| Issue |
JNWPU
Volume 40, Number 4, August 2022
|
|
|---|---|---|
| Page(s) | 717 - 722 | |
| DOI | https://doi.org/10.1051/jnwpu/20224040717 | |
| Published online | 30 September 2022 | |
Design method of interconnection struts between flaps of large transport aircraft
大型民机襟翼间交联系统设计方法研究
1
School of Aeronautics, Northwestern Polytechnical University, Xi’an 710072, China
2
Shaanxi Key Laboratory of Impact Dynamics and Engineering Application, Xi’an 710072, China
3
Shanghai Aircraft Design and Research Institute, Shanghai 201210, China
Received:
9
October
2021
Abstract
In the design of the modern large transport aircraft, flap system has become a standard configuration, which can increase the maximum wing lift and the climb rate of the aircraft. Meanwhile, the reliability of the flap system has always been the focus point of the aviation industry. The interconnection strut between flaps is a kind of redundancy design, which mitigates the failure of flap system enhancing flap system reliability. Since 1980s, aircraft manufacturers such as Airbus and Boeing have designed many kinds of ICS for the large transport aircraft like A320, B737. Meanwhile, there is some study on ICS in China, which is still in its infancy. In this paper, the design method of ICS is studied, and the important design parameters of ICS are proposed. A new kind of ICS is designed, and the validity and rationality of ICS design are verified. Firstly, the multi-body dynamic model for the flap system is established and the working principle and important design parameters of ICS between flaps are studied; and then the energy absorbing characteristics of ICS energy absorbing elements are studied; finally, a new ICS is designed, and its mechanical properties and mitigation effect on flap system failure are simulated to verify the effectiveness and rationality of the design.
摘要
襟翼间交联系统(ICS)是一种增强襟翼系统可靠性的冗余设计, 在襟翼系统故障时对故障引起的破坏起到抑制作用。空客、波音自20世纪80年代以来针对A320、B737等大型民机已经设计了多种ICS并投入使用; 而国内在ICS方面的研究较少, 目前仍属起步阶段。大型民机是我国航空业下一步发展的重点之一, 为了给我国大型民机襟翼系统设计提供技术支持, 开展了襟翼间交联系统设计方法研究, 提出了一种新的ICS设计, 在此基础上研究了交联机构的2个主要设计参数: 交联机构的临界位移和吸能元件的平均压溃载荷, 并对其力学性能以及在襟翼系统的故障工况中对故障载荷的抑制作用进行了仿真, 验证了ICS设计方法的有效性和合理性。
Key words: flap system / ICS / actuator failure / mitigation effect / multibody dynamics
关键字 : 襟翼系统 / 交联系统 / 脱开故障 / 抑制作用 / 多体动力学
© 2022 Journal of Northwestern Polytechnical University. All rights reserved.
This is an Open Access article distributed under the terms of the Creative Commons Attribution License (http://creativecommons.org/licenses/by/4.0), which permits unrestricted use, distribution, and reproduction in any medium, provided the original work is properly cited.
襟翼系统能显著增大飞机起降阶段机翼最大升力, 提高飞机起降性能, 还有利于提高巡航阶段机翼翼型的气动效率, 目前已成为大型民机的标准配置。通常, 大型民机的每侧机翼上均设置有多个襟翼, 这些襟翼由独立的襟翼驱动单元同步驱动[1–4]。
襟翼系统提高了大型民机的飞行效率, 但是它的故障也会严重影响飞机的飞行安全。为了提高系统的安全性和可靠性, 针对襟翼系统故障的研究非常重要[5]。根据文献[6]对襟翼故障的说明, “有几种故障情形较易发生且必须被考虑: 襟翼在飞机飞行时发生的结构失效; 飞机在巡航阶段襟翼非正常放出以及飞机在起飞和降落时襟翼的收放故障。同时, 襟翼系统最易出故障的地方是襟翼支撑结构和驱动单元。”为了在襟翼支撑结构或襟翼驱动单元发生故障的情况下保证飞机的飞行安全性, 在相邻的襟翼之间安装保护机构, 称作襟翼间交联系统(ICS)。当襟翼系统发生故障如某一驱动单元脱开时, 其他驱动单元及襟翼系统结构受到冲击, 威胁襟翼系统安全。在这种情况下, ICS能为襟翼系统提供新的传力路径, 降低襟翼系统的强度风险, 避免损害襟翼机构。在我国大飞机快速发展的背景下, 非常有必要开展相关的ICS研究, 从而为我国大型民机襟翼系统的设计提供技术支持, 同时ICS设计也是我国飞机设计领域急需解决的一个研究重点和难点。本文对ICS的设计方法开展研究, 提出ICS的设计参数, 明确ICS对吸能元件的吸能特性要求, 并评价ICS对襟翼系统的故障抑制。
1 襟翼间交联系统基本构型与工作原理
ICS是一种在襟翼故障时, 减小襟翼故障载荷维持襟翼功能的冗余设计。作为冗余设计, 在襟翼系统正常工作过程中, ICS应避免对襟翼系统产生影响; 而一旦襟翼故障发生后, ICS应起到2种作用, 一是在内外襟翼之间增加传力路径, 限制故障工况下内外襟翼的相对运动, 保持内外襟翼运动的同步性; 二是通过ICS内部的吸能装置吸收襟翼系统中的冲击能量, 减小襟翼系统中的故障载荷, 确保襟翼系统安全性和可靠性。多年以来, 国内外的研究人员提出了多种ICS设计以实现ICS的主要功能。可以将这些ICS主要分为连杆型、套简型、杵架型3类。
1.1 连杆型ICS
连杆型ICS[7–8]通常以连杆和铰链组成, 通过铰链的旋转避免对襟翼系统正常运动产生影响。连杆型ICS结构简单, 仅能实现增加传力路径的功能, 不能吸收襟翼系统故障工况下冲击能量。此型属于ICS的早期设计, 如图 1所示。
1.2 套筒型ICS
套筒型ICS[9–11]的典型结构由内外套筒组成, 内外套筒间保留自由行程, 避免影响襟翼系统正常运动。当内外襟翼运动不同步过大时, 内外套筒相互卡死, 以限制故障进一步发生, 并提供新的传力路径。同时, 内外套筒之间往往还设立了吸能元件, 在故障发生时, 起吸收冲击能量、降低故障载荷的作用, 如图 2所示。
1.3 桁架型ICS
桁架型ICS[12]由几组连杆和铰链组成, 通过对多组连杆系统的合理设计, 实现对大型民机襟翼系统适配。2009年, 美国专利局公开的专利介绍了一种应用于大型民机的襟翼间交联系统, 如图 3所示。
在国内研究者方面, 中国商飞[13]于2017年公布的一种套筒型的内外襟翼交联装置, 如图 4所示。该装置由同轴的活塞杆(1)和活塞筒(2)组合而成, 当某一襟翼发生故障时, 内筒之间产生相对运动, 外套筒内侧的挤压面和内套筒外侧的挤压面互相挤压产生轴向力, 以实现运动缓冲, 同时挤压面之间的锯齿抱紧, 可以实现逆向锁死功能。
此外黄勇等[14]还对某型飞机襟翼系统脱开故障工况下, 有交联机构的襟翼系统故障载荷进行了分析。但是并未对交联机构作用效果的影响因素作进一步分析。
2 襟翼间交联系统的设计与襟翼故障工况的仿真分析
2.1 襟翼间交联系统的设计方法
本研究建立了襟翼系统的刚柔耦合多体动力学模型, 其中襟翼、滑轨、驱动杆、摇臂等部件设为柔性体, 而滑车被设为刚体, 如图 5所示。在多体动力学商用软件Adams中, 对襟翼系统模型进行刚柔耦合多体动力学分析。
通过襟翼系统正常工况下的刚柔耦合动力学分析, 得到内外襟翼由于运动机构差异和气动载荷作用导致的ICS安装点距离发生变化, 如图 6所示, 说明内外襟翼并非完全同步运动,并可确定ICS的临界位移。
ICS中吸能元件的平均压溃载荷是ICS的另一个主要设计参数。如果平均压溃载荷过低, 会导致ICS吸能行程过大; 而平均压溃载荷过高, 则可能无法触发ICS中的吸能元件, 达不到ICS的设计目的。
交联系统中的吸能元件特性曲线如图 7所示。当ICS位移量到达临界位移后, 吸能元件开始工作, 并维持平均压溃载荷。
通过模拟襟翼系统单驱动故障工况并基于建立的襟翼系统多体动力学模型进行故障工况仿真, 得到在单驱动脱开故障的工况下襟翼系统的故障响应。表 1中是在不同平均压溃载荷下, 襟翼故障工况中ICS的压缩行程、吸收的能量以及交联系统驱动单元扭矩之间的比值。可以看出随着ICS平均压溃载荷的提高, ICS的压缩行程和吸收的能量均逐渐降低, 而驱动单元扭矩则变化不大。
![]() |
图5 襟翼系统多体动力学模型 |
![]() |
图6 ICS安装点距离变化 |
![]() |
图7 吸能元件特性曲线 |
不同平均压溃载荷下ICS的压缩行程、吸收的能量及驱动单元的扭矩比值
2.2 襟翼间交联系统的设计
通过2.1节中ICS的设计方法, 设计的ICS结构如图 8所示。该ICS为套筒型, 主要由ICS的内套筒、外套筒和吸能元件构成。
本文ICS中的吸能元件为膨胀管, 通过摩擦和材料的塑性变形来耗散能量, 其工作原理如图 9所示, 其实物的变形如图 10所示。
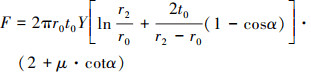
根据Liu和Qiu提出的2段式弧形模型[15], 膨胀管的平均压溃载荷可以表示为
1
2
式中: F和Y分别为膨胀管压缩载荷和膨胀管材料屈服应力; r0和r2分别为膨胀管初始半径和管件膨胀后的半径; t0为膨胀管初始壁厚; α为锥形冲头倒角; μ为冲头和管件间的动摩擦因数。
膨胀管的材料选用铝合金7050, 采用双线性本构模型,其材料参数见表 2。
使用商用有限元软件Abaqus, 对ICS模型进行冲击动力学仿真, 得到ICS在冲击工况下的载荷位移曲线图, 如图 11所示。由于吸能元件的刚度与强度都远小于ICS中的其他部件, ICS的载荷位移特性主要由其吸能元件决定。
![]() |
图8 ICS动力学模型 |
![]() |
图9 膨胀管工作原理示意图 |
![]() |
图10 膨胀管变形实物图 |
AL7050材料参数
![]() |
图11 ICS的载荷位移曲线 |
2.3 襟翼系统故障工况下的仿真分析
将上述ICS应用于襟翼系统模型, 联合前处理商用软件Hypermesh和多体动力学分析商用软件Adams, 对襟翼系统单驱动脱开故障进行仿真。
图 12中展示了在襟翼系统故障工况下, ICS安装前后ICS安装点距离变化的对比, 以及单驱动脱开后另一驱动单元上驱动载荷的对比。在图 12a)中, L1和L2分别为安装ICS前后ICS安装点间距离最大值。可见在安装ICS后, ICS安装点间距离最大值减小了66.2%。说明ICS能够抑制内外襟翼之间运动的不一致性。在图 12b)中, M1和M2分别为安装ICS前后襟翼系统驱动单元的驱动载荷峰值。可见, 在安装ICS后, 襟翼系统驱动载荷峰值减少45.3%。说明ICS起到了吸收冲击能量、降低故障载荷的作用。
襟翼系统在单驱动脱开故障工况下, ICS安装前后各部件的最大应力变化如表 3所示。
对于与外襟翼相关的部件如外襟翼和3, 4号驱动单元, ICS的安装可以大大降低其最大应力水平; 而对于与内襟翼相关部件如内襟翼和1, 2号驱动单元, ICS的安装则增加了其最大应力水平, 但在襟翼单驱动脱开故障中, 由于内襟翼上应力水平相比外襟翼较低, 其应力水平仍在允许的范围内。在安装ICS后, 在襟翼单驱动脱开故障中, 整个襟翼系统中的整体应力水平降低。
综上所述, 襟翼系统故障发生后, 在安装ICS的工况下, 内外襟翼之间的相对运动减小, 故障襟翼的峰值载荷降低, 同时襟翼系统中的整体应力水平降低, 避免了襟翼系统在故障后的冲击中进一步损坏。
![]() |
图12 襟翼有无安装ICS的响应对比图 |
襟翼系统各部件安装ICS前后最大应力对比
3 结论
为了提升大型民机襟翼系统的安全性和可靠性, 本研究建立了一种ICS设计方法, 并提出了一种ICS的设计方案, 通过分析有、无ICS下襟翼系统的故障响应, 表明ICS可使襟翼系统故障驱动载荷降低45.3%, 内外襟翼间ICS安装点相对运动最大值减小66.2%, 襟翼系统应力水平降低, 验证了ICS设计的有效性。
References
- GUELZAU H. Flexible multi-body modelling and simulation of flap systems in transport aircraft-determination of dynamics and failure loads[C]//MSC Software VPD Conference, Huntington Beach, CA, 2006 [Google Scholar]
- LERCH M, THIELECKE F. Concepts for a safety device in conventional track-linkage kinematics to prevent skew in a single flap system[C]//Deutscher Luft-Und Raumfahrtkongress, 2017 [Google Scholar]
- QI Wan. Study on the dynamic interaction of multiple clearance joints for flap actuation system with a modified contact force model[J]. Journal of Mechanical Science and Technology, 2020, 34(7): 2701–2713 [CrossRef] [Google Scholar]
- HUYNH N V. Distributed trailing edge wing flap systems in patent application approval process: the United States, US2020007-0959[P]. 2020-05-03 [Google Scholar]
- HAN Ruimei, WANG Ligang. Typical faults of flap system of an aircraft[J]. Internal Combustion Engine & Parts, 2021(4): 141–142 [Article] (in Chinese) [Google Scholar]
- RUDOLPH P. High-lift systems on commercial subsonic airliners[R]. NASA-CR-4746, 1996 [Google Scholar]
- BREEDVELD C A J, DE HAAN F W. Wing flap assembly and aircraft provided there with: the United States, US4494716[P]. 1985-01-22 [Google Scholar]
- Poccard. System for coupling two flaps of an aircraft wing, and an aircraft wing equipped with such asystem: the United States, US4715567[P]. 1987-12-29 [Google Scholar]
- KLAUS A. Damping element: German, DE3522449A1[P]. 1985-06-22 [Google Scholar]
- KURT A. Failure protection device for flap systems on aircraft mainplanes: German, DE3505839C2[P]. 1989-11-09 [Google Scholar]
- VERSLUIS S. Interconnecting strut for arranging between adjacent landing flaps of an aircraft: the United States, US8469165[P]. 2013-06-25 [Google Scholar]
- POPPE B, AUHAGEN K. Flap interconnection system for aircraft: the United States, US7546984B2[P]. 2009-06-16 [Google Scholar]
- HUANG Yong, TIAN Zhongliang, WU Qiang, et al. The interconnection device between Inner and Outer flaps: China, CN107161325B[P]. 2017-09-15 (in Chinese) [Google Scholar]
- HUANG Yong. Energy absorption simulation technology of flap interconnection structure for civil aircraft[J]. Civil Aircraft Design and Research, 2020(4): 36–41 [Article] (in Chinese) [Google Scholar]
- LIU Y, QIU X M. A theoretical study of the expansion metal tubes[J]. International Journal of Mechanical Sciences, 2016, 114: 157–165 [Article] (in Chinese) [CrossRef] [Google Scholar]
All Tables
All Figures
![]() |
图1 内外襟翼交联机构[7] |
| In the text | |
![]() |
图2 有阻尼件的襟翼连接装置[11] |
| In the text | |
![]() |
图3 应用于大型民机的襟翼间交联系统[12] |
| In the text | |
![]() |
图4 内外襟翼交联装置[13] |
| In the text | |
![]() |
图5 襟翼系统多体动力学模型 |
| In the text | |
![]() |
图6 ICS安装点距离变化 |
| In the text | |
![]() |
图7 吸能元件特性曲线 |
| In the text | |
![]() |
图8 ICS动力学模型 |
| In the text | |
![]() |
图9 膨胀管工作原理示意图 |
| In the text | |
![]() |
图10 膨胀管变形实物图 |
| In the text | |
![]() |
图11 ICS的载荷位移曲线 |
| In the text | |
![]() |
图12 襟翼有无安装ICS的响应对比图 |
| In the text | |
Current usage metrics show cumulative count of Article Views (full-text article views including HTML views, PDF and ePub downloads, according to the available data) and Abstracts Views on Vision4Press platform.
Data correspond to usage on the plateform after 2015. The current usage metrics is available 48-96 hours after online publication and is updated daily on week days.
Initial download of the metrics may take a while.












