初始状态为q(0)={0.9, -0.3, 0.26, 0.18}, 初始角速度ω(0)=(0, 0, 0)T rad/s, 名义转动惯量矩阵为
。据此对航天器进行数值仿真分析。
在抓捕非合作目标的过程中, 假设在时刻T0=10 s时成功捕获无序运动的非合作目标, 此时会对抓捕航天器产生一个瞬间强干扰d1(其中r为方波), 外部太阳辐射等环境干扰力矩记为d2 (单位: N·m, ωΔ=0.1)


在T1=25 s时刻, 非合作目标被抓捕航天器成功回收。结合实施抓捕的机械臂的动作过程, 转动惯量各元素变化规律可以表示为


4.1 验证仿真分析
设航天器的角速度有界约束为‖ω‖∞≤0.1 rad/s。姿态控制器(36)的变增益控制参数取为ρ1=0.5, α1=1.8, β1=0.15, ρ2=9, α2=7.1, β2=0.25, ωe=0.05, ωT=0.05, ε=0.005,
=(200, 170, 150, 12, 15, 9)T, D=10。
图 2中的曲线反映了航天器姿态角变化趋势。从图 2可以看出, 基于本文所设计的变增益自适应姿态控制器(36), 航天器的姿态角呈指数渐近收敛到0, 且整个收敛轨迹没有震荡。即便在第10 s抓捕非合作目标时出现一个瞬时强干扰, 且整个抓捕过程中转动惯量J的元素呈非线性摄动, 但航天器的姿态角收敛趋势并没有受到干扰和参数摄动影响。说明自适应控制器(36)具有较强的鲁棒性, 能够使抓捕非合作目标过程中航天器姿态快速稳定。
图 3为抓捕过程中的控制力矩变化曲线。图 3显示即便初期姿态角偏差较大, 但由于变增益函数提供较小的控制增益, 使得刚开始的控制力矩在保证姿态角收敛的前提下, 控制力矩较小; 后期虽然控制增益较大, 但是姿态角追踪误差减小了, 使得控制力矩也较小, 整个控制过程中, 除第10 s外, 其他时间段的控制力矩均保持在-8~5 N·m内, 且力矩的频繁震荡相对较少。在第10 s出现瞬间强干扰时, 控制力矩产生了一个较大的控制输入力矩来抑制外部强干扰, 并在强干扰消失后, 控制输入力矩迅速减小。
图 4反映了实际角速度ω跟随预设虚拟角速度ωv变化的跟踪效果。在控制初期, ω与ωv存在追踪误差, 但在本文设计控制器下, ω很快收敛到ωv, 并按照ωv的轨迹收敛到0 rad/s。在整个抓捕非合作目标过程中, 航天器的角速度满足有界约束条件‖ω‖∞≤0.03 rad/s≤0.1 rad/s, 且角速度追踪误差满足‖e‖∞ < 0.05 rad/s。在第10 s出现外部强干扰时, 真实角速度ω受到微弱干扰, 随着干扰消失, 真实角速度会快速收敛到ωv。
仿真结果表明, 在存在外部干扰和转动惯量矩阵各元素呈非线性摄动的情况下, 控制力矩根据实际角速度ω与虚拟角速度ωv之间的误差, 控制ω快速追踪上ωv, 并按照ωv的轨迹变化。当姿态角较大时, ωv以较大的输入驱动姿态角迅速减小, 并随着姿态角的收敛而逐渐收敛到0 rad/s。仿真结果显示, 本文设计的鲁棒姿态控制器具有理想的控制效果, 能保障抓捕过程中航天器的角速度满足有界限制和航天器的姿态快速机动。
![]() |
图2 姿态角变化趋势(双环) |
![]() |
图3 三轴控制力矩曲线(双环) |
![]() |
图4 ω和ωv轨迹曲线 |
4.2 对比仿真分析
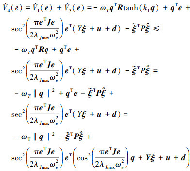
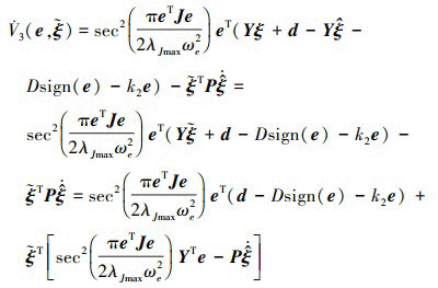
为验证本文的双环跟踪控制器与反演控制器的区别, 在相同控制器设计思路下, 设计反演控制器。设计Lyapunov函数为V4(e)=V1(e)+V3(e), 对V4(e) 求导, 有

反演自适应控制器为
38
反演控制器(38)与双环跟踪控制器(36)的设计思路不同, 且控制器的数学表达式也不同, 反演控制器(38)的表达式要比双环跟踪控制器(36)多一项, 即
。
当控制器为反演控制器(38)时,其他控制参数不变,得到仿真结果如下:
通过对比图 2和图 5,图 3和图 6可以看出,姿态跟踪轨迹和控制力矩的变化趋势几乎相同,说明在相同仿真条件和控制参数下,反演控制与双环跟踪控制器的控制效果相同。但相对于反演控制器的复杂结构,本文设计的双环跟踪控制器结构更为简单。
![]() |
图5 姿态角变化趋势(反演) |
![]() |
图6 三轴控制力矩曲线(反演) |
5 结论
本文以存在角速度有界约束的抓捕非合作目标航天器的姿态稳定控制为研究对象,结合双环递归追踪控制思想,在转动惯量固定和转动惯量摄动2种环境下,设计了航天器姿态鲁棒控制器,并分析了所设计控制器能保证航天器角速度的有界性。
1) 将航天器的二阶姿态动力学系统分解为外环、内环2个一阶子系统,并分别为这2个子系统设计各自的轨迹跟踪控制器,进而构建出一种双环递归跟踪控制器。通过理论分析和推导,证明此二阶系统的渐近稳定性。相比于反演控制器,双环追踪控制器具有结构更简单,其控制器设计的自由度更高等优点。
2) 对于转动惯量固定和转动惯量存在未知摄动的2种情况,应用BLF函数分别设计了相应的航天器姿态稳定控制器。通过理论分析和推导,证明该闭环系统具有渐近稳定性以及角速度有界性。数值仿真了捕获非合作目标过程中的姿态稳定控制情况,结果显示在本文设计的自适应姿态控制器作用下,抓捕航天器的姿态角与角速度实现了平缓收敛且无振荡,展示出良好的动态品质。
3) 通过推论3可以看出,针对转动惯量上界已知的航天器姿态控制,可以估算出基于本控制器的最大控制输入力矩,对航天器执行机构的设计具有一定的指导作用。
4) 航天器在受较大瞬间冲击力矩时,航天器姿态没有改变,说明本文所设计控制器对瞬间强干扰不敏感。
References
- BAI Y, BIGGS J D, WANG X, et al. A singular adaptive attitude control with active disturbance rejection[J]. European Journal of Control, 2017, 35(5): 50–56 [CrossRef] [Google Scholar]
- FENG Yushu, LIU Kun, FENG Jian. Finite time adaptive integral sliding mode control method for spacecraft attitude tracking[J]. Journal of University of Electronic Science and Technology, 2021, 50(4): 527–534 (in Chinese) [Google Scholar]
- SUN Liang, MA Jiapeng. Robust adaptive attitude tracking control for spacecraft with input constraints[J]. Control and Decision, 2021, 36(9): 2297–2304. [Article] (in Chinese) [Google Scholar]
- YEH F K. Sliding-mode adaptive attitude controller design for spacecrafts with thrusters[J]. IET Control Theory and Applications, 2010, 4(7): 1254–1264. [Article] [CrossRef] [Google Scholar]
- XIA Dongdong, YUE Xiaokui. Adaptive control of spacecraft attitude tracking based on immersion and invariance theory[J]. Acta Aeronautica et Astronautica Sinica, 2020, 41(2): 312–323. [Article] (in Chinese) [Google Scholar]
- YIN Chunwu, TONG Wei, HE Bo. Extreme learning machine-based finite-time adaptive attitude control[J]. Aerospace Control, 2018, 36(5): 30–36. [Article] (in Chinese) [Google Scholar]
- KANG Guohua, JIN Chendi, GUO Yujie. Model predictive control of combined spacecraft based on deep learning[J]. Journal of Astronautics, 2019, 40(11): 1322–1331. [Article] (in Chinese) [Google Scholar]
- ZHOU Zhanjie, WANG Xinsheng, WANG Yan. Spacecraft attitude control based on fuzzy adaptive algorithm[J]. Journal of Motor and Control, 2019, 23(2): 123–128. [Article] (in Chinese) [Google Scholar]
- WANG Liangyue, GUO Yanning, MA Guangfu, et al. Overview of spacecraft attitude control input saturation[J]. Journal of Astronautics, 2021, 42(1): 11–21. [Article] (in Chinese) [Google Scholar]
- FORBES J R. Attitude control with active actuator saturation prevention[J]. Acta Astronautica, 2015(107): 187–195 [CrossRef] [Google Scholar]
- YIN Chunwu. Dual-loop attitude tracking control with differential observer[J]. Journal of Beijing University of Technology, 2018, 38(10): 1073–1078. [Article] (in Chinese) [Google Scholar]
- ZHENG Z, SONG S. Autonomous attitude coordinated control for spacecraft formation with input constraint, model uncertainties, and external disturbances[J]. Chinese Journal of Aeronautics, 2014(3): 602–612 [CrossRef] [Google Scholar]
- ZHANG F, DUAN G R. Robust adaptive integrated translation and rotation control of a rigid spacecraft with control saturation and actuator misalignment[J]. Acta Astronautica, 2013(86): 167–187 [CrossRef] [Google Scholar]
- YIN Chunwu, HOU Mingshan, CHU Yuanbo, et al. Backstepping adaptive attitude control with physical constraints[J]. Journal of Northwestern Polytechnical University, 2016, 34(2): 281–286. [Article] (in Chinese) [Google Scholar]
- HU Qinglei, LI Li. Spacecraft attitude anti unwinding control considering input saturation and attitude angular velocity constraints[J]. Acta Aeronautica et Astronautic Sinica, 2015, 36(4): 1259–1266. [Article] (in Chinese) [Google Scholar]
- HU Q. Robust adaptive backsteeping attitude and vibration control with L-2 gain performance for flexible spacecraft under angular velocity constraint[J]. Journal of Sound and Vibration, 2009, 327(3): 285–298 [CrossRef] [Google Scholar]
- HU Q, LI B, ZHANG Y. Robust attitude control design for spacecraft under assigned velocity and control constraints[J]. ISA Transactions, 2013, 52(4): 480–493. [Article] [CrossRef] [Google Scholar]
- TEE K P, GE S S, TAY E H. Barrier Lyapunov functions for the control of output-constrained nonlinear systems[J]. Automatica, 2009, 45(4): 918–927. [Article] [CrossRef] [Google Scholar]
- XU J X, XU J. State-constrained iterative learning control for a class of MIMO systems[J]. IEEE Trans on Automatic Control, 2013, 58(5): 1322–1327. [Article] [CrossRef] [Google Scholar]
- TAO G. A simple alternative to the Barbalat lemma[J]. IEEE Trans on Automatic Control, 2013, 58(5): 1322–1327. [Article] [CrossRef] [Google Scholar]
All Figures
![]() |
图1 虚拟角速度分量的变化特性 |
| In the text | |
![]() |
图2 姿态角变化趋势(双环) |
| In the text | |
![]() |
图3 三轴控制力矩曲线(双环) |
| In the text | |
![]() |
图4 ω和ωv轨迹曲线 |
| In the text | |
![]() |
图5 姿态角变化趋势(反演) |
| In the text | |
![]() |
图6 三轴控制力矩曲线(反演) |
| In the text | |
Current usage metrics show cumulative count of Article Views (full-text article views including HTML views, PDF and ePub downloads, according to the available data) and Abstracts Views on Vision4Press platform.
Data correspond to usage on the plateform after 2015. The current usage metrics is available 48-96 hours after online publication and is updated daily on week days.
Initial download of the metrics may take a while.






