| Issue |
JNWPU
Volume 40, Number 5, October 2022
|
|
|---|---|---|
| Page(s) | 1133 - 1144 | |
| DOI | https://doi.org/10.1051/jnwpu/20224051133 | |
| Published online | 28 November 2022 | |
Heterogeneous information integration method for scheme decision making of industrial design
工业设计方案决策的异构信息融合方法
School of Construction Machinery, Chang'an University, Xi'an 710064, China
Received:
7
December
2021
Abstract
为有效融合工业设计方案决策中的异构信息, 引入云模型处理定性语言评价, 基于黄金分割方法将语言信息量化为云模型的数字特征, 分别构建语言值、区间数和实数相对优势矩阵。考虑决策过程的模糊性与不确定性, 将决策属性判断的自然语言采用区间标度量化, 构建非线性优化模型求解最优决策属性权重, 以最大似然估计实现群体决策的区间标度集结, 通过综合效用函数计算工业设计方案优劣。以某型指挥用控制台工业设计方案决策为例, 验证了所提方法能够有效融合异构决策信息, 辅助工业设计师和决策者准确把控意见并进行方案优选。
摘要
To effectively integrate the heterogeneous information in the decision-making of industrial design schemes, the cloud model was adopted to process the qualitative language evaluation. Based on the golden section method, the language information was quantified into the digital features of the cloud model, and the relative advantage matrix of language value, interval number and real number were constructed respectively. Considering the ambiguity and uncertainty of the decision-making process, the natural language of decision-making attribute judgment was quantified by interval scale, and a nonlinear optimization model was constructed to find the optimal decision-making attribute weight. The interval scale aggregation of group decision-making was realized by maximum likelihood estimation and a comprehensive utility function was utilized to calculate the pros and cons of industrial design schemes. Taking the industrial design scheme decision making of a certain type of command console as an example, it is verified that the proposed method can effectively integrate the heterogeneous decision-making information, and assist the industrial designers and decision-makers to accurately control opinions and make scheme optimization and selection.
Key words: industrial design / design decision making / heterogeneous information integration / cloud model / interval scale
关键字 : 工业设计 / 设计决策 / 异构信息融合 / 云模型 / 区间标度
© 2022 Journal of Northwestern Polytechnical University. All rights reserved.
This is an Open Access article distributed under the terms of the Creative Commons Attribution License (http://creativecommons.org/licenses/by/4.0), which permits unrestricted use, distribution, and reproduction in any medium, provided the original work is properly cited.
作为创新设计的重要组成部分,工业设计有助于建立产品多物理属性与用户主观感知间的纽带,促进创新成果的价值实现。工业设计过程一般包括“问题”、“解”与“决策”3个作用单元[1],“问题”与“解”在设计过程中协同进化[2],“决策”决定了“问题”与“解”进化的方向[3]。科学、合理的决策有助于促进工业设计过程有效收敛,避免设计过程的无效迭代。
工业设计的多学科交叉特性使得方案决策一般包含定性信息和定量数据,对这两类信息的处理方法主要为数学方法和实验方法。数学方法主要借助模糊系统理论将定性决策信息定量化,如文献[4]将粗数与多准则妥协解排序法(visekriterijumska optimizacija i kompromisno resenje, VIKOR)结合,在产品概念设计方案评价中融入客户偏好与设计师感知,优选出既满足客户期望又遵循设计标准的方案;文献[5]利用犹豫模糊语言术语集描述用户对产品造型的感性评价,构建语言共识测度模型并结合粒子群优化算法实现非共识条件下犹豫模糊语言矩阵的优化;文献[6]结合毕达哥拉斯模糊集和前景理论计算决策专家与指标权重,实现产品设计方案总分排序决策。实验方法主要借助生理测量仪器和心理实验获取决策者对设计方案的感知以辅助决策,如文献[7]通过采集被试的眼动追踪指标和脑电数据,结合主观视觉美学评价量化分析产品的视觉美感;文献[8]为了研究用户对定制机械产品的性能印象,通过采集用户脑电信号并结合主客观评价,提出一种面向性能的机械定制产品感性意象评价方法;文献[9]将发明问题解决理论(theory of inventive problem solving, TIPS/TRIZ)与Kano模型结合对感性工学进行改进,在感性心理量表测量基础上对感性认知分类,以理解和量化分析客户的情感需求。
以上研究为工业设计方案决策数据处理提供重要参考,但主要关注单一类别决策数据。而工业设计的多学科特性使得设计方案决策中决策者知识背景、经验等各异,对设计方案的评判方式因人而异,决策信息常包含语言感知、数值判断与基于产品设计参数的评测3类异构数据,对其进行有效集结将有助于工业设计师和决策者准确把控设计意见,提高设计迭代的准确性、方向性和目的性,进一步提高产品开发质量。现有研究针对异构决策信息常将其转换为某一类型的数据进行处理[10-11],虽有助于消除不同物理量纲对决策结果的影响,但会忽视数据本身固有的不确定信息,从而难以准确反映工业设计方案在各决策属性上的优劣,进而影响决策结果的准确性,需要进一步研究。
针对上述问题,本文利用云模型将决策者对工业设计方案的定性语言评价量化,针对由语言值、区间数和实数组成的异构决策信息,通过建立相对优势矩阵实现数据融合。为更好处理决策者对决策属性判断的模糊性与不确定性,以语言等级映射指数区间标度,构建非线性优化模型求解最优决策属性权重,通过构建方案综合效用值函数确定方案优劣。最后,以某型指挥用控制台的设计方案决策为例,验证了本文方法的有效性。
1 基于云模型的语言评价量化
工业设计具有典型的不良定义特性[12],设计目标模糊,对产品造型、风格等定性指标常采用Likert语义量表进行分析。语义量表一般包含奇数个对称的语言等级,令S={sα|α∈{-τ, …, 0, …, τ}}为对称的语言术语集[13], 当τ=3时即为Likert 7级量表: S={s-3: 极差, s-2: 很差, s-1: 差, s0: 一般, s1: 好, s2: 很好, s3: 极好}。对工业设计方案定性语言评价的处理可借助由李德毅院士提出的云模型[14], 其优势在于可将定性语言转化为量化数值。
1.1 云模型
1) 云与云滴
设U是用精确数值表示的定量论域, C是论域U上的定性概念, 若存在定量值x∈U都有一个稳定倾向的随机数μC(x)∈[0, 1], 则称μC(x)为定量值x对定性概念C的隶属度, μC(x)在论域U上的分布即为隶属云[14](简称云), 任一(x, μC(x))为一个云滴。
2) 云的数字特征
为建立定性概念与定量表述间的映射关系, 云模型常用期望Ex、熵En和超熵He表示其数字特征[15-16]。Ex为云滴在论域空间分布的期望值, 即定性概念量化后的平均值, 代表云重心的位置; En为定性概念不确定性的测度, 反映定性概念在定量论域所接受的数值范围, En越大, 则定性概念的模糊程度越大; He为En的熵, 是En的不确定性度量, 反映了云滴的离散程度, He越大, 则云滴的离散程度越大, 表现为云层变厚。研究表明, 大量自然科学中不确定性问题的隶属云期望都近似于正态云[17]。可表示为
1
3) 综合云
设一朵综合云C(Ex, En, He)由m朵云{C1(Ex1, En1, He1), C2(Ex2, En2, He2), …, Cm(Exm, Enm, Hem)}组成, 则
2
式中:λ=(λ1, λ2, …, λm)为m朵云的权重。
1.2 语言评价转换云模型的黄金分割方法
工业设计方案语言评价中, 对由2τ个语言值在有效论域[Xmin, Xmax]上生成的2τ朵云, 采用黄金分割法[18]生成云模型。
1) 期望生成
3
式中, Ex0, Ex-τ和Exτ分别为中间云、最左边云和最右边云的期望值。
根据黄金分割法, 中间云右边第一朵云的期望值为Ex1=Ex0+0.382×(Xmax-Ex0), 中间云左边第一朵云的期望值为Ex-1=Ex0-0.382×(Ex0-Xmin), 则按照Exj+1=Exj+0.382×(Xmax-Exj), Ex-(j+1)=Ex-j-0.382×(Ex-j-Xmin)(1≤j < τ-1)生成剩余所有云的期望值。
2) 熵生成
确定与中间云相邻的左右第一个云模型的熵为En-1=En1=0.382×(Xmax-Xmin)/6, 生成中间云的熵为En0=0.618En1, 则按照Enj+1=Enj/0.618, En-(j+1)=En-j/0.618(1≤j < τ)生成剩余所有云的熵。
3) 超熵生成
给定中间云的超熵He0, 生成中间云左右第一个云模型的超熵He-1=He1=He0/0.618, 按照Hej+1=Hej/0.618, He-(j+1)=He-j/0.618(1≤j < τ)生成剩余所有云的超熵。
2 异构决策信息融合
2.1 异构决策属性的相对优势矩阵
为考虑决策者认知的模糊性与不确定性, 对设计方案的语言评价采用云模型进行转化, 对数值判断采用区间数描述。为避免异构决策信息间规范化带来的数据量级不一致问题, 引入相对优势的理念[10], 分别构建语言值、区间数和实数的相对优势矩阵如下:
1) 语言值相对优势矩阵
对产品造型、风格等决策属性hj(1≤j≤K1), 采用Likert 7级量表(τ=3)定义语言评价等级, 采用云模型将第i(1≤i≤n, n为方案数量)个方案对第j决策属性hj的语言评价值转化为评语云决策矩阵AL=(aij)n×K1, 其中, aij=Cij(Exij, Enij, Heij)。对Cij的ϕ个云滴(x, μC(x)), 用统计量T(Cij)=
表示ϕ个云滴对Cij的贡献值, 若对2朵云Cij和Ci′j′有T(Cij)≥T(Ci′j′), 则云模型Cij优于Ci′j′。其相对优势关系为
4
2) 区间数相对优势矩阵
若对工业设计方案决策属性hs(1≤s≤K2)采用区间数评价, 决策矩阵为AI=(ais)n×K2, 有ais=[aisl, aisu], aisl为区间的下界, aisu为区间的上界。其相对优势矩阵为
5
式中, D(·)为距离算子, 用于计算区间数与0之间的距离, 且
; 1≤i, i′≤n; 当hs为效益型指标时, γ=0;当hs为成本型指标时, γ=1。
3) 实数相对优势矩阵
若对工业设计方案决策属性hq(1≤q≤K3)采用实数参数描述, 决策矩阵为AR=(aiq)n×K3, 其相对优势矩阵为
6
式中: 1≤i, i′≤n; 当hq为效益型指标时, γ=0;当hq为成本型指标时, γ=1。
设W=(w1, w2, …, wK)为各属性的权重向量, 综合K(K=K1+K2+K3)个决策属性的相对优势矩阵[yij(hj)]n×K1, [yis(hs)]n×K2, [yiq(hq)]n×K3, 得到综合判断矩阵Z=(zef)n×n
7
式中, 1≤e, f≤n; (w1, w2, …, wK1), (w1, w2, …, wK2), (w1, w2, …, wK3)分别为语言感知、数值判断与产品设计参数3类决策属性的权重。
2.2 异构决策属性的权重计算
决策属性权重计算常用层次分析法(analytic hierarchy process, AHP)[19], 但其处理的数据是“点”数据或“刚性”数据[20]。而工业设计方案决策具有模糊性, 在两两指标的比较判断中, 将自然语言判断转化为区间数量化而非“刚性”数据具有更好的适应性[21]。
1) 区间标度
根据韦伯-费希纳定律[22], 心理量S是外界刺激量R的对数函数, 即:
8
式中, κ为韦伯常数。(8)式表明, 当刺激强度以几何级数增加时, 心理强度以算术级数增加。基于此, 在工业设计方案决策中, 对决策属性i, j的相对重要性程度用自然语言分为9个等级, 分别为“同等重要”、“稍微重要”、“明显重要”、“非常重要”、“极其重要”及其中间程度等级, 则属性i相对于j的重要性程度可表示为
9
式中, tij=0, ±1, ±2, …, ±8, 为语言等级描述整数; c为相邻2个等级的重要性比率常数。tij对应心理强度
对应外界刺激强度R。对2个语言等级描述整数tij, tjk, 有
反映了外界刺激量变化时心理量的差异。按照9级标度法, 利用“极其重要”确定c值, 则有
, 得到c=
, 从而
。
设两两决策属性对应的自然语言区间数判断矩阵为V=(vij)K×K。其中, vij=[lij, uij], lij, uij(1≤i, j≤K)分别为vij的下界和上界; lij=ctijl, uij=ctiju; lii=uii=1。为易于处理, 使两两判断的模糊水平保持一致, 取tiju-tijl=2, 则有vij∈{[ct-1, ct+1]|t=0, 1, 2, …, 8}。从而得到9级语言标度对应区间数如表 1所示。
2) 最优决策属性权重求解
由于重要度判断矩阵V为指数区间矩阵, 难以达到完全一致性。因此, 需对V进行一致性逼近并获取其确定数值判断矩阵以求解决策属性权重。
设Ṽ=(ṽij)K×K为V的最可能数值矩阵, 满足
; B=(bij)K×K为V逼近后的数值矩阵, 且满足完全一致性, bij∈[lij, uij]。在由V向Ṽ逼近时, 逼近后的数值矩阵B与最可能的数值矩阵Ṽ的偏差为
10
式中, W=(w1, w2, …, wK)为决策属性权重向量,
, 0≤wi≤1。d(B, Ṽ)越小, 则逼近后的数值矩阵B就最接近最可能的数值矩阵Ṽ。据此构建非线性优化模型求解最优决策属性权重向量
11
3) 群体区间标度集结
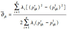
群体意见集结有助于提升属性权重的合理性, 现有研究多采用算数平均或几何平均方法[23], 但常会忽视决策群体意见的一致性。因此, 基于决策群体意见的属性权重求解需要将决策者分歧统一, 将群体决策结果与个人判断之间的差异最小化。
设对决策属性j, k(1≤j, k≤K), 第i(1≤i≤g)个决策者将其对比得到语言判断对应的指数标度区间为pijk=[pijkl, pijkr](pijkl, pijkr∈{0, ±1, ±2, …, ±8}, pijkr-pijkl=2;当j=k时, pijkl=pijkr=0)。将g个决策者的指数标度区间数叠加并令
,
, 则g个决策者的判断形成位于区间[pjmin, pjmax]的随机分布。考虑决策者权重的影响, 建立决策属性j的样本落影函数Fjk(ϑ)
12
式中,
; λi为第i个决策者的权重,
; Fj(ϑ)表示数值ϑ落在各决策属性标度区间的概率。据此, 可计算Fjk(ϑ)的重心位置ϑjk为
13
以Fjk(ϑ)的重心反映决策群体关于属性j的综合判断结果, (13)式可进一步写为
14
决策者权重λi的值可由其对决策指标j的判断指数标度区间数间接反映。一般认为, 决策者的主观判断存在一致性趋势[21], 当决策者数量趋于无穷大时, 各决策指标的相对偏差服从正态分布δi~N(0, σi2)。δi=(δi1, δi2, …, δig)为第i个决策者对决策指标的语言判断指数标度区间数相对于决策群体综合偏好的差异, 且有
15
对σi构建似然函数L(σi2)
16
对(16)式按最大似然估计求解, 得
17
(15) 式反映了第i个决策者对决策属性的判断与决策群体判断的偏离程度, σi2越小则决策者判断水平越高, 决策者权重则越大; 反之亦然。则决策者权重计算如下
18
将(18)式代入(14)式, 可获得K个决策指标群体判断结果的重心ϑjk, 并将其扩展为指数标度区间数[ϑjk-1, ϑjk+1], 根据(8)式进而得到决策群体对各属性的综合判断矩阵, 即可按(10)~(11)式计算决策属性权重。
语言标度所对应区间数
2.3 工业设计方案综合效用值计算
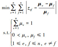
异构决策信息融合得到的工业设计方案综合判断矩阵Z=(zef)n×n仅能反映设计方案在各异构决策属性上的优劣, 难以反映设计方案的综合优劣。为此, 以效用(μ1, μ2, …, μn)向量描述工业设计方案的综合效用, 计算模型如下:
19
式中, μe, μf分别为方案e, f的效用值。(19)式表示, 综合效用值间的优势关系应与综合判断矩阵保持一致, 当其相对综合差值最小时, 综合效用值间能够用以表示方案优劣。
3 实例验证
以某型指挥用控制台工业设计方案决策为例。经前期调研, 输入设计需求为: ①造型美观、富有科技感; ②功能布局合理, 符合人机工效原则; ③加工方便; ④操作工位数不少于3个, 单工位信息显示设备不少于3个, 宽度与厚度尺寸尽量小, 高度不超过185 cm。经工业设计师初步设计得到3个方案, 如图 1所示。
需求方组织结构工程师、用户、管理人员等5名决策者对设计方案进行评估, 设计需求对应的决策属性与标准为: 外观(A)={造型美观(A1), 科技感(A2)}、人机(B)={功能布局合理(B1), 符合人机原则(B2)}、加工(C)={加工难易程度}、约束参数(D)={工位数(D1)、单工位显示设备数(D2)、宽度尺寸(D3)、厚度尺寸(D4)、高度尺寸(D5)}。属性A的决策尺度为语言量表{极差, 很差, 差, 一般, 好, 很好, 极好}、属性B和C的决策尺度为区间数[0, 10]、属性D的决策尺度为反映产品设计参数的实数。其中, 属性D1、D2为效益性指标, 越大越好; 属性D3、D4为成本性指标, 越小越好。
5名决策者对10个决策属性的相对重要性进行评估, 同时对3个方案根据决策属性与尺度进行判断, 得到外观、人机、加工与参数约束的4个一级决策属性的相对重要性指数标度区间见表 2, 二级决策属性相对重要性指数区间如表 3~5所示, 初始决策矩阵如表 6所示。
根据2.2节异构属性权重计算方法, 得到决策者的权重为: 0.210, 0.190, 0.197, 0.193, 0.210。将表 2~表 5中指数标度区间利用第2.2节方法计算得到决策者的综合判断, 如表 7~8所示。
则决策群体对一级决策属性的综合判断矩阵σ1如(20)式所示。
对二级决策属性的综合判断矩阵σ2~σ4分别如(21)式所示。
则一级指标权重为: 0.204, 0.259, 0.301, 0.236;二级指标中外观子属性权重为0.507, 0.493, 人机子属性权重为0.500, 0.500, 约束参数子属性权重为0.196, 0.196, 0.213, 0.205, 0.190。则10个子属性的综合权重为0.103 4, 0.100 5, 0.129 5, 0.129 5, 0.301 0, 0.046 3, 0.046 3, 0.050 3, 0.048 4, 0.044 8。
根据第1节基于云模型的语言值转化方法, 给定论域[0, 100], He0=0.1, 将3个设计方案关于决策属性的语言值分别生成7朵云模型为: 极好(100, 16.7, 0.424)、很好(80.9, 10.31, 0.262)、好(69.1, 6.37, 0.162)、一般(50, 3.93, 0.1)、差(30.9, 6.37, 0.162)、很差(19.1, 10.31, 0.262)、极差(0, 16.7, 0.424)。则将表 6中对决策属性A1和A2语言值转化为云模型矩阵, 如表 9所示。
20
21
根据(4)~(6)式分别计算3个方案在3类异构属性上的相对优势度见表 10。
结合(7)式得到3个指挥用控制台工业设计方案的综合判断矩阵为

根据(19)式, 计算3个方案的效用值为0.334 4, 0.344 6, 0.321 0, 则优劣顺序为: 方案2>方案1>方案3。
为验证本文方法的优势, 与文献[11]中的方法进行对比研究, 将表 6中初始决策矩阵转化为三角模糊数并进行标准化处理, 获取三角模糊数的灰色正、负理想解, 计算各设计方案与正、负理想解的三角模糊灰关联系数ξi+, ξi-(1≤i≤3)为:

计算各方案与灰色正、负理想解的灰色关联度, 进而确定各方案对正理想方案的从属度分别为: 0.47, 0.56, 0.37, 即方案2>方案1>方案3, 与本文方法结果相同。
![]() |
图1 控制台设计方案 |
一级决策属性相对重要性指数标度区间
外观属性相对重要性指数标度区间
人机属性相对重要性指数标度区间
约束参数属性相对重要性指数标度区间
初始决策矩阵
一级决策属性相对重要性决策结果
二级决策属性相对重要性决策结果
语言值云模型矩阵
各方案相对优势度
4 讨论
实例验证以3个指挥用控制台工业设计方案决策为例, 分别从外观、人机、加工与约束参数4个方面进行方案评测, 决策信息涵盖语言值、区间数与实数。借助本文方法进行异构决策信息融合, 结果显示:
1) 对工业设计方案决策的自然语言评测信息, 传统方法多借助模糊理论将其转化为实数、模糊数或区间数, 然后通过归一化进行数据处理, 其本质仍是精确数学[12]。而对设计方案定性、不确定性的语言评价, 反映的是决策者的期望, 以云模型量化语言评价, 是以云滴表现出来的正态分布规律描述, 尽管每次生成的云滴会有差异, 但总的数字化特征不变, 相比于模糊数的“精确化”具有优势, 适用于工业设计方案决策中的语言评价处理。
2) 异构决策信息在工业设计开发中普遍存在, 对异构决策信息的有效融合是提升工业设计方案决策科学性的关键。实例分别建立3个方案在10个异构决策属性上的相对优势矩阵, 关系为: ①对属性A, 优劣顺序为方案1>方案3>方案2;②对属性B, 在B1上优劣顺序为方案1>方案3>方案2;在B2上优劣顺序为方案1>方案2>方案3;③对属性C, 优劣顺序为方案2>方案3>方案1;④对属性D, 在D1上优劣顺序为方案2>方案3=方案1;在D2上优劣顺序为方案2>方案1>方案3;在D3上优劣顺序为方案3>方案2>方案1;在D4上优劣顺序为方案2>方案3>方案1;在D5上3个方案优势度相同。同时, 可以此判断各方案在10个决策属性上的优势程度, 有助于设计师准确把控设计改进方向。
3) 实例以3个设计方案的异构决策信息融合进行验证, 3个方案的综合判断矩阵与效应值反映相同的排序结果。由于综合判断矩阵是根据各异构决策信息的优势度矩阵加权得到, 可能出现综合判断矩阵的上三角矩阵和下三角矩阵同为负或同为正的情形, 此时难以依据综合判断矩阵确定方案优劣顺序, 尤其当设计方案多于3个时更难判断, 需利用综合效用函数计算来解决。
4) 与文献[11]将异构决策信息统一为三角模糊数相比, 虽然最终决策得到设计方案优劣顺序相同, 但在具体决策属性上结果不同。根据ξi+, ξi-(1≤i≤3), 将其与决策者权重加权处理, 可得3个设计方案在各决策属性上与正、负理想解的三角模糊灰关联系数, 进而确定其优劣关系。文献[11]结果与本文研究结果差异表现在: ①对属性A, 在A1上方案1>方案3>方案2, A2上方案1>方案2>方案3;②对属性C, 优劣顺序为方案2>方案1>方案3。说明三角模糊数对语言决策信息的处理与云模型的量化方式存在差异, 而对区间数和实数决策信息的处理上2种方法基本相同。当面对处理评判产品外观属性的语言信息时, 借助云集结算子的优势在于减少集结评价信息时的信息扭曲问题[24], 从而有助避免因决策失误带来的产品开发风险。
5 结论
工业设计的多学科交叉特性使得方案决策过程中常包含语言定性分析、不确定数值判断与针对设计参数的评测等异构信息,对其有效融合有助于提升设计决策过程的客观性、科学性与全面性。针对该问题,本文引入云模型对决策者对工业设计方案的语言感知量化,通过建立相对优势矩阵实现对定性评价的语言值、不确定判断的区间数与产品设计参数进行融合。为适应决策者认知的模糊性与不确定性,建立非线性优化模型求解决策属性的最优决策权重向量,以对群体决策的一致性进行逼近,通过构建效用函数确定工业设计方案的综合优劣。实例验证表明,论文所提方法有助于在工业设计方案决策中有效融合异构决策信息,更好辅助决策者准确、客观把控设计意见。下一步研究将融入工业设计方案详细设计中的结构工艺、受力分析以及用户使用数据等复杂异构信息,以使设计方案决策过程更加科学。
References
- WANG Y, YU S, MA N, et al. Prediction of product design decision making: an investigation of eye movements and EEG features[J]. Advanced Engineering Informatics, 2020, 45(8): 1–10 [Google Scholar]
- DORST K. Co-evolution and emergence in design[J]. Design Studies, 2019, 65: 60–77. [Article] [CrossRef] [Google Scholar]
- MCDONNELL J. Design roulette: a close examination of collaborative decision-making in design from the perspective of framing[J]. Design Studies, 2018, 57: 75–92 [CrossRef] [Google Scholar]
- QI J, HU J, PENG Y H. Integrated rough VIKOR for customer-involved design concept evaluation combining with customers' preferences and designers' perceptions[J]. Advanced Engineering Informatics, 2020, 46: 101138 [CrossRef] [Google Scholar]
- YANG Yanpu. Kansei evaluation method of product form design based on hesitant fuzzy linguistic term sets and particle swarm optimization[J]. Journal of Graphics, 2021, 42(4): 680–687. [Article] (in Chinese) [Google Scholar]
- PEI Huining, TAN Zhaoyun, HUANG Xueqin, et al. Application of concept hierarchy development in multi-attribute decision-making method of product conceptual design[J/OL]. (2021-09-14)[2021-10-15]. [Article] (in Chinese) [Google Scholar]
- GUO F, LI M, HU M, et al. Distinguishing and quantifying the visual aesthetics of a product: an integrated approach of eye-tracking and EEG[J]. International Journal of Industrial Ergonomics, 2019, 71: 47–56. [Article] [CrossRef] [Google Scholar]
- FENG Yixiong, LOU Shanhe, WANG Xupeng, et al. Research on performance-oriented perceptual image evaluation method for customized products[J]. Journal of Mechanical Engineering, 2020, 56(9): 181–190. [Article] (in Chinese) [CrossRef] [Google Scholar]
- MARKUS H. The modified kansei engineering-based application for sustainable service design[J]. International Journal of Industrial Ergonomics, 2020, 79: 102985 [Google Scholar]
- SUN Yu, YAO Peiyang, WAN Lujun, et al. Multiple attribute decision making method based on weights aggregation and relative dominance relation[J]. Control and Decision, 2017, 32(2): 317–322. [Article] (in Chinese) [Google Scholar]
- ZHOU Jiamin, WANG Zhanqing. Method of dynamic hybrid multi-attribute decision based on triangular fuzzy numbers[J]. Journal of Wuhan University of Technology, 2014, 36(1): 121–124. [Article] (in Chinese) [Google Scholar]
- KRUGER C, NIGEL C. Solution driven versus problem driven design: strategies and outcomes[J]. Design Studies, 2006, 27(5): 527–548. [Article] [CrossRef] [Google Scholar]
- RODRÍGUEZ R M, MARTINEZ L, HERRERA F. Hesitant fuzzy linguistic term sets for decision making[C]//Foundations of Intelligent Systems, Advances in Intelligent and Soft Computing, 2011: 287–295 [CrossRef] [Google Scholar]
- LI Deyi, MENG Haijun, SHI Xuemei. Membership clouds and membership cloud generators[J]. Journal of Computer Research and Development, 1995, 32(6): 15–20. [Article] (in Chinese) [Google Scholar]
- DI Peng, NI Zichun, YIN Dongliang. A multi-attribute decision making optimization algorithm based on cloud model and evidence theory[J]. Systems Engineering-Theory & Practice, 2021, 41(4): 1061–1070. [Article] (in Chinese) [Google Scholar]
- LI Deyi. Uncertainty in knowledge representation[J]. Journal of Engineering Science in China, 2000, 2(10): 73–79. [Article] (in Chinese) [Google Scholar]
- WANG Yingchao, JING Hongwen, ZHANG Qiang, et al. A normal cloud model-based study of grading prediction of rockburst intensity in deep underground engineering[J]. Journal of Rock and Mechanics, 2015, 36(4): 1189–1194. [Article] (in Chinese) [Google Scholar]
- XU Xuanhua, WU Huidi. Approach for multi-attribute large group decision-making with linguistic preference information based on improved cloud model[J]. Journal of Industrial Engineering and Engineering Management, 2018, 32(1): 117–125. [Article] [Google Scholar]
- SAATY T L. A scaling method for priorities in hierarchical structures[J]. Journal of Mathematical Psychology, 1977, 15(3): 234–281 [CrossRef] [Google Scholar]
- WU Yuhua, ZHU Wei, LI Xinquan, et al. Interval approach to analysis of hierarchy process[J]. Journal of Tianjin University, 1995, 28(5): 700–705. [Article] (in Chinese) [Google Scholar]
- QU Bing, XIAO Rucheng, ZHONG Jian, et al. Application of improved AHP and group decision theory in bridge assessment[J]. Journal of Central South University, 2015, 46(11): 4204–4210. [Article] (in Chinese) [Google Scholar]
- SAATY T L, VARGAS L G. Models, methods, concepts and applications of the analytic hierarchy process[M]. 2nd ed. New York: Springer, 2001: 27–34 [CrossRef] [Google Scholar]
- OSSADNIK W, SCHINKE S, KASPAR R H. Group aggregation techniques for analytic hierarchy process and analytic network process: a comparative analysis[J]. Group Decision and Negotiation, 2015, 25(2): 421–457 [Google Scholar]
- YOU Jianxin, CHEN Yuting, GONG Huaping, et al. Improving FMEA based on cloud model and hierarchical agglomerative clustering[J]. Journal of Tongji University, 2021, 49(4): 599–605. [Article] (in Chinese) [Google Scholar]
All Tables
All Figures
![]() |
图1 控制台设计方案 |
| In the text | |
Current usage metrics show cumulative count of Article Views (full-text article views including HTML views, PDF and ePub downloads, according to the available data) and Abstracts Views on Vision4Press platform.
Data correspond to usage on the plateform after 2015. The current usage metrics is available 48-96 hours after online publication and is updated daily on week days.
Initial download of the metrics may take a while.

