| Issue |
JNWPU
Volume 37, Number 4, August 2019
|
|
|---|---|---|
| Page(s) | 691 - 696 | |
| DOI | https://doi.org/10.1051/jnwpu/20193740691 | |
| Published online | 23 September 2019 | |
Experimental Study on Influence of Ventilation on Trajectory Characteristics of Free Motion of Supercavitating Vehicle
通气对超空泡航行体自由运动的弹道特性影响试验研究
School of Marine Science and Technology, Northwestern Polytechnical University, Xi’an 710072, China
Received:
28
June
2018
Abstract
In order to study the trajectory characteristics of supercavitating vehicle in free motion, a series of experiments were carried out on an unpowered vehicle under ventilation and non-ventilation conditions respectively. High-pressure gas was utilized to launch the vehicle. The flow pattern in free motion was captured by using a high-speed video camera, the variations in the motion parameters and the cavity pressure were simultaneously recorded by using the internal measuring system. The measured data under ventilation and non-ventilation conditions were analyzed in detail, giving the effect of the ventilation on the motion of the vehicle. The experimental results show that the cavitation number fluctuates around a certain value under the influence of both velocity of the vehicle and the ventilation flow rate, keeping the vehicle to stably move in the supercavitating state. Under non-ventilation condition, the vehicle moves stably at the state of supercavitating and double-cavity closed on at the cylindrical section of the vehicle. But the motion turns into instable when the cavity is closed at the shoulder of the vehicle. Therefore, to reduce the cavitation number by ventilation is beneficial to maintaining the stability of the vehicle.
摘要
为了探究超空泡航行体自由运动过程的弹道特性,开展了无动力航行体在通气和不通气情况下的试验。发射装置使用高压气体将航行体发射出管。利用高速摄像机记录自由航行的空泡形态,同时由内测系统记录运动参数和空泡内压力变化。详细分析了通气和不通气下的试验结果,阐述了通气对航行体运动的影响。试验结果表明:通气情况下,在航行速度和通气率共同影响下,空化数保持在某值附近波动变化,航行体以超空泡状态稳定航行;不通气时,航行体依次以超空泡和闭合于圆柱段的双空泡状态稳定航行,当空泡闭合于航行体肩部时运动失稳。因此,采取通气方式降低空化数有助于维持航行体运动的稳定性。
Key words: supercavitating vehicle / free motion / ventilation / trajectory characteristics
关键字 : 超空泡航行体 / 自由运动 / 通气 / 弹道特性
© 2019 Journal of Northwestern Polytechnical University. All rights reserved.
This is an Open Access article distributed under the terms of the Creative Commons Attribution License (http://creativecommons.org/licenses/by/4.0), which permits unrestricted use, distribution, and reproduction in any medium, provided the original work is properly cited.
航行体在水下高速运动时,利用超空泡技术[1]将弹体包裹在空泡之中,减小了航行体表面的摩擦阻力,从而使水中兵器的航速突破现有的局限。超空泡航行体由于其流体动力的复杂性及非定常性,对航行体运动的控制和稳定性带来诸多挑战,为将超空泡技术应用于实际工程中,学者们已对其进行了深入研究。Saranjam[2]建立了非定常雷诺平均的流动方程与六自由度耦合运动的数值模型,研究了超空泡航行体自由运动过程中的运动参数以及空泡特性,并搭建试验平台,利用高速摄像机记录弹道和空泡形态,验证了数值方法的有效性。超空泡航行体在水下运动过程中,竖直平面内非平衡受力特性以及流体的非定常扰动都会导致航行体尾部与空泡壁面撞击,即尾拍现象[3]。赵成功[4]通过流体控制方程与刚体动力学方程耦合求解,建立了超空泡射弹运动的动力学模型,研究了不同参数影响下的尾拍运动以及空泡形态特征。Yu等[5]研究了超空泡航行体在自然空化和通气空化状态下的弹体摆动规律,给出了固定旋转角速度和自由摆动情况下尾部拍击空泡的形态以及流体动力特性。空化数作为空泡流的基本相似参数,生成超空泡的途径为减小空化数。当航行体由于航行速度限制而无法生成自然超空泡时可采取人工通气的方法[6]提高泡内压力进而减小空化数。Savchenko[7]对自然空泡和通气空泡的空化数相似准则的适用条件进行了研究。金大桥等[8]通过水下射弹的试验研究,获得了不同空化数对通气率的影响,同时验证了超空泡的减阻特性。王海斌等[9]在水洞中开展了通气超空泡的减阻研究,分析了空泡形态以及阻力特性随通气率变化的规律。曹伟等[10]对航行体在空化数实时变化的自然超空泡状态下运动的弹道稳定性进行了仿真分析,并与利用人工通气使空化数不变的超空泡状态航行弹道进行了对比,研究表明人工通气更有助于维持航行体姿态的稳定。
根据国内外研究文献可知,现阶段学者们对超空泡航行体运动稳定性的研究从理论、数值模拟和试验3个方面开展了大量的工作。学者们对数学模型的建立进行了大量简化和近似处理,其模型的正确性缺乏系统合理的校验;试验方面大多采用循环水洞进行通气超空泡的研究[11],航行体相对运动速度较低,与真实的航行差别较大。部分学者采用射弹进行了自由航行试验,但试验结果局限于由高速摄像机记录的运动轨迹和空泡形态。采用搭载测试系统的超空泡航行体开展自由航行试验成为了本文研究的重点内容,结果可为校验数值算法的准确性提供试验数据。
本文采用水下发射试验平台开展了超空泡航行体自由航行试验。航行体运动过程中由内置的高压气瓶提供气源形成通气超空泡,使用高速摄像机拍摄典型的空泡形态,结合内测系统记录航行体运动参数以及空泡内压力变化。
1 试验方法与装置
1.1 试验方法
搭建图 1所示的超空泡航行体水下水平发射试验平台[12],其主要由发射机构、高速摄像系统以及内测系统构成。开展试验前将航行体装填在发射管末端,而后通过滑轨调整至水下某一发射深度。发射机构采用高压氮气推动航行体在100 mm内径的发射管内加速运动,之后进入无动力自由航行状态。为避免水面波动对摄像的影响,在与航行弹道同一深度处悬挂水下摄像装置拍摄空泡形态,同时采用岸上摄像的方式捕捉其运动失稳过程。航行体在加速阶段触发内测系统开始记录弹体运动参数和空泡内压力变化。经过一段距离的航行后由拦截回收装置将航行体收回,并提取内测系统存储的数据。
![]() |
1 超空泡航行体自由运动试验平台示意图 |
1.2 试验装置
发射机构的加速炮管内径为100 mm、长6 m。试验前将航行体装入炮管后,炮管末端与高压气导管连接,出口采用塑料薄膜的方式密封,而后将炮管沿导轨垂直下降至指定的发射深度。根据试验需求,向储气罐内充入不同压力的氮气可实现航行体以不同初速度发射的目标。需要说明的是,在采用相同压力进行试验时,由于推动航行体加速运动的推力在不同发次的试验中存在微小差异,导致航行体出管速度略有不同,速度差异并非航行体通气影响的结果。试验结果表明,在航行体到达炮管出口前,高压气体作用下塑料薄膜脱离,未对航行体运动产生干扰。
高速摄像系统采用索尼DSC-RX10M2型高速摄像机对航行体运动过程进行拍摄,分辨率为1 920×1 080,拍摄帧速率为1 000 frame/s。
内测系统由惯性测量单元和测压系统组成,并采用同步触发的方式启动数据记录程序。航行体开始加速时刻,内测系统根据其加速度值变化特征作为触发条件。主要技术指标如下:加速度计的量程为±70g;陀螺仪的量程为±500°/s;绝压传感器的最大可测压力为350 kPa;采样精度为16位;采样率为2 kHz;数据存储器可连续工作时间为2 s。
2 试验模型
采用图 2所示的超空泡航行体开展试验,图中各尺寸单位为mm。航行体质量为7.6 kg,质心位置距离空化器437 mm。航行体内配有通气装置和内测系统。
选用体积为0.5 L的碳纤维气瓶存储高压氮气作为气源,使用阀门密封后装入航行体。航行体在加速运动阶段,阀门前部的重块在惯性力作用下撞击阀门触发撞针打开通气管路,氮气经由航行体前端的通气孔流入空泡内。试验前,预先使用质量流量计测试了通气装置开阀后的通气流量。试验时航行体有效运动时间在0.2 s内,此阶段流量变化较小,可认为流量不变。压力传感器安装于航行体肩部测压孔内测量空泡压力。
![]() |
图2 超空泡航行体试验模型 |
3 试验结果
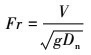
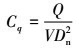
研究通气空化问题的2个主要参数分别为空化数σ和弗劳德数Fr。空化数定义为
1
式中,p∞为当地水深压力; pc为空泡内压力; ρ为水的密度; V为航行体的实时速度。
弗劳德数Fr定义为
2
式中,Dn为空化器的直径。
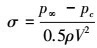
在通气试验中衡量通气量的无量纲参数为通气率Cq, 定义为
3
式中,Q为通气量。
航行体轴向力无量纲化得其系数Cx定义为
4
式中,Fx为航行体的轴向力; S为圆柱段截面面积。
为了探究超空泡航行体在自由航行阶段的运动特性, 进行了通气与不通气的对比试验, 分析了其运动过程中的空泡特性和运动稳定性。由于航行体模型关于纵平面对称, 同时试验结果也表明航行体以稳定状态航行时弹道无侧向位移, 本文重点描述航行体在纵平面内稳定运动时的特征参数。为保证试验结果的可靠性, 对各工况均进行了重复性验证, 并得到了较好的一致性。
航行体在1.5 m水深处以60 m/s的速度发射出管, 通气和不通气的试验结果如图 3~5所示。本文中取航行体出管时刻为零时刻。航行体在炮管内加速阶段, 大量高压气体经航行体与炮管之间的缝隙涌出炮口, 形成了类似于潜射导弹水下发射时的筒口气泡效应。在炮管内高压气体连续作用下, 炮口处气团体积逐渐增大, 如图 3a)所示。
航行体运动至管口时经过气泡区域进入水下自由航行状态。通气试验时, 根据录像结果可知, 航行体全程以超空泡状态稳定航行, 同时空泡末端伴有持续的泄气现象, 如图 3b)和图 3c)所示。航行体的俯仰角呈周期性变化, 且均值约为0, 如图 4a)所示。在不通气试验时, 航行体自由运动初期同样以超空泡状态航行, 同时具有与上述类似的泄气现象, 由此可推断航行体离开炮管时, 炮口处的部分气体进入空泡内随航行体运动。此阶段航行体的俯仰角周期性变化规律与通气试验结果相似, 而随着速度衰减在时间为100 ms时形成了闭合于圆柱段的双空泡流型, 如图 3d)所示。生成双空泡后, 航行体的俯仰角振动趋势减弱, 但其变化量较小, 此阶段航行体仍具有一定的稳定性。经过约150 ms的运动, 空泡开始闭合于航行体肩部, 如图 3e)所示, 航行体开始迅速偏转, 俯仰角迅速增大, 航行体运动失去稳定性。
根据惯性测量单元测量的结果可知, 航行体在稳定运动阶段, 其速度集中于x轴正方向, 而y轴方向的速度值可忽略, 故本文只对其轴向速度进行了描述。航行体在出管阶段, 由于管口处气团的非稳定特性, 在任意2次试验时管口处气泡的分布和体积均会有所变化, 导致航行体在出管阶段其运动特征表现出一定的随机性, 此状态主要发生在出管后的前40 ms内, 本文重点对航行体出管后并远离气团的运动特征进行分析。由图 4b)可知, 航行体以通气超空泡状态航行时, 由于航行体姿态变化以及流场的非定常扰动, 其受力具有一定的波动性, 但其值变化较小。值得注意的是120 ms附近出现2个阻力极小值, 分析原因为航行体运动过程中, 通气作用下空化数呈现出一定的脉动性, 空泡尺寸会随之增大或缩小, 空泡末端产生射流冲击航行体尾部, 此时航行体的阻力减小。不通气时, 航行体运动初期以超空泡状态航行, 其轴向力系数与上述一致。速度衰减后航行体以双空泡状态航行,轴向力有所增加, 而当航行体运动失稳后其轴向力系数持续增大。由速度曲线可知, 不通气时当航行体运动失稳后, 其速度衰减较快。
图 5给出了空泡内的压力和空化数特征。由图 5可知, 航行体离开炮口区域后其表面压力迅速降低。通气试验时, 空泡内压力不断升高。分析原因为航行体速度不断衰减, 在通气量不变的情况下, 通气率Cq不断升高, 故空泡内压力持续增大。在通气率和航行速度共同影响下空化数始终维持在0.060附近波动。根据文献[13]可知, 此航行体在空化数为0.060时可生成超空泡, 因此, 在此通气工况下航行体始终保持以超空泡状态航行。根据Buyvol[14]提出的可忽略重力效应的判定条件
进行计算, 在本文研究范围内, 航行体运动速度范围是35~60 m/s。v的最小值为53, 满足上述条件, 故可认为本文研究的通气空泡并未受到重力影响。在不通气试验时, 泡内压力没有达到自然空化的条件, 结合图 3给出的空泡图分析可知, 航行体在离开炮管时有部分气体进入空泡内, 因此出现了明显的泄气现象。空泡内压力变化与通气试验结果明显不同, 且空化数变化整体呈线性增大趋势。根据压力曲线可知, 在150 ms时肩部测点压力突然增大, 说明此时空泡闭合于航行体的肩部。结合录像和内测结果分析, 当空泡闭合于航行体肩部时俯仰角迅速变化, 其运动失去稳定性。综合上述现象分析可得, 对本文所研究的航行体, 在空泡闭合于肩部之前, 即空化数σ < 0.085时航行体均具有较好的稳定性, 因此可根据空化数的大小分析其运动的稳定性。
![]() |
3 空泡图序列 |
![]() |
图4 弹道参数 |
![]() |
5 压力特征 |
4 结论
本文对超空泡航行体自由运动的弹道特性进行了试验研究,利用高速摄像机拍摄了典型的空泡形态,由内测系统记录了航行体的空泡参数和运动特性。所得主要结论如下:
1) 通气试验时,在速度衰减和通气率增大的共同影响下,空化数可保持在某值附近波动变化,航行体以超空泡状态稳定航行,其阻力值较小;
2) 不通气试验时随着运动速度衰减空化数逐渐增大,航行体依次以超空泡、闭合于圆柱段的双空泡状态稳定航行,最后空泡闭合于航行体肩部时运动失稳,同时此过程航行体的阻力逐渐增大;
3) 向空泡内通气可使空化数保持为较低的值,从而有助于维持航行体运动的稳定性。
References
- Ke Guixi, Pan Guang, Huang Qiaogao, et al. Reviews of Underwater Drag Reduction Technology[J]. Advances in Mechanics, 2009, 39(5): 546–554 [Article] (In chinese) [Google Scholar]
- Saranjam B. Experimental and Numerical Investigation of an Unsteady Supercavitating Moving Body[J]. Ocean Engineering, 2013, 59(2): 9–14 [Article]">10.3321/j.issn:1000-0992.2009.05.004 [CrossRef] [Google Scholar]
- Wei Yingjie, He Qiankun, Wang Cong, et al. Review of Study on the Tail-Slap Problems of Supercavitating Projectile[J]. Ship Science and Technology, 2013, 35(1): 7–15 [Article] (In chinese) [Google Scholar]
- Zhao Chenggong. Research on Multiphase Flowand Trajectory Characteristics of Unsteady Movement of High Speed Projectile[D]. Harbin, Harbin Institute of Technology, 2017 (In chinese) [Google Scholar]
- Yu K P, Zhang G, Zhou J J, et al. Numerical Study of the Pitching Motions of Supercavitating Vehicles[J]. Journal of Hydrodynamics, 2012, 24(6): 951–958 [Article] [NASA ADS] [CrossRef] [Google Scholar]
- Reichardt H. The Laws of Cavitation Bubbles at Axially Symmetrical Bodies in a Flow[R]. Reportsd and Translations No.766, 1946: 322-326 [Google Scholar]
- Savchenko Y N. Expermental Investigation of Supercavitating Motion of Bodies[C]//RTO AVT Lecture Series on Supercavitating Flows, Brussels, 2001 [Google Scholar]
- Jin Daqiao, Wang Cong, Wei Yingjie, et al. Experimental Study of Ventilated Supercavity by Underwater Projectile[J]. Engineering Mechanics, 2011, 28(9): 214–217 [Article] (In chinese) [Google Scholar]
- Wang Haibin, Zhang Jiazhong, Wei Yingjie, et al. Experimental Study of the Drag Reduction of Ventilated Supercavity of Underwater Bodies[J]. Ship Engineering, 2006, 28(3): 14–17 [Article] (In chinese) [Google Scholar]
- Cao Wei, Wei Yingjie, Han Wanjin, et al. Simulation of the Trajectory Stability of Natural Supercavitating Vehicles[J]. Journal of Harbin Institute of Technology, 2012, 44(1): 26–30 [Article] (In chinese) [Google Scholar]
- Lee S J, Paik B G, Kim K Y, et al. On Axial Deformation of Ventilated Supercavities in Closed-Wall Tunnel Experiments[J]. Experimental Thermal & Fluid Science, 2018, 96: 321–328 [Article] [CrossRef] [Google Scholar]
- Shi Suguo, Wang Yadong, Liu Lehua, et al. Research on the Trajectory Characteristics of Supercavitating Vehicle at Preset Rudder Angle[J]. Acta Armmamentarii, 2017, 38(10): 1974–1979 [Article] (In chinese) [Google Scholar]
- Yuan X L, Xing T. Hydrodynamic Characteristics of a Supercavitating Vehicle's AFT Body[J]. Ocean Engineering, 2016, 114: 37–46 [Article] [CrossRef] [Google Scholar]
- Buyvol V N. Slender Cavity in Flows with Perturbations, Kiev, Nuakova Dumka Publishing House 1980 [Google Scholar]
All Figures
![]() |
1 超空泡航行体自由运动试验平台示意图 |
| In the text | |
![]() |
图2 超空泡航行体试验模型 |
| In the text | |
![]() |
3 空泡图序列 |
| In the text | |
![]() |
图4 弹道参数 |
| In the text | |
![]() |
5 压力特征 |
| In the text | |
Current usage metrics show cumulative count of Article Views (full-text article views including HTML views, PDF and ePub downloads, according to the available data) and Abstracts Views on Vision4Press platform.
Data correspond to usage on the plateform after 2015. The current usage metrics is available 48-96 hours after online publication and is updated daily on week days.
Initial download of the metrics may take a while.





