| Issue |
JNWPU
Volume 41, Number 6, Decembre 2023
|
|
|---|---|---|
| Page(s) | 1221 - 1228 | |
| DOI | https://doi.org/10.1051/jnwpu/20234161221 | |
| Published online | 26 February 2024 | |
Effect research of fuel injection and pressurization pulse width on injection characteristics of ultra high pressure common rail system
喷油与增压脉宽对超高压共轨系统喷油特性的影响研究
1
College of Power Engineering, Naval University of Engineering, Wuhan 430033, China
2
Ship Comprehensive Test and Training Base, Navy University of Engineering, Wuhan 430033, China
Received:
6
December
2021
Abstract
Ultra high pressure common rail system can realize adjustable injection rate by controlling the relationship between fuel injection and pressurization timing, and then affect the fuel injection characteristics of diesel engine. In order to ascertain the effect law and its formation mechanism of the fuel injection and pressurization pulse width on the fuel injection characteristics of ultra high pressure common rail system, on the basis of introducing the mathematical model of the system, the simulation model of ultra high pressure common rail system was established, and the accuracy of the model was verified by performance experiment, the effect of fuel injection and pressurization pulse width on the fuel injection characteristics of the system under different common rail pressure were analyzed. The results show that with the increase of fuel injection pulse width, the shape of fuel injection rate curve is similar to saddle shape and the proportion of large fuel injection rate range in the whole injection process increases gradually. At the same time, the fuel injection opening delay remains unchanged, but the fuel injection closing delay increases significantly when the fuel injection pulse width is small (0.6~1 ms), while it remains basically unchanged when the fuel injection pulse width is large (1~1.4 ms). With the increase of pressurization pulse width, the shape of fuel injection rate curve is similar to saddle shape and remains unchanged under the condition of small injection pulse width, while the fuel injection rate curve shape may appear similar to the "inverted saddle-shaped" under the condition of large injection pulse width, this is due to the rapid decrease of pressurization pressure caused by the closing of the solenoid valve control signal in the pressure-amplifier device before the end of fuel injection.
摘要
超高压共轨系统能够通过控制喷油与增压时序之间的关系,实现可调喷油速率喷射,进而影响柴油机喷油特性。为探明喷油与增压脉宽对超高压共轨系统喷油特性的影响规律和成因机理,在介绍系统数学模型的基础上,建立了超高压共轨系统的仿真模型,并利用性能试验验证了模型的准确性,分析了在不同共轨压力下,喷油与增压脉宽对超高压共轨系统喷油特性的影响。结果表明:①随喷油脉宽的增加,喷油速率曲线形态均近似于靴形,且大喷油速率范围占整个喷油过程的比例逐渐增大,同时,喷油开启延迟保持不变,喷油关闭延迟在喷油脉宽较小时(0.6~1 ms),增加幅度明显,而在喷油脉宽较大时(1~1.4 ms),基本保持不变。②随着增压脉宽增加,在小喷油脉宽条件下,喷油速率曲线形态近似于靴形,且保持不变;但在大喷油脉宽条件下,喷油速率可能会出现类似于“倒靴形”的曲线形态,这是由于在喷油还未结束时,增压装置电磁阀控制信号的关闭造成增压压力迅速下降。
Key words: fuel injection pulse width / pressurization pulse width / ultra high pressure common rail system / fuel injection characteristics
关键字 : 喷油脉宽 / 增压脉宽 / 超高压共轨系统 / 喷油特性
© 2023 Journal of Northwestern Polytechnical University. All rights reserved.
This is an Open Access article distributed under the terms of the Creative Commons Attribution License (https://creativecommons.org/licenses/by/4.0), which permits unrestricted use, distribution, and reproduction in any medium, provided the original work is properly cited.
高压共轨系统能够基于对共轨压力的闭环控制,实现供油和喷油过程的相对独立[1-3],已成为柴油机节能减排发展的前沿技术,更柔性可控的喷油规律则是高压共轨系统优化过程中的发展方向[4-5]。然而,常规的共轨系统要求保持油压不变,喷油规律呈矩形,无法实现喷油规律的灵活改变。基于此,海军工程大学设计了增压装置[6],并将其加装在常规高压共轨系统的共轨管和喷油器之间,构成超高压共轨系统, 该系统采用双电磁阀控制,分别用于控制增压装置和喷油器,通过调整增压装置和喷油器电磁阀的相对控制信号时序,能够实现柔性可控的喷油规律[7]。
众所周知,想要提升柴油机经济性且降低排放,就必须要改善燃烧过程,而燃烧过程与共轨喷射系统的喷油特性直接相关[8-9],国内外学者围绕共轨系统的喷油特性进行了相关研究,Dong等[10]对不同喷油压力和喷嘴结构下的高压气体喷射过程进行了试验研究,并且利用纹影成像方法研究了气体射流的宏观结构。结果表明:提高喷油压力并不能明显提高喷嘴的穿透力,同时,孔径的增大不能直接改善引气效果,也不能提高燃气射流的平均当量比;Yu等[11]利用试验和数值仿真相结合的方法,介绍了在高喷油压力和背压条件下,不同喷孔在喷嘴内部流动和喷雾特性上的差异,结果表明:相比于圆形喷孔,椭圆形喷孔具有更大的喷雾锥角和更短的喷雾贯穿距。范立云等[12]以电控单体泵为研究对象,分析了系统喷射特性随结构参数的变化规律,结果表明:对喷油压力、循环喷油量以及喷油持续期影响最为明显的结构参数分别为凸轮速度、喷油器流量以及柱塞直径。但上述研究都集中在喷油器控制和结构参数对喷油特性的影响方面,超高压共轨系统能够同时调整增压装置和喷油器控制参数,二者的控制参数如何影响共轨系统的喷油特性还未系统解析和探明,故开展喷油与增压脉宽对超高压共轨系统喷油特性的影响研究,对实现燃油喷射的精确控制以及柴油机性能的整体提升具有重要意义。
基于此,本文为探明喷油与增压脉宽对超高压共轨系统喷油特性的影响规律和成因机理,在介绍系统数学模型的基础上,建立了超高压共轨系统的仿真模型,并利用性能试验验证了模型的准确性,分析了在不同共轨压力下,喷油与增压脉宽对超高压共轨系统喷油特性的影响。
1 超高压共轨系统模型建立及验证
1.1 数学模型
根据超高压共轨系统的结构和工作原理[7]可知,建立其数学模型时,主要分为增压装置和喷油器两大部件。
1.1.1 增压装置
根据增压装置的工作原理,可将其分为液压腔和运动件两部分。
1) 液压腔
增压装置的液压腔主要包括控制室和增压室,基于流体的可压缩性方程、伯努利方程以及泄漏方程[13],对于控制室,其燃油连续性方程可表示为
(1)
式中:Vcon为控制室容积;pc为控制室压力;Q1为基压室至控制室的油量;Q2为控制室至电磁阀室的油量;Q3为控制室泄油量;Scon为控制室截面积; hp为升程。
同理,对于增压室,其燃油连续性方程表示为
(2)
式中:Vzy是增压室容积;pz是增压压力;Q4为基压室到增压室的油量;Q5是增压室泄油量;Q6为增压室到喷油器的油量; Az是增压活塞小端面积;h为增压活塞行程。
2) 运动件
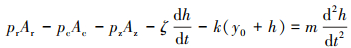
增压装置的运动件主要是指增压活塞,其运动方程可表示为
(3)
式中:pr为基压室压力;Ar为增压活塞大端面积;Ac为控制室活塞受力面积;ζ为增压活塞阻力系数;m为增压活塞质量;k为复位弹簧刚度;y0为复位弹簧预压缩量。
1.1.2 喷油器
喷油器数学模型也可分为液压腔和运动件两大类,需要建立的方程主要包括控制室、压力室内燃油连续性方程,针阀运动方程等,由于其数学模型的建立过程与增压装置相似,故此处不再详细说明。
1.2 仿真模型
基于增压装置和喷油器的数学模型,建立的超高压共轨系统仿真模型如图 1所示。
![]() |
图1 超高压共轨系统仿真模型 |
模型主要由增压装置模型和喷油器模型两大部分组成。其中,模块23为高压源,用于替代高压油泵和共轨管,为系统提供稳定的共轨压力;模块8, 9分别为阀芯带环槽活塞和阀芯右侧锥头,这是两位三通滑阀式电磁阀的重要部件;模块12, 14以及15分别为增压装置的基压室、控制室以及增压室;模块28~31构成了喷油器针阀组件;模块34和36则分别为喷油器的控制室和压力室。模型中增压装置和喷油器的主要仿真参数分别如表 1~2所示。
增压装置参数
喷油器参数
1.3 模型验证
为验证仿真模型的准确性,利用超高压共轨系统性能试验台架,进行了喷油速率的测试,试验台架原理图如图 2所示。
![]() |
图2 超高压共轨系统性能试验台架原理图 |
试验台架主要由超高压共轨系统、电控单元、喷油规律测试仪以及数据采集系统等组成,利用喷油规律测试仪可以测量出喷油速率,通过数据采集系统能够实时采集喷油速率的测量结果。试验过程中,工况设置为:高压油泵转速750 r/min,共轨管压力100 MPa,增压装置电磁阀控制信号范围为1.6~3 ms,喷油器电磁阀控制信号范围为1~2 ms。仿真工况与试验工况保持一致。
喷油速率的仿真结果与试验结果对比如图 3所示,由图可知,喷油速率的试验值和仿真值基本吻合,均呈现出靴型喷油速率曲线形态,证明了仿真模型的准确性。试验所得喷油速率达到峰值的时间大于仿真值是由试验中电磁阀控制电流达到峰值的时间大于仿真值造成,此外,仿真得出喷油速率峰值稍大于实测值的原因是仿真得出的喷油压力大于实测值。
![]() |
图3 喷油速率仿真结果与试验结果对比图 |
2 仿真结果与分析
2.1 喷油脉宽对系统喷油特性的影响
2.1.1 喷油脉宽对喷油规律的影响
当增压脉宽为1 ms(增压装置电磁阀控制信号范围为1.5~2.5 ms),控制时差(增压装置电磁阀控制信号开始时刻与喷油器电磁阀控制信号开始时刻之差,下同)为0.5 ms时(即喷油器电磁阀控制信号开始时刻为1 ms),在不同共轨压力下,喷油脉宽对喷油规律的影响如图 4所示。由图可知,在3个不同的轨压下,随着喷油脉宽的增加,喷油速率曲线形态均近似于靴形(即有一个明显的拐点),且大喷油速率范围占整个喷油过程的比例逐渐增大。这是由于喷油在增压之前开始,即在喷油的过程中会由于增压装置的增压作用使得增压室压力升高,压力随即通过高压油管传递到喷油器的压力室中,使得喷油压力在某一时刻上升速度突然增大,进而造成喷油速率上升速度突然增大,故其曲线形态会出现一个明显的拐点,近似于靴形,且喷油脉宽越长,保持大喷油速率的时间越长。值得注意的是,喷油脉宽为0.6 ms时,没有出现靴形喷油速率曲线形态,且其最大喷油速率明显偏低,这是由于在增压压力传递到喷油器压力室之前,喷油过程已经结束了。同时由图可以看出,当喷油脉宽大于1 ms后,喷油速率已经达到最大值,且基本保持稳定,这是针阀升程已经达到最大造成的。且随着共轨压力的升高,最大喷油速率逐渐升高,共轨压力每升高10 MPa,最大喷油速率升高0.45 L/min左右。
![]() |
图4 喷油脉宽对喷油规律的影响 |
2.1.2 喷油脉宽对喷油压力的影响
在不同共轨压力下,喷油脉宽对喷油压力的影响如图 5所示,由图可知,当喷油脉宽在0.4~1 ms时,随着喷油脉宽增加,喷油压力逐渐升高,且共轨压力越高,喷油压力升高速率越大,这是由共轨压力的升高使得针阀上升速度加快导致。当喷油脉宽大于1 ms后,喷油压力基本保持在稳定值,这是因为针阀升程已经达到最大。
![]() |
图5 喷油脉宽对喷油压力的影响 |
2.1.3 喷油脉宽对喷油开启和关闭延迟的影响
在不同共轨压力下,喷油脉宽对喷油开启延迟和喷油关闭延迟的影响如图 6所示。由图可知,随着喷油脉宽的增加,喷油开启延迟保持不变,喷油关闭延迟在喷油脉宽较小时(0.6~1 ms),增加幅度明显,而在喷油脉宽较大时(1~1.4 ms),基本保持不变,即存在一个明显的拐点。
![]() |
图6 喷油脉宽对喷油开启延迟和关闭延迟的影响 |
为解释上述现象出现的原因,分析了共轨压力为100 MPa时,不同喷油脉宽下的针阀升程曲线(见图 7)。从图中可以看出,随着喷油脉宽的增加,针阀的上升速度不变,因此喷油开启延迟不变。当喷油脉宽较小时(0.6~1 ms),由于针阀没有达到最大升程,喷油脉宽的增加使得针阀运动距离增加,其落座过程的运动时间也相应增加,故喷油关闭延迟的增加幅度明显,当喷油脉宽较大时(1~1.4 ms),针阀已经达到最大升程,且针阀下降速度基本相同,因此使得喷油关闭延迟基本保持不变。值得注意的是,在喷油脉宽为0.8 ms时,针阀在下降过程有一段突然回升再继续下降的过程,这是由于在针阀下降过程中,增压压力刚好传递到喷油器的压力室所引起的。
![]() |
图7 不同喷油脉宽下的针阀升程(共轨压力为100 MPa) |
2.1.4 喷油脉宽对喷油量的影响
在不同共轨压力下,喷油脉宽对喷油量的影响如图 8所示,由图可知,随着喷油脉宽的增加,喷油量逐渐增大, 且增大幅度明显。在共轨压力分别为80, 90以及100 MPa时,喷油脉宽每增加0.2 ms,喷油量增大幅度分别为78.9%, 63.3%以及69.6%,这是由喷油脉宽的增加使得喷油持续期增加导致,从喷油速率曲线的包络线面积也能够看出这种变化趋势。同时由图可以看出,当喷油脉宽较小时(0.6~1 ms),喷油量随喷油脉宽变化的线性度较差,而在喷油脉宽较大时(1~1.4 ms),喷油量与喷油脉宽基本上呈线性关系,即存在一个拐点。
![]() |
图8 喷油脉宽对喷油量的影响 |
2.2 增压脉宽对系统喷油特性的影响
2.2.1 小喷油脉宽条件
当喷油脉宽为0.8 ms(喷油器电磁阀控制信号范围为1~1.8 ms),控制时差为0.5 ms时(即增压装置电磁阀控制信号开始时刻为1.5 ms),在不同共轨压力下,增压脉宽对喷油规律的影响如图 9所示。
![]() |
图9 增压脉宽对喷油规律的影响 |
由图可知,随着增压脉宽的增加,喷油速率曲线形态近似于靴形,且保持不变。
为解释上述现象出现的原因,以共轨压力为100 MPa为例,分析了不同增压脉宽下的喷油器压力室压力曲线(见图 10)。由图可知, 当喷油脉宽较小(0.8 ms)时,在不同的增压脉宽下,整个喷油过程(从开始喷油到喷油结束)均被包含在压力室压力从共轨压力上升到最大增压压力的时间段内, 这段时间压力室压力曲线的上升趋势保持不变,因此,喷油过程仅仅取决于喷油控制参数,即当喷油时刻、喷油脉宽等不变时,喷油速率曲线形态保持不变,曲线形态近似于靴形则是由喷油的过程中增压装置的增压作用使得喷油压力升高造成。
![]() |
图10 不同增压脉宽下的喷油器压力室压力 |
2.2.2 大喷油脉宽条件
当喷油脉宽为2 ms(喷油器电磁阀控制信号范围为1~3 ms),控制时差为0.5 ms时(即增压装置电磁阀控制信号开始时刻为1.5 ms),在不同共轨压力下,增压脉宽对喷油规律的影响如图 11所示。由图可知,随着增压脉宽的增大,喷油速率曲线形态在达到最大喷油速率前保持不变,而在达到最大喷油速率之后,喷油速率维持在最大值的时间延长,且基本保持稳定,并出现了类似于“倒靴形”的曲线形态。为解释上述现象出现的原因,以共轨压力为100 MPa为例,分析了不同增压脉宽下喷油器压力室压力曲线(见图 12)。
![]() |
图11 增压脉宽对喷油规律的影响 |
![]() |
图12 不同增压脉宽下的喷油器压力室压力 |
由图可知,当喷油脉宽较大(2 ms)时,在不同的增压脉宽下,喷油过程(从开始喷油到喷油结束)均包含了压力室压力从共轨压力开始上升到恢复至共轨压力的整个过程,喷油过程的前期,压力室压力曲线的上升趋势保持不变,因此,喷油速率曲线形态保持不变。当达到最大喷油速率之后,增压脉宽的增大,使得压力室压力维持在最大值的时间延长且基本保持稳定,从而造成喷油速率维持在最大值的时间延长且基本保持稳定。喷油速率出现了类似于“倒靴形”的曲线形态则是由于在喷油还没有结束时,增压装置电磁阀控制信号的关闭使得增压压力迅速下降,并传递到喷油器压力室中,造成压力室压力迅速下降。这种情况的发生,会极大地影响缸内油气混合,造成雾化不良和燃烧过程的恶化,因此应避免这种情况的发生,这就要求喷油过程应当在增压压力开始下降前完成。
3 结论
1) 随着喷油脉宽的增加,喷油速率曲线形态均近似于靴形(即有一个明显的拐点),且大喷油速率范围占整个喷油过程的比例逐渐增大。
2) 随着喷油脉宽的增加,喷油开启延迟保持不变,喷油关闭延迟在喷油脉宽较小时(0.6~1 ms),增加幅度明显,而在喷油脉宽较大时(1~1.4 ms),基本保持不变,即存在一个明显的拐点。
3) 在小喷油脉宽条件下,随着增压脉宽的增加,喷油速率曲线形态近似于靴形,且保持不变。
4) 在大喷油脉宽条件下,随着增压脉宽的增加,喷油速率可能会出现类似于“倒靴形”的曲线形态,这是由于在喷油还没有结束时,增压装置电磁阀控制信号的关闭使得增压压力迅速下降所导致,为避免这种情况的发生,喷油过程应当在增压压力开始下降前完成。
References
- WANG Qinpeng, YAO Heming, YU Yonghua, et al. Establishment of a real-time simulation of a marine high-pressure common rail system[J]. Energies, 2021, 14(17): 5481–5497. [Article] [CrossRef] [Google Scholar]
- LIU Binbin, LI Guoxiu, ZHENG Yayin. Existing status and trend of high-pressure common-rail injecting system in diesel engines[J]. Internal Combustion Engines, 2006, 2: 1–3 (in Chinese) [NASA ADS] [Google Scholar]
- HE Chao, WANG Yong, LI Jiaqiang, et al. Combustion and NO2 emission characteristic of high pressure common rail diesel engine[J]. Chinese Internal Combustion Engine Engineering, 2013, 34(1): 13–17 (in Chinese) [Google Scholar]
- LIU Qi, OUYANG Guangyao, YANG Kun, et al. Simulation of combustion and emission characteristics of adjustable boot-shaped fuel injection law[J]. Journal of Central South University, 2016, 42(2): 667–675 (in Chinese) [Google Scholar]
- SALVADOR F J, MORENA J D, MARTÍNEZ L, et al. Assessment of compressibility effects on internal nozzle flow in diesel injectors at very high injection pressures[J]. Energy Conversion and Management, 2017, 132: 221–230. [Article] [CrossRef] [Google Scholar]
- ZHANG Jingqiu. Research on diesel dual pressure common rail system[D]. Wuhan: Naval University of Engineering, 2009 (in Chinese) [Google Scholar]
- ZHOU Lei, YANG Kun, AN Shijie, et al. Simulation of the effect of fuel injection rate that matches fuel injection advanced angle on the performance of ultra high pressure common rail diesel engine[J]. Journal of Northwestern Polytechnical University, 2019, 37(2): 417–423. [Article] (in Chinese) [CrossRef] [EDP Sciences] [Google Scholar]
- AVINASH K A, DHANANJAY K, ATUL D, et al. Effect of fuel injection timing and pressure on combustion, emissions and performance characteristics of a single cylinder diesel engine[J]. Fuel, 2013(112): 187–195 [Google Scholar]
- JOONSIK H, DONGHUI Q, YONGJIN J, et al. Effect of injection parameters on the combustion and emission characteristics in a common-rail direct injection diesel engine fueled with waste cooking oil biodiesel[J]. Renewable Energy, 2014, 63: 9–17. [Article] [CrossRef] [Google Scholar]
- DONG Q, LI Y, SONG E Z, et al. Visualization research on injection characteristics of high-pressure gas jets for natural gas engine[J]. Applied Thermal Engineering, 2018, 132: 165–173. [Article] [CrossRef] [Google Scholar]
- YU Shenghao, YIN Bifeng, DENG Weixin, et al. Internal flow and spray characteristics for elliptical orifice with large aspectratio under typical diesel engine operation conditions[J]. Fuel, 2018(228): 62–73 [Google Scholar]
- FAN Liyun, TIAN Bingqi, MA Xiuzhen, et al. Key influence factors investigation on the electronic unit pump injection characteristics[J]. Transactions of the Chinese Society of Agricultural Machinery, 2011, 42(9): 14–20 (in Chinese) [Google Scholar]
- KOLESKI Goce, BICKEL Thomas. Stokes equation in a semi-infinite region: generalization of the lamb solution and applications to marangoni flows[J]. Fluids, 2020, 5(4): 249–266. [Article] [NASA ADS] [CrossRef] [Google Scholar]
All Tables
All Figures
![]() |
图1 超高压共轨系统仿真模型 |
| In the text | |
![]() |
图2 超高压共轨系统性能试验台架原理图 |
| In the text | |
![]() |
图3 喷油速率仿真结果与试验结果对比图 |
| In the text | |
![]() |
图4 喷油脉宽对喷油规律的影响 |
| In the text | |
![]() |
图5 喷油脉宽对喷油压力的影响 |
| In the text | |
![]() |
图6 喷油脉宽对喷油开启延迟和关闭延迟的影响 |
| In the text | |
![]() |
图7 不同喷油脉宽下的针阀升程(共轨压力为100 MPa) |
| In the text | |
![]() |
图8 喷油脉宽对喷油量的影响 |
| In the text | |
![]() |
图9 增压脉宽对喷油规律的影响 |
| In the text | |
![]() |
图10 不同增压脉宽下的喷油器压力室压力 |
| In the text | |
![]() |
图11 增压脉宽对喷油规律的影响 |
| In the text | |
![]() |
图12 不同增压脉宽下的喷油器压力室压力 |
| In the text | |
Current usage metrics show cumulative count of Article Views (full-text article views including HTML views, PDF and ePub downloads, according to the available data) and Abstracts Views on Vision4Press platform.
Data correspond to usage on the plateform after 2015. The current usage metrics is available 48-96 hours after online publication and is updated daily on week days.
Initial download of the metrics may take a while.












