| Issue |
JNWPU
Volume 43, Number 6, December 2025
|
|
|---|---|---|
| Page(s) | 1143 - 1152 | |
| DOI | https://doi.org/10.1051/jnwpu/20254361143 | |
| Published online | 02 February 2026 | |
On the effects of Sun's gravity and solar radiation pressure to the Earth-Moon distant retrograde orbits
太阳引力和太阳光压力对地月远距离逆行轨道的影响特性研究
1
Xi'an Institute of Electromechanical Information Technology, Xi'an 710076, China
2
School of Mechanics and Transportation Engineering, Northwestern Polytechnical University, Xi'an 710072, China
3
Beijing Aerospace Control Center, Beijing 100048, China
Received:
24
March
2025
Abstract
The distant retrograde orbits(DROs) form a family of planar periodic orbits that are retrograde around the Moon in the Earth-Moon circular restricted three-body problem(CR3BP). Known for their "low-energy insertion, long-term stability, and global accessibility", DROs are regarded as ideal candidates for future cis-lunar exploration. Sun's gravity and solar radiation pressure(SRP), as primary perturbations in the Earth-Moon system, could significantly alter the orbit dynamics of spacecraft. Based on the above considerations, the effect of the Sun's gravity and SRP on the dynamics and geometry of Sun-resonant DROs within a quasi-bicircular problem(QBCP) is investigated. Each resonant DRO in the CR3BP bifurcates into at least two branches in the QBCP. Furthermore, the Sun's gravity can qualitatively alter the phase-space structure of most resonant DROs, transforming them from stable to unstable, which opens the possibility of low-energy transfer. Regarding SRP, it induces more complex changes in the phase-space structures and leads to more bifurcation types, such as tangent bifurcation, period-doubling bifurcation and second-class Hopf bifurcation, thus deriving richer families of orbits. It is worthily noted that SRP may help stabilize orbits, making it beneficial for station-keeping. Additionally, SRP can significantly alter the geometry of DROs. Especially when the spacecraft which has a relatively large lightness number, is pitched at certain angles, the planar DROs evolve into spacial orbits to make them more suitable for cis-lunar space missions.
摘要
远距离逆行轨道(distant retrograde orbit, DRO)是地月圆型限制性三体问题中围绕月球逆行的平面周期轨道, 具有"低能入轨、长期稳定、全域可达"的性质, 是未来地月空间探测的重要任务轨道之一。太阳引力和太阳光压力作为地月系统的主要摄动力, 会显著改变航天器的轨道运动特性。因此, 立足于拟双圆问题, 探讨太阳引力和太阳光压力对地月共振DRO的动力学和几何结构的影响。在太阳引力的作用下, 圆型限制性三体问题中的每条共振DRO至少会分出2条拟双圆问题中的轨道。并且, 太阳引力可以定性地改变共振DRO的相空间结构, 使其由稳定轨道变为不稳定轨道, 为低能转移轨道设计提供了可能性。太阳光压力则会使轨道的相空间结构发生更加复杂的变化, 并出现更多的分岔类型, 如正切分岔、倍周期分岔和类第二Hopf分岔等, 进而衍生出更加丰富的新轨道族。在太阳光压力作用下, 部分DRO由不稳定变为稳定, 因此太阳光压力可以起到稳定轨道的作用。另外, 太阳光压力会使轨道形状发生显著变化, 特别是当航天器具有较大光压因子和一定俯仰角时, DRO由平面轨道变化为三维轨道, 在地月任务中具有更广阔的应用前景。
Key words: distant retrograde orbit / Sun's gravity / solar radiation pressure / quasi-bicircular problem / Earth-Moon system
关键字 : 远距离逆行轨道 / 太阳引力 / 太阳光压力 / 拟双圆问题 / 地月系统
© 2025 Journal of Northwestern Polytechnical University. All rights reserved.
This is an Open Access article distributed under the terms of the Creative Commons Attribution License (https://creativecommons.org/licenses/by/4.0), which permits unrestricted use, distribution, and reproduction in any medium, provided the original work is properly cited.
地月空间已成为世界大国战略竞争的新疆域和权力博弈的新焦点[1]。地月系统中具有稳定或者近似稳定特性的轨道是执行长期地月探测的重要任务轨道, 比如美国国家航空航天局主导的阿尔忒弥斯计划将于近直线晕轨道部署深空门户空间站以实现人类在近月空间的长期存在[2], 远距离逆行轨道(distance retrograde orbit, DRO)则具有“低能入轨、长期稳定、全域可达”的独特性质, 可用于轨道转移、导航通信、小行星预警等任务[3]。
地月系统的DRO是一类大尺度、顺行绕地、逆行绕月的平面周期轨道, 具有良好的稳定特性以及地球和月球覆盖特性。目前, DRO在动力学特性、轨道转移、轨道保持和任务应用等方面已经得到了广泛研究[4–5]。本文重点关注DRO的动力学特性, 相关工作主要包括: 彭超等[6]发现了DRO和开普勒共振轨道之间的关系, 并总结了数值延拓时共振比与轨道稳定性的演化过程; 陈冠华等[7]基于分岔理论和延拓技术, 发现了一系列新轨道分支, 较为全面地呈现了DRO族周边的动力系统结构; 吴小婧等[8]表明实际力环境中太阳引力和月球轨道偏心率是影响DRO稳定性的主要摄动因素; 王明等[9]基于双圆模型计算了2∶1共振DRO附近的拟周期轨道, 初步探究了太阳引力对DRO几何结构的影响。
本文在此基础上进一步基于拟双圆问题研究了太阳引力和太阳光压力对DRO的动力学和几何结构的影响特性。从数学模型角度而言, 拟双圆问题和双圆问题类似, 均可视为对地月限制性三体问题施加周期性太阳引力扰动后的扩展模型, 且两者均为平面模型, 即太阳、地球和月球的相对运动轨道共面[10]。但是, 双圆问题中太阳、地球和月球的运动规律仅具有几何意义, 而拟双圆问题中太阳、地球和月球的运动是三体问题的一个周期解。因此, 拟双圆问题是自洽模型, 从这个意义上可以认为双圆问题是拟双圆问题的一种简化形式。Jorba-Cuscó等[11]详细对比了双圆问题和拟双圆问题的精度, 发现拟双圆问题更能真实地反映太阳引力对月球附近轨道特性的影响特性。另外, 太阳光压力是影响航天器轨道运动特性的另一显著因素, 特别是对于太阳帆航天器、大型空间结构等具有高面质比特性的航天器。Simo、Gong、Gao和Chujo等[12–15]分析了太阳光压力对地月平动点附近动力学特性的影响, 并据此设计了光压悬浮轨道,用于月球极地探测和远端通信; Heiligers等[16]研究了地月限制性三体问题中太阳共振轨道在光压作用下的演化规律, 得到了光压因子和姿态角相关的halo轨道和DRO等轨道族; Jorba-Cuscó及Gao等[17–18]则基于拟双圆问题同时将太阳引力和太阳光压力引入动力学模型, 相对精确地反映了Lyapunov和halo共振轨道族及其相空间结构的演化过程。
本文基于拟双圆问题分析DRO共振周期轨道在太阳引力和太阳光压力作用下的演化规律。首先, 介绍了圆型限制性三体问题、DRO、拟双圆问题、太阳光压力模型等动力学模型。然后, 以共振周期DRO为例, 将圆型限制性三体问题的轨道延拓至拟双圆问题, 重点分析太阳引力对轨道稳定性的影响特性。最后, 将太阳光压力纳入拟双圆问题, 研究了共振周期DRO在太阳光压力下的演化规律, 给出了相应的特征曲线和稳定性的变化规律。
1 动力学模型
2 圆型限制性三体问题和DRO
圆型限制性三体问题用于描述航天器在2个大质量天体引力场中的运动规律, 其中航天器不会影响主天体的轨道运动, 且主天体绕共同质心做圆周运动。旋转坐标系是研究限制性三体问题普遍采用的坐标系, 其原点位于系统质心, 轴由小天体指向大天体, 轴指向系统角动量方向, 右手坐标系确定轴方向。为了问题分析和数值计算上的方便, 需要对质量、长度和时间进行无量纲化处理, 使主天体质量和为1, 主天体距离为1, 系统运动周期为2π。在地月旋转坐标系下, 地球的位置为[μ, 0, 0]T、月球的位置为[μ-1, 0, 0]T, 其中μ为系统质量参数。为统一圆型限制性三体问题和下文的拟双圆问题, 在旋转坐标系中本文将地球固定于
轴正方向, 月球固定于
轴负方向, 即
轴由月球指向地球。
在旋转坐标系中, 航天器的轨道运动方程为:
(1)
(1) 式中,
为航天器与地球和月球之间的距离。
圆型限制性三体问题存在雅可比常数, 通常用来描述航天器的能量, 其表达式为
(2)
DRO是一族绕月逆行的平面周期轨道, 图 1展示了地月DRO族以及对应的雅可比积分。由图 1可知, DRO的覆盖范围很大, 包含了月球、L1点和L2点, 轨道越接近月球其尺度越小且雅可比常数越大, 而且轨道关于轴对称, 因此当轨道与
轴相交时其运动状态具有
的形式。
![]() |
图1 地月DRO族及其雅可比积分 |
3 拟双圆问题
拟双圆问题将太阳引力引入地月限制性三体问题, 是一类特殊的限制性四体问题, 属于非自治系统。拟双圆问题中太阳、地球和月球的轨道运动共面, 且运动规律满足牛顿第二定律。拟双圆问题的示意图如图 2所示。
![]() |
图2 拟双圆问题示意图 |
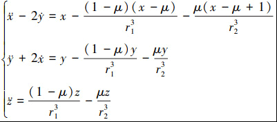
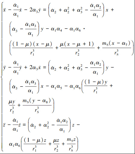
与圆型限制性三体问题一致, 对质量、距离和时间进行无量纲化处理, 并选择旋转坐标系研究航天器的轨道运动, 其动力学方程为[19]:
(3)
式中:mS为太阳无量纲质量;
为航天器与太阳之间的距离, 函数α1, α2, …, α8为周期函数, 其傅里叶展开式为
(4)
式中:θ=ωSt, 且ωS为太阳在地月质心旋转坐标系中的无量纲旋转角速度。
表示αi的一阶导数。当i=1, 3, 4, 6, 7时, αi为奇函数, 当i=2, 5, 8时, αi为偶函数。
1) [α7, α8, 0]T表示太阳在地月旋转坐标系中的位置矢量。该位置矢量的模为日-地月距离和地月距离的比值, 约为389;
2) {α1, α2, α3, α6}表征了地月距离的周期性变化, 其中α1≈1.0, α2≈0.0, α3≈1.0, α6≈1.0;
3) α4, α5表征太阳绕地月质心做自洽近圆运动, 运动形式为均值为0、幅值约为2的简谐运动。
(3) 式的其他参数见表 1, 其中
为太阳的旋转运动周期。
拟双圆问题的部分参数值
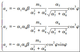
4 太阳光压力
太阳光压力是指太阳光子对所有暴露在其下的物体表面所施加的压力。本文考虑理想的太阳光压力模型, 相应的光压加速度的表达式为
(5)
式中:β为光压因子;
表示航天器姿态单位法向矢量;
为太阳光子的单位入射矢量。对已在轨验证的太阳帆任务, 其光压因子分别为0.001(IKAROS), 0.004(NanoSail-D2), 0.011(LightSail-1), 0.03(ACS3)。Solar Cruiser任务(已终止)的光压因子设计值则达到了0.04。因此, 本文将光压因子的最大值设置为0.04。
由于拟双圆问题中地月距离的周期性变化, 若将太阳光压加速度引入运动方程(3), 必须将太阳光压加速度修正为
(6)
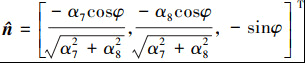
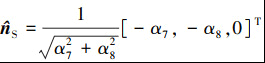
在地月质心旋转坐标系中, 太阳的位置由系数α7和α8确定。由此可知,
的表达式为
(7)
为使太阳光压加速度具有地月轨道平面的面外分量, 航天器需要具有一定的俯仰角φ, 并同时假设航天器姿态与太阳光子入射方向不存在偏航角。此时,
的表达式为
(8)
另外, 航天器在DRO附近运行时, 航天器与太阳之间的距离rS可近似为太阳与地月质心的距离, 即
(9)
综上所述, 地月旋转坐标系中太阳光压加速度的3个分量的表达式为:
(10)
5 太阳引力对DRO影响特性研究
由于太阳引力的周期性影响, 圆型限制性三体问题中大部分DRO延拓至拟双圆问题后将变为二维不变环, 只有少数轨道因其周期与太阳运动周期可以通约, 在拟双圆问题中仍可以保持周期性, 这些周期轨道被称为共振周期轨道。周期轨道是明晰动力系统性质的关键, 因此本文聚焦DRO共振周期轨道。在数值延拓过程中, 限制性三体问题的共振周期轨道都会出现分岔现象, 最后演化成拟双圆问题中的若干条周期轨道。本文采用平行打靶方法和伪弧长延拓方法对轨道族进行延拓[18]。
图 3给出了DRO在月球左侧与
轴相交时分量x0与轨道周期之间的对应关系, 其中蓝色、红色和粉红色星号分别标记了与太阳2∶1, 3∶1和4∶1共振的DRO。为了将圆型限制性三体问题的共振周期轨道延拓至拟双圆问题, 定义过渡动力学模型
(11)
![]() |
图3 DRO族的 |
式中:
表示圆型限制性三体问题和拟双圆问题的动力学方程, 可分别由(1)式、(3)式得到; ε为延拓参数, 当ε=0时过渡模型为圆型限制性三体模型, 当ε=1时过渡模型为拟双圆模型。
下面以2∶1和3∶1共振DRO为例, 以ε为延拓参数进行轨道延拓。由于DRO与
轴相交2次(月球左侧和右侧), 每条圆型限制性三体问题的共振DRO至少可以分出拟双圆问题的2条轨道。
图 4~5分别给出了2∶1, 3∶1共振DRO的延拓结果, 其中图例中21, 31表示共振比, 021, 031表示圆型限制性三体问题的轨道, 21A, 31A表示月球左侧DRO延拓得到的拟双圆问题的轨道, 21B, 31B表示月球右侧DRO延拓得到的拟双圆问题的轨道, 星号表示对应的拟双圆问题轨道的初始状态。相应轨道的初始状态见表 2, 由于轨道关于
轴对称, 所以只给出了分量
。
![]() |
图4 2∶1共振DRO随参数ε的延拓结果 |
![]() |
图5 3∶1共振DRO随参数ε的延拓结果 |
拟双圆问题中共振DRO的初始状态
图 4a)和图 5a)分别对比了021, 21A, 21B和031, 31A, 31B轨道的几何形状,图 4b)~4c)和图 5b)~5c)分别给出了21A, 21B和31A, 31B轨道的初始状态和稳定性随参数ε的延拓过程。轨道的稳定性可以由单值矩阵特征结构判定。由于本文研究的系统为哈密尔顿系统, 周期轨道的单值矩阵的特征值成对出现, 互为共轭复数的复特征值对
对应中心点C(center), 互为倒数的实特征值对
对应鞍点S(saddle), 并且(+)表示实特征值为正数, (-)表示实特征值为负数。如果轨道的稳定类型为鞍点×中心点×中心点, 简写为(S×C×C), 为不稳定轨道; 稳定类型为中心点×中心点×中心点, 简写为(C×C×C), 为稳定轨道。由图 4~5可知, 太阳引力对DRO的几何形状影响较小, 但会定性改变其稳定性。圆型限制性三体问题中2∶1和3∶1共振DRO均为稳定轨道, 考虑太阳引力后, 轨道均变为不稳定轨道, 特别是21B和31B, 极微小的太阳引力摄动便可以改变其稳定性。轨道稳定性改变意味着分岔现象。上述轨道均由(C×C×C)转变为(S(+)×C×C), 为正切分岔。分岔过程可促使新轨道族生成, 为任务标称轨道设计提供了更多选择。此外, 拟双圆问题中DRO的不稳定特征根揭示其具有稳定和不稳定流形结构, 为低能转移轨道任务提供了天然路径。此类动力学特性在圆型限制性三体问题中无法观测到。
6 太阳光压力对DRO影响特性研究
本节进一步将太阳光压力纳入拟双圆问题, 分析其对DRO的影响特性, 并给出轨道几何形状和稳定性随光压因子β和俯仰角φ的演化过程。
7 光压因子β对DRO的影响特性
首先探讨DRO共振轨道(21A, 21B, 31A, 31B)随光压因子β的演化。航天器光压因子的最大值βmax设置为0.04, 即β∈[0, 0.04]。并且, 俯仰角φ设置为0, 即航天器的姿态始终垂直于太阳光子的入射方向, 此时轨道始终为平面轨道。
图 6给出了共振轨道21A和21B随光压因子β的演化过程, 其中图 6a)和6c)为轨道族的特征曲线, 图 6b)和6d)展示了轨道的最大特征根和稳定性。由图 6可知, 延拓过程中轨道的稳定性发生了多次变化。以轨道21A为例, 稳定性由(S(+)×C×C)转变为(C×C×C), 再转变为(S(-)×C×C)。当β=0.04时, 最大特征根的绝对值达到了200, 轨道的不稳定性已经相对较大。然而, 当β较小时, 如β=0.003, 轨道为稳定轨道, 光压力起到稳定轨道的作用。另外, 当稳定性由(C×C×C)转变为(S(-)×C×C)时, 轨道族发生了2倍周期分岔。对于轨道21B, 当β接近于0.04时, 稳定性由(S(-)×C×C)转变为(S(-)×S(+)×C), 出现了正切分岔。21A轨道族的几何结构随光压因子β的演化过程见图 7, 其中蓝粗线表示初始21A轨道。由图 7可知, 太阳光压对轨道几何形状产生了显著的影响。由于轨道固有2∶1共振特性, 在太阳光压作用下, 部分轨道段呈现远离月球的特征, 而另一轨道段则表现出趋近月球的特性。这种轨道演化规律为航天器月面探测任务提供了新的技术途径, 特别是在实现月表巡视与精确着陆任务方面具有工程应用价值。
![]() |
图6 轨道21A和21B随光压因子β的演化过程 |
![]() |
图7 21A轨道族随光压因子β的演化 |
图 8给出了31A和31B轨道随光压因子β的演化过程。对于轨道31B, 稳定性多次发生变化, 新出现了(SC×C), (SC×S(-)), (S(-)×S(-)×C)和(S(+)×S(+)×C)等新的相空间结构, 以及对应的第二Hop分岔、类第二Hop分岔和倍周期分岔等, 其中SC代表复鞍点, 是由4个互为倒数的共轭复特征根组成的结构。轨道31A的特征曲线则在β=0.000 126 166处出现拐点, 最终轨道族趋近于共振轨道31C。注意, 31C是一条新的共振轨道, 其与31A的关系见图 9。延拓过程中, 31A轨道族存在(C×C×C)的稳定区间, 并且在拐点处稳定性改变, 发生了倍周期分岔。
![]() |
图8 轨道31A和31B随光压因子β的演化过程 |
![]() |
图9 轨道31A与31C的几何关系 |
8 俯仰角φ对DRO的影响特性
本节讨论航天器俯仰角对轨道演化的作用特性, 其中光压因子固定, 俯仰角在[-π/2, π/2]区间变化。
图 10给出了轨道21A和21B随俯仰角φ的演化过程, 其中轨道的初始状态z0为特征曲线。当β较小时, 如β=0.001或β=0.01, 随着φ由-π/2逐渐增大至0, z0先变大再变小, 最终为0, 即轨道重新变为平面轨道。当φ由0继续增大至π/2时, z0变化趋势正好相反。当
, 光压力在
轴分量最大, 相应地, 轨道z0分量的幅值也最大。但是对于较大的β, 上述变化规律则不再适用。以21A为例, β=0.04时, 特征曲线出现2次拐点, 并且|z0|的最大值出现在φ=0°附近。延拓过程中, 轨道的稳定性也会发生多次变化, 并出现2倍周期分岔和第二Hopf分岔等现象。另外, β的取值会影响轨道处于稳定状态的区间。
![]() |
图10 轨道21A和21B随俯仰角φ的演化过程 |
轨道31A和31B随俯仰角φ的演化过程见图 11。对于31A而言, 当β较小时, 随着φ由
增大至
, 轨道族从31A出发, 并最终返回31A。当β=0.000 126 166时, 轨道族在φ=0处出现分岔, 分岔出的新轨道族会趋近于轨道31C。注意此时β的值与图 8中拐点对应的β相等, 可以推断出该分岔与轨道能量有关。随着β继续增大, 特征曲线分成左右2族。轨道31B则没有出现分岔, 但是β会改变特征曲线的拓扑结构。以β=0.04为例, 当φ由
增大时, z0会短暂增加, 然后迅速下降, 在φ≈-0.9时到达最小值, 然后再增加至0(φ=0.0)。
![]() |
图11 轨道31A和31B随俯仰角φ的演化过程 |
另外, 当β=0.04时, 图 12给出了31B轨道族内几条典型的与俯仰角相关轨道。相比于31B, 太阳光压显著改变了轨道的几何结构, 光压轨道的部分轨迹非常接近月球, 便于对月球近距离观测和着陆。另外, 当φ不为0时, 轨道为三维轨道, 可以对月球极区进行观测[20]。
![]() |
图12 31B轨道族内典型的与俯仰角相关轨道 |
由上述分析可知, 太阳光压力作用下共振轨道的几何形状会出现显著变化, 轨道由二维平面向三维空间拓展, 提升了DRO的任务适应性。对于常规航天器, 其光压因子较小, 与俯仰角相关的轨道族几何形状变化不大, 规律性较强。但是对于太阳帆等具有较大光压因子的航天器, 轨道的几何形状变化形式多样, 轨道族的相结构也更为丰富, 形成了多模态的动力学区域, 产生了新的共振通道和转移路径。此外, 太阳光压作用下, 部分轨道由不稳定变为稳定, 因此可利用太阳光压力进行轨道保持[21]。
9 结论
本文基于地月拟双圆问题分析了太阳引力和太阳光压力对共振周期DRO的影响特性, 并给出了轨道族演化过程中的特性曲线和线性稳定性特征。研究发现:
1) 太阳引力可以使DRO发生稳定性分岔, 导致其动力学特性从稳定状态向不稳定状态转变, 既拓展了标称轨道的设计空间, 又揭示了低能转移轨道的存在性;
2) 太阳光压力对DRO的几何形状和稳定性均具有显著影响。光压力不仅能够使DRO扩展为三维轨道, 还可以将其塑造为具有特殊工程应用价值的形状。光压力会使轨道族呈现复杂的分岔现象, 进而衍生出更丰富的轨道, 同时部分轨道具有稳定性, 对轨道保持十分有意义。更具价值的是, 航天器通过主动调控光压因子与姿态角, 可实现太阳光压力的精确调制, 从而根据任务需求动态优化运行轨道, 大幅增强了任务设计的灵活性与可控性。
References
- BAO Weimin, WANG Xiaowei. Some thoughts about cislunar exploration and exploitation[J]. Journal of Astronautics, 2022, 43(6): 705–712 (in Chinese) [Google Scholar]
- GAO C, MASDEMONT J J, GOMEZ G, et al. Low-thrust station-keeping control for lunar near rectilinear halo orbits[J]. Celestial Mechanics and Dynamical Astronomy, 2024, 135(2): 1–14 [Google Scholar]
- XU M, XU S. Exploration of distant retrograde orbits around Moon[J]. Acta Astronautica, 2009, 65(5/6): 853–860 [Google Scholar]
- MURALIDHARAN V, HOWELL K C. Stretching directions in cislunar space: applications for departures and transfer design[J]. Astrodynamics, 2023, 7(2): 153–178 [Article] [Google Scholar]
- YIN Y, WANG M, SHI Y, et al. Midcourse correction of Earth-Moon distant retrograde orbit transfer trajectories based on high-order state transition tensors[J]. Astrodynamics, 2023, 7(3): 335–349 [Article] [Google Scholar]
- PENG Chao, WENG Changxuan, GAO Yang. DRO and HEO(3:1/2:1) resonant orbits in cislunar space calculated by continuation and their stability analysis[J]. Manned Spacecraft, 2018, 24(6): 703–717 (in Chinese) [Google Scholar]
- CHEN Guanhua, YANG Chihang, ZHANG Chen, et al. Distant retrograde orbits and its bifurcations in Earth-Moon system[J]. Journal of Beijing University of Aeronautics and Astronautics, 2022, 48(12): 2576–2588 (in Chinese) [Google Scholar]
- WU Xiaojing, ZENG Lingchuan, GONG Yingkui. DRO computation and its perturbative force in the Earth-Moon system[J]. Journal of Beijing University of Aeronautics and Astronautics, 2020, 46(5): 883–892 (in Chinese) [Google Scholar]
- WANG Ming, YANG Chihang, ZHANG Hao, et al. Quasi-periodic orbits near 2: 1 resonant DRO in the four-body problem[EB/OL]. (2024-03-27)[2025-03-20]. https://doi.org/10.13700/j.bh.1001-5965.2024.0061 (in Chinese) [Google Scholar]
- ANDEREU M A. The quasi-bicircular problem[D]. Barcelona: University of Barcelona, 1998 [Google Scholar]
- JORBA-CUSCO M, FARRES A, JORBA A. Two periodic models for the Earth-Moon system[J]. Frontiers in Applied Mathematics and Statistics, 2018, 4(32): 1–14 [Google Scholar]
- SIMO J, MCINNES C R. Solar sail orbits at the Earth-Moon libration points[J]. Communications in Nonlinear Science and Numerical Simulation, 2009, 14(12): 4191–4196 [Article] [Google Scholar]
- GONG S, LI J, SIMO J. Orbital motions of a solar sail around the L2 Earth-Moon libration point[J]. Journal of Guidance, Control, and Dynamics, 2014, 37(4): 1349–1356 [Article] [Google Scholar]
- GAO C, WANG W, YUAN J, et al. Hybrid sail displaced orbits around L2 point in the elliptic Earth-Moon system[J]. Journal of Guidance, Control, and Dynamics, 2019, 42(2): 416–424 [Article] [Google Scholar]
- Chujo T. Quasi-periodic orbits of small solar sails with time-varying attitude around Earth-Moon libration points[J]. Astrodynamics, 2024, 8(1): 161–174 [Article] [Google Scholar]
- HEILIGERS J, MACDONALD M, PARKER J S. Extension of Earth-Moon libration point orbits with solar sail propulsion[J]. Astrophysics and Space Science, 2016, 361: 1–20 [Article] [Google Scholar]
- JORBA-CUSCO M. Periodic time dependent Hamiltonian systems and applications[D]. Barcelona: University of Barcelona, 2018 [Google Scholar]
- GAO C, MASDEMONT J J, GOMEZ G, et al. The web of resonant periodic orbits in the Earth-Moon quasi-bicircular problem including solar radiation pressure[J]. Communications in Nonlinear Science and Numerical Simulation, 2022, 111: 106480 [Article] [Google Scholar]
- GAO Chen. Dynamics and control for continuous low-thrust spacecraft near collinear libration points[D]. Xi'an: Northwestern Polytechnical University, 2022 (in Chinese) [Google Scholar]
- CINELLI M, ORTORE E, MENGALI G, et al. Lunar orbits for telecommunication and navigation services[J]. Astrodynamics, 2024, 8(1): 209–220 [Article] [Google Scholar]
- FU X, BARESI N, ARMELLIN R. A high-order target phase approach for the station-keeping of periodic orbits[J]. Astrodynamics, 2024, 8(1): 61–75 [Article] [Google Scholar]
All Tables
All Figures
![]() |
图1 地月DRO族及其雅可比积分 |
| In the text | |
![]() |
图2 拟双圆问题示意图 |
| In the text | |
![]() |
图3 DRO族的 |
| In the text | |
![]() |
图4 2∶1共振DRO随参数ε的延拓结果 |
| In the text | |
![]() |
图5 3∶1共振DRO随参数ε的延拓结果 |
| In the text | |
![]() |
图6 轨道21A和21B随光压因子β的演化过程 |
| In the text | |
![]() |
图7 21A轨道族随光压因子β的演化 |
| In the text | |
![]() |
图8 轨道31A和31B随光压因子β的演化过程 |
| In the text | |
![]() |
图9 轨道31A与31C的几何关系 |
| In the text | |
![]() |
图10 轨道21A和21B随俯仰角φ的演化过程 |
| In the text | |
![]() |
图11 轨道31A和31B随俯仰角φ的演化过程 |
| In the text | |
![]() |
图12 31B轨道族内典型的与俯仰角相关轨道 |
| In the text | |
Current usage metrics show cumulative count of Article Views (full-text article views including HTML views, PDF and ePub downloads, according to the available data) and Abstracts Views on Vision4Press platform.
Data correspond to usage on the plateform after 2015. The current usage metrics is available 48-96 hours after online publication and is updated daily on week days.
Initial download of the metrics may take a while.













