| Issue |
JNWPU
Volume 41, Number 3, June 2023
|
|
|---|---|---|
| Page(s) | 579 - 586 | |
| DOI | https://doi.org/10.1051/jnwpu/20234130579 | |
| Published online | 01 August 2023 | |
A trajectory optimization method for UAV cascade relay broadcast communication system
无人机级联中继广播通信系统航迹优化方法
Tianjin Key Lab for Advanced Signal Processing, Civil Aviation University of China, Tianjin 300300, China
Received:
7
July
2022
Abstract
An unmanned aerial vehicle's(UAV) trajectory optimization is an important way to improve the performance of its relay communication system. The trajectory optimization method for the UAV cascade relay broadcast communication system that uses the decoding and forwarding protocols is studied. Firstly, the expressions of the signal-to-noise ratio of the UAV and the user are given. Then, a joint trajectory optimization method and a distributed trajectory optimization method for cascaded UAVs based on the minimized maximum user interruption probability are proposed. The transmission performance of the system link that uses the two trajectory optimization methods is studied; the mathematical expressions of the relay communication system's traverse capacity and the outage probability of a single user are given. Finally, the influence of the relay communication system's characteristic parameters on the optimal trajectory of the cascade relay UAV and its performance are verified with computer simulations. The simulation results show that the performance of the two trajectory optimization methods is basically the same, thus verifying the effectiveness of the trajectory optimization criterion.
摘要
无人机航迹优化是提高无人机中继通信系统性能的重要方式之一。针对无人机级联中继广播通信系统, 研究其在译码转发协议下的航迹优化方法。分析给出了无人机和用户的信噪比表达式, 在此基础上提出了基于最大用户中断概率最小化准则的级联无人机航迹联合优化方法和分步优化方法, 研究了2种航迹优化方法下系统链路的传输性能, 给出了系统遍历容量和单个用户中断概率的数学表达式。通过计算机仿真分析验证了系统特征参数对级联中继无人机最优航迹和系统性能的影响。仿真结果表明: 所提2种航迹优化方法性能基本一致, 验证了航迹优化准则的有效性。
Key words: UAV cascade / trajectory optimization / interruption probability / broadcast communication
关键字 : 无人机级联 / 航迹优化 / 中断概率 / 广播通信
© 2023 Journal of Northwestern Polytechnical University. All rights reserved.
This is an Open Access article distributed under the terms of the Creative Commons Attribution License (https://creativecommons.org/licenses/by/4.0), which permits unrestricted use, distribution, and reproduction in any medium, provided the original work is properly cited.
无人机(unmanned aerial vehicle, UAV)中继通信可以有效扩大通信覆盖范围, 克服信道衰落和路径损耗, 保证通信的可靠性[1]; 且UAV具有组网灵活、部署快速、运行成本低等优点, 已成为无线中继通信的重要方式[2]。由多UAV组成的机群协作部署和传输, 能够克服单UAV在载荷能力、续航时间、功率等方面的制约, 更好保证信息传输的可靠性、高效性和稳定性。多无人机协作传输的无线中继通信系统将会成为未来无线通信的一个重要组成部分。
近年来, 围绕UAV动态中继之间的协作问题, 已开展航迹优化[3-9]、资源分配[10]和网络优化[11]等多方面的研究。本文将围绕无人机航迹优化方法进行相关研究。针对点对点UAV级联中继通信系统航迹优化问题, 文献[3]基于端到端信噪比最大化准则, 比较了译码转发(decode-and-forward, DF)和放大转发(amplify-and-forward, AF)2种转发协议下系统的中断概率和误码率。文献[4]对于有缓存和无缓存的多跳中继网络, 给出了在传输功率较大区域内的渐近中断概率和误码率, 并验证了缓存的使用可以为UAV系统提供可靠和低延迟的通信。文献[5]基于通信链路遍历容量最大化准则提出UAV航迹优化方法。文献[6]提出一种利用人工势场法以系统容量最大化为优化准则的UAV航迹优化方法, 但没有研究信道衰落对系统性能的影响。文献[3-6]在系统建模中只考虑了单个用户, 没有考虑多UAV在多用户情况下的航迹优化问题。然而, 对于UAV中继通信系统的研究, 多用户场景的广播通信比单用户场景更具有现实意义。
针对UAV中继广播通信系统航迹优化的研究, 目前主要面向单UAV中继广播通信系统。如文献[7]基于公平吞吐量最大化准则, 提出了旋翼UAV航迹优化方法, 但该系统只分析了UAV和用户之间的链路, 没有研究基站到UAV之间的链路对系统的影响。文献[8]基于各链路加权和遍历容量最大化准则提出了UAV航迹优化方法。文献[9]以平均中断概率最小化为准则对UAV进行航迹优化, 并定量分析了无人机的系统性能。当前对于多UAV协作传输的广播通信系统的航迹优化方法及其对系统整体性能的研究很少见诸于公开文献资料。
本文研究了UAV级联中继在静态用户广播通信系统中的航迹优化问题, 在DF协议下基于最大用户中断概率最小化准则给出了联合优化和分步优化2种UAV航迹优化方法, 推导出用户链路中断概率和系统容量表达式, 最后通过计算机仿真验证了所提航迹优化方法的正确性。
1 UAV级联中继广播通信系统
1.1 系统模型
图 1为无人机级联中继广播通信系统示意图。系统由固定地面基站(base station, BS)、2架固定翼无人机(分别记为UAV1和UAV2)及N个用户Ui(i=1, …, N)节点等四部分组成, 其中N个用户节点分布在地面圆形服务区内。假设BS与用户Ui节点之间有较远的通信距离, 无法进行直接通信, 需要借助2架中继UAV级联实现BS到用户节点的通信。此外, 所有通信节点均为单天线, 且2架UAV均采用DF协议进行中继通信。
![]() |
图1 无人机级联中继广播通信系统示意图 |
1.2 信号模型
BS节点发送的信号通过3个时隙传输到用户节点。在第一个时隙, BS节点发送信号至UAV1, 则UAV1接收信号为
(1)
式中:PB为BS的发射功率; hBR1为BS与UAV1之间的信道衰落系数; sB为BS的发射信号, 其满足E{|sB|2}=1;nBR1为UAV1在第1个时隙接收到的复高斯白噪声, 其服从均值为零, 方差为σB2的复高斯分布。
在第二个时隙, UAV1将接收到的信号解码处理, 重新编码后发送给UAV2, 则UAV2接收信号为
(2)
式中:PR1为UAV1的发射功率; hR1R2为UAV1与UAV2之间的信道衰落系数; sR1为UAV1的发射信号, 其满足E{|sR1|2}=1;nR1R2为UAV2接收到的复高斯白噪声, 服从均值为零, 方差为σR12的复高斯分布。
在第3个时隙, UAV2将接收到的信号通过解码、编码, 广播发送至用户节点Ui(i=1, …, N), 则用户Ui节点接收信号为
(3)
式中:PR2为UAV2的发射功率; hR2i为UAV2与用户Ui之间的信道衰落系数; sR2为UAV2的发射信号, 满足E{|sR2|2}=1;nR2i为用户节点Ui接收到的复高斯白噪声, 其均值为零, 方差为σR22。
1.3 UAV1、UAV2与用户节点的输入瞬时信噪比
BS~UAV1、UAV1~UAV2、UAV2~用户Ui节点链路之间为瑞利衰落信道, 建模为
(4)
式中:dβ为各节点之间的距离; α为信道的损耗因子; gβ~CN(0, 1)为信道小尺度衰落系数。
根据(1)~(4)式, 可以得到UAV1、UAV2和用户Ui节点的瞬时信噪比分别为
(5)
(6)
(7)
式中,
, x=B, R1, R2。
(5)~(7)式表明: γR1通过距离dBR1和信道的小尺度衰落系数gBR1联合确定; γR2通过距离dR1R2和信道的小尺度衰落系数gR1R2联合确定; γi通过距离dR2i和信道的小尺度衰落系数gR2i联合确定。
2 中继UAV级联航迹优化方法
在UAV级联中继广播通信系统中, 实时优化UAV1和UAV2的航迹, 以获取最佳的通信性能。本文基于最大用户中断概率最小化准则给出UAV级联中继的联合优化方法和分步优化方法的航迹优化方法。联合优化方法是同时优化UAV1和UAV2的航向角, 分步优化方法是先优化UAV1的航向角, 然后再优化UAV2的航向角。
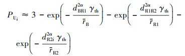
2.1 用户中断概率
图 1所示级联UAV系统中用户Ui节点的中断概率为
(8)
式中:PBR1, PR1R2与PR2i分别为BS~UAV1、UAV1~UAV2和UAV2~用户Ui节点链路的中断概率。由于PBR1, PR1R2和PR2i取值较低, (8)式近似为[9]
(9)
利用(5)~(7)式, 可计算得到用户Ui节点的近似中断概率为
(10)
将(10)式进行泰勒展开, 取第一项代入(10)式, 则用户节点的中断概率化简为
(11)
(11) 式表明: 影响用户Ui节点中断概率的主要因素为各节点之间的距离(dBR1, dR1R2, dR2i)。
2.2 联合优化方法
为了定量分析, 建立三维直角坐标系如图 1所示, 计算各节点之间距离, 假设t时刻BS、UAV和用户Ui节点的坐标矢量分别为b =[xb, yb, 0]T, rRm, t=[xRm, t, xRm, t, hRm, t]T(m=1, 2)和ui=[xi, yi, 0]T。假设UAV中继在t-Δτ时刻的位置坐标为rRm, t-Δτ=[xRm, t-Δτ, xRm, t-Δτ, hRm, t-Δτ]T(m=1, 2), 根据固定翼UAV的运动模型, 其在t时刻的坐标可表示为[12]
(12)
式中, υRm为UAV的飞行速度; Δτ为中继位置更新的时间间隔; δRm, t为t时刻中继UAV的航向角, 且δRm, t-δRm, t-Δτ ≤δmax, δmax表示最大转弯角, 这里假设UAV1和UAV2的最大转弯角相同。结合(12)式, dBR1, dR1R2与dR2i可以分别表示为
(13)
(14)
(15)
(12)~(15)式表明: t时刻用户Ui节点的中断概率只取决于UAV的航向角δRm, t。
为了使t时刻级联UAV中继广播通信系统性能最优, 基于最大用户中断概率最小化准则优化UAV的航向角[13], 则上述优化问题表示为
(16)
(16) 式中的优化问题可以进一步表示为[14]
(17)
其中p大于零,(17)式中的优化问题是含有约束条件的二维非线性优化问题, 该问题可以通过二维搜索算法在[δRm, t-Δτ-δmax≤δRm, t≤δRm, t-Δτ+δmax]内找到最佳航向角。
2.3 分步优化方法
2.3.1 UAV1航迹优化问题
在无人机级联中继广播通信系统中, 在单个位置更新间隔内, 无人机的空间位置改变量较小, 因此在优化UAV1的航向角时, 可近似认为UAV2空间位置没有产生变化, 此时仅需要对BS~UAV1~UAV2链路来优化UAV1的航向角δR1, t; 再以优化得到的δR1, t为基础, 针对BS~UAV1~UAV2~用户节点Ui链路来优化UAV2的航向角δR2, t。
由(5)~(6)式可以得到t时刻BS~UAV1~UAV2链路的中断概率为
(18)
考虑到在位置更新的时间间隔内, UAV2的移动距离相对较小, 因此, dR1R2由t时刻UAV1的位置坐标rR1, t和t-Δτ时刻UAV2的位置坐标rR2, t-Δτ确定, 即dR1R2可以表示为
(19)
式中

(13)~(14)和(19)式表明: 在t-Δτ时刻UAV1的位置rR1, t-Δτ给定后, t时刻的dBR1, t和dR1R2, t仅由UAV1的航向角δR1, t决定, 则t时刻BS~UAV1~UAV2链路的中断概率Pt仅取决δR1, t。因此, 为使t时刻该链路的中断概率最小, 基于BS~UAV1~UAV2链路中断概率最小化准则优化UAV1的航向角, 该优化问题表示为
(20)
(20) 式描述的优化问题是含约束条件的一维非线性优化问题, 该问题可以通过一维搜索算法在[δR1, t-Δτ-δmax≤δR1, t≤δR1, t-Δτ+δmax]内找到最佳航向角。
2.3.2 UAV2航迹优化问题
当UAV1在t时刻的最佳航向角被确定后, 级联UAV系统的中断概率仅由UAV2的航向角决定。为使系统中断概率最低, 针对BS~UAV1~UAV2~用户Ui节点链路, 以用户最大中断概率最小化为准则优化UAV2的航向角。因此, (17)式的优化问题可以等效为
(21)
根据(20)式可得到UAV1的最佳航向角, 将其代入(12)式, 得到UAV1的位置坐标, 然后求得t时刻BS~UAV1的距离dBR1, t, 则dR1R2, t和dR2i, t为(21)式优化问题的主要影响因素。假设UAV2节点在t-Δτ时刻可通过卡尔曼滤波确定UAV1在t时刻的坐标R1, t, 则dR1R2, t可以表示为
(22)
式中

(22) 式表明: 在t-Δτ时刻UAV2的位置rR2, t-Δτ给定后, dR1R2, t和dR2i, t仅由t时刻UAV2航向角δR2, t决定, 因此, (21)式的优化问题进一步等效为
(23)
(23) 式的优化问题是一维约束的非线性优化问题, 该问题通过一维搜索算法在[δR2, t-Δτ-δmax≤δR2, t≤δR2, t-Δτ+δmax]内找到最佳航向角。
2.4 算法复杂度分析
算法1 联合优化算法
1. 输入: b, rRm, t(m=1, 2), T=200 s、用户数N等所需参数, 初始化BS、UAV1、UAV2的位置。
2. while t < T do
3. for i=1, 2, …, N do
4. 计算dBR1, t, dR1R2, t, dR2i, t, 代入(11)式计算中断概率
5. end for
6. 确定UAV1航向角取值范围的长度Lδ1
7. 确定UAV2航向角取值范围的长度Lδ2
8. for k=1: Lδ1 do
9. for s=1: Lδ2 do
10. 用(13)~(15)式表示dBR1, t, dR1R2, t, dR2i, t, 求解(17)式
11. end for
12. end for
13. 由最大最小优化准则求出UAV1的最优航向角δR1opt, UAV2的最优航向角δR2opt
14. 根据无人机运动方程实时优化无人机航迹
15. end while
16. 输出: 全局极值
联合优化方法运算复杂度主要由两部分决定: ①计算用户Ui节点的中断概率PUi; ②以最大-最小准则得到的优化表达式求解。根据公式(11)和(17)表示形式可知, 两部分运算复杂度分别为O(N)和O(Lδ1Lδ2N)。因此在每次迭代运算中, 联合优化方法的运算复杂度为O(Lδ1Lδ2N+N)。在算法实现中, 由于Lδ1=Lδ2>N, 故联合优化方法的运算复杂度为O(L2δ1N)。同理, 可得到分步优化方法的运算复杂度为O(Lδ1N)。因此, 分步优化方法的复杂度比联合优化方法的复杂度低。
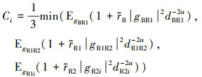
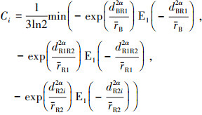
2.5 系统遍历容量
根据(5)式, 可得到BS~UAV1中继节点链路的瞬时容量为
(24)
根据(6)式, 可得到UAV1~UAV2中继节点链路的瞬时容量为
(25)
根据(7)式, 可得到UAV2~用户Ui节点链路的瞬时容量为
(26)
由(24)~(26)式可以得到, UAV级联中继广播通信系统第i条链路的各态历经性容量可以表示为
(27)
式中, E[·]代表均值。CR1, CR2和CUi分别是关于gBR1, gR1R2和gR2i的独立分布函数。(27)式可以进一步表示为
(28)
将(5)~(7)式代入(28)式, 得到:
(29)
由于E[log2(1+X)]=∫0∞log2(1+x)fX(x)dx, 可以得到
(30)
通过上述分析, UAV级联中继广播通信系统所有链路总的遍历容量(简称: 系统遍历容量)为
(31)
3 数值仿真
3.1 仿真参数
为了验证本文所提级联UAV中继广播通信航迹优化方法的有效性, 构建级联UAV中继广播通信系统仿真平台, 主要参数如下: BS节点坐标为[4 500, 400, 0], UAV1和UAV2的初始位置坐标分别为[3 500, -400, 300]与[400, -500, 300]; 圆形服务区域半径设为120 m, 用户数为240;UAV1和UAV2的飞行速度设为40 m/s, 其最大转弯角为10°, 位置更新周期为1 s; 中断概率门限设为4.8 dB, BS、UAV1和UAV2节点的发射功率与噪声功率的比值为
; 系统路径损耗因子设为1[12]; 系统仿真时间为200 s。
3.2 仿真结果
图 2显示UAV采用联合优化方法和分步优化方法分别得到的UAV最优航迹、用户平均中断概率及系统遍历容量。仿真结果说明: 采用联合优化方法与分步优化方法所得到的UAV1和UAV2的最优航迹、用户平均中断概率和系统遍历容量曲线几乎重合, 表明了所提方法的正确性。2种优化方法都是根据UAV运动模型将中断概率表示成含有航向角的表达式, 利用最大用户中断概率最小化准则优化2架UAV的航向角, 且仿真参数条件设置相同。所以联合优化与分步优化的性能几乎相同。
图 3显示联合优化方法下最大转弯角对UAV最优航迹和系统性能的影响。仿真结果说明: ①随着最大转弯角增大, UAV圆形飞行轨迹的半径减小, 约为蓝色圆形轨迹半径的1/2;②随最大转弯角的增大, 用户平均中断概率减小, 系统遍历容量增大, 级联UAV系统性能提高, 但无明显差别。
图 4显示联合优化方法下路径损耗因子对UAV最优航迹、用户平均中断概率和系统遍历容量的影响。仿真结果说明: ①随着路径损耗因子增大, UAV飞行轨迹发生变化, 但圆形飞行轨迹的半径保持不变; ②路径损耗因子从1增大到1.1, 用户平均中断概率提高约4.3倍, 系统遍历容量减少约为27%, 级联UAV系统的性能明显下降。
图 5显示出了各节点发射功率与噪声功率的比值对UAV最优航迹、用户平均中断概率和系统遍历容量的影响。仿真结果表明: ①随着发射功率与噪声功率比值的增大, UAV1飞行轨迹不变, UAV2飞行轨迹发生小的变化; ②发射功率与噪声功率的比值对中继通信系统性能影响较大, 该值从90 dB增加到95 dB时, 用户平均中断概率减小约为68%, 系统遍历容量提高约为1.2倍, 级联UAV系统的性能明显提高。
图 3~5所示的Monte-Carlo(MC)仿真曲线与理论仿真曲线变化规律基本一致, 验证了本文推导的系统遍历容量和单个用户中断概率数学表达式的正确性。
![]() |
图2 联合优化与分步优化对比 |
![]() |
图3 最大转弯角对无人机最优航迹及系统性能的影响 |
![]() |
图4 路径损耗因子对无人机最优航迹及系统性能的影响 |
![]() |
图5 发射功率与噪声功率的比值对无人机最优航迹及系统性能的影响 |
4 结论
针对UAV级联中继广播通信系统航迹优化问题, 给出了联合优化方法和分步优化方法, 并通过计算机仿真验证了所提方法的有效性。主要研究结论如下: ①联合优化方法和分步优化方法得到的中断和容量性能无明显差别; ②路径损耗因子和各节点发射功率与噪声功率的比值对系统的中断概率和遍历容量影响较大。
References
- LIU T, CUI M, ZHANG G, et al. 3D trajectory and transmit power optimization for UAV-enabled multi-link relaying systems[J]. IEEE Trans on Green Communications and Networking, 2020, 5(1): 392–405 [Google Scholar]
- MIAO W, LUO C, MIN G, et al. Lightweight 3-D beamforming design in 5G UAV broadcasting communications[J]. IEEE Trans on Broadcasting, 2020, 66(2): 515–524. [Article] [CrossRef] [Google Scholar]
- CHEN Y, LIU X, ZHAO N, et al. Using multiple UAVs as relays for reliable communications[C]//2018 IEEE 87th Vehicular Technology Conference, 2018: 1–5 [Google Scholar]
- LI X, CHEN K, HOU H, et al. Cache-aided multi-hop UAV-relaying networks[J]. Physical Communication, 2019, 33: 165–171. [Article] [CrossRef] [Google Scholar]
- LIU Haitao, FANG Xiaoyu, GU Xinyu, et al. Path planning method for UAV cascaded relay communication[J]. Journal of Civil Aviation University of China, 2020, 38(2): 1. [Article] (in Chinese) [Google Scholar]
- ZHU Ming, CHEN Yueyue, CAI Zhiping, et al. Using unmanned aerial vehicle chain to improve link capacity of two mobile nodes [C]//2015 IEEE International Conference on Mechatronics and Automation, Piscataway, New Jersey, 2015: 494–499 [Google Scholar]
- DING R, GAO F, SHEN X S. Deep reinforcement learning based 3D UAV trajectory design and frequency band allocation[C]//2020 IEEE Global Communications Conference, 2020: 1–6 [Google Scholar]
- LI D, LI C, LIU H. Path-optimization method for UAV-aided relay broadcast communication system[J]. Physical Communication, 2018, 31: 40–48. [Article] [CrossRef] [Google Scholar]
- LI Dongxia, LI Chunming, ZHAO Wenqiang, et al. Trajectory optimization method for the UAV relaying broadcast communication system[J]. Journal of Xidian University, 2018, 45(3): 143–148. [Article] (in Chinese) [Google Scholar]
- LIU X, DU W. Energy-efficiency-based power allocation scheme in multi-user single-DF-relay cognitive networks[J]. Wireless Personal Communications, 2020, 114(3): 1927–1941. [Article] [CrossRef] [Google Scholar]
- LEI M, ZHANG X, YU B, et al. Throughput maximization for UAV-assisted wireless powered D2D communication networks with a hybrid time division Duplex/frequency division duplex scheme[J]. Wireless Networks, 2021, 27(3): 2147–2157. [Article] [CrossRef] [Google Scholar]
- OUYANG J, ZHUANG Y, LIN M, et al. Optimization of beamforming and path planning for UAV-assisted wireless relay networks[J]. Chinese Journal of Aeronautics, 2014, 27(2): 313–320. [Article] [CrossRef] [Google Scholar]
- LI Chunming. Performance optimization methods for UAV-aided relay broadcast communication system[D]. Tianjin: Civil Aviation University of China, 2018 (in Chinese) [Google Scholar]
- XIAO Y, YU B. A truncated aggregate smoothing Newton method for minimax problems[J]. Applied Mathematics and Computation, 2010, 216(6): 1868–1879. [Article] [CrossRef] [Google Scholar]
All Figures
![]() |
图1 无人机级联中继广播通信系统示意图 |
| In the text | |
![]() |
图2 联合优化与分步优化对比 |
| In the text | |
![]() |
图3 最大转弯角对无人机最优航迹及系统性能的影响 |
| In the text | |
![]() |
图4 路径损耗因子对无人机最优航迹及系统性能的影响 |
| In the text | |
![]() |
图5 发射功率与噪声功率的比值对无人机最优航迹及系统性能的影响 |
| In the text | |
Current usage metrics show cumulative count of Article Views (full-text article views including HTML views, PDF and ePub downloads, according to the available data) and Abstracts Views on Vision4Press platform.
Data correspond to usage on the plateform after 2015. The current usage metrics is available 48-96 hours after online publication and is updated daily on week days.
Initial download of the metrics may take a while.





