| Issue |
JNWPU
Volume 37, Number 4, August 2019
|
|
|---|---|---|
| Page(s) | 744 - 750 | |
| DOI | https://doi.org/10.1051/jnwpu/20193740744 | |
| Published online | 23 September 2019 | |
Prediction Method and Verification of Fatigue Life for a Turbine Disk with Bolt Hole
某轮盘螺栓孔处疲劳寿命预测方法与验证
1
School of Energy and Power, Nanjing University of Aeronautics and Astronautics, Nanjing 210016, China
2
AECC Sichuan Gas Turbine Establishment, Chengdu 610500, China
Received:
14
August
2018
Abstract
In order to improve the fatigue life prediction accuracy of FGH96 material for turbine engine at higher stress gradient notch, such as bolt holes, the new mean stress formula is used in this paper, the effect of stress gradient and size effect are considered at the same time, Fatigue test of FGH96 material inter-stage disc simulation test piece is done, and the parameters in the life prediction equation of the model are fitted. Further study on fatigue test of FGH96 material turbine pin bolt hole simulation unit is done, and test results is compared with the forecast results. The result shows that, the improved fatigue life prediction method has higher accuracy, and the validity of the method is proved.
摘要
为提高航空发动机FGH96材料涡轮盘在较高应力梯度缺口处如螺栓孔处的疲劳寿命预测精度,通过使用新的平均应力公式,同时考虑应力梯度和尺寸效应的影响,通过FGH96材料级间盘模拟试验件疲劳试验,对模型所需的寿命预测方程中的参数进行拟合,进一步开展FGH96材料涡轮盘螺栓孔模拟件疲劳试验,与预测结果进行了比较,结果表明,改进后的疲劳构件寿命预测方法具有较高的精度,证明了该方法的有效性。
Key words: FGH96 material / turbine disk / bolt hole / average stress / parameter fitting / life prediction / fatigue test / simulation
关键字 : FGH96 / 涡轮盘 / 螺栓孔 / 平均应力 / 参数拟合 / 寿命预测 / 疲劳试验 / 模拟
© 2019 Journal of Northwestern Polytechnical University. All rights reserved.
This is an Open Access article distributed under the terms of the Creative Commons Attribution License (http://creativecommons.org/licenses/by/4.0), which permits unrestricted use, distribution, and reproduction in any medium, provided the original work is properly cited.
航空发动机涡轮盘承受苛刻载荷作用[1], 工作环境复杂恶劣, 其结构突变区域如螺栓孔处将引起很大的应力集中, 导致该构件局部区域出现裂纹萌生并导致疲劳破坏, 准确评估其寿命是一个难点。
对于存在应力集中的局部区域, 其寿命评估方法主要包括:名义应力法、临界距离法及局部应力应变法等。名义应力法主要适用于弹性变形情况; 临界距离法难以确定其临界距离, 使用时需要标定; 而局部应力应变法比较成熟, 其精度较高, 但它没有考虑应力梯度以及尺寸效应, 导致应力梯度较大时, 精度较低, 而且偏保守。对于应力梯度, 最早是由Siebel和Stieler[2]提出的, 主要研究其疲劳强度缩减现象; Filippini[3]进一步研究了各种缺口情况下应力梯度的解析式, 但是应用该方法时要准确给出该区域的弹塑性应力场, 计算真实构件时较繁琐; 姚卫星[4]通过研究该部位的应力场影响提出了应力场强法, 定义了缺口附近的应力场强度, 较好地解决了缺口效应的影响, 但使用中其损伤区域的大小需标定, 其计算也较复杂; Bentachfinea等[5]用热点方法和临界体积法2种方法研究了几何缺口下低周疲劳寿命预测, 其权函数考虑了应力梯度的影响; Tanaka[6]和Taylor[7]也认为损伤与该区域的应力场有关, 提出了临界距离法, 将最大主应力场中某一临界距离内的平均应力做为特征应力, 需要的材料参数较少, 但是由于同种材料不同应力集中系数时其临界距离不同, 故有待进一步研究, Sun等[8]基于临界距离理论(TCD), 对极限载荷作用下的应力分布进行分析, 得到了临界距离; Wang等[9]基于Neuber准则和Walker方程, 修正了平均应力和应力梯度的影响, 并通过开展GH4169缺口低周疲劳试验进行了验证; Susmel等[10-12]还利用该法扩展到多轴载荷下缺口的疲劳失效研究。随着研究的进一步深入, 王延荣等考虑了平均应力、应力梯度以及尺寸效应对疲劳寿命的影响, 其精度进一步提高[13]。
对处于均匀应力状态下的构件, 其疲劳寿命的尺寸效应没法考虑, 限制了其使用精度与范围, 本文通过开展FGH96材料级间盘模拟试验件疲劳试验, 对寿命预测方程中的参数进行拟合, 并对其寿命进行了预测, 最后通过FGH96材料涡轮盘螺栓孔模拟实验件疲劳试验对其进行了验证。
1 基于材料疲劳参数拟合的疲劳寿命预测方程
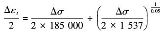
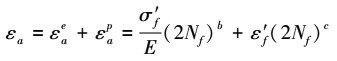
随着人们对疲劳寿命认识的不断深化, Basquin、Manson以及Coffin等都提出了各自的寿命预测模型。之后, Morrow[14]提出了总应变幅与疲劳寿命关系为
1
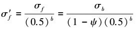
由于需要考虑平均应力, Morrow、Smith以及Walker等[15-17]分别修正了其相应的寿命模型, 如下
2
3
4
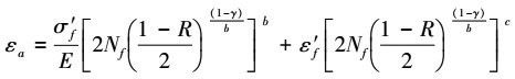
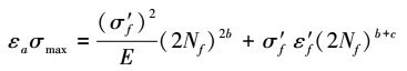
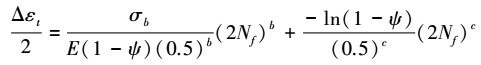
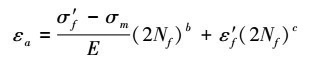
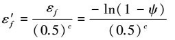
式中,εa为总应变范围, εae为弹性应变幅, εap为塑性应变幅, σ′f为疲劳强度系数、E为弹性模量, Nf为构件疲劳寿命, b为疲劳强度指数、ε′f为疲劳延性系数, c为疲劳延性指数, σm为应力平均值, σmax为应力最大值, R为应力比, γ为拟合参数, 。
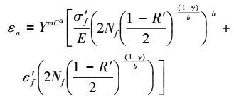
研究发现, 除了平均应力对疲劳寿命的影响, 还有应力梯度以及尺寸效应等因素。参考文献[13]提出的寿命评估方程如下
5
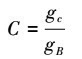
式中, Y为应力梯度影响因子, m为应力梯度影响指数, C为尺寸影响因子, α为尺寸效应影响指数。
该方程需要开展2种缺口试样的疲劳试验才能拟合出尺寸影响因子, 同时, 需进一步考虑构件的疲劳强度尺寸效应。材料手册一般给出的是旋转弯曲试样的疲劳试验数据, 以旋转弯曲试样危险截面半径上平均应力梯度gB重新定义尺寸影响因子C
6
7
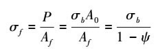
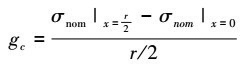
式中,σnom为应力归一化的值, r为缺口根部曲率半径。
2 材料疲劳参数拟合
2.1 平均应力的影响
应力集中存在于缺口处, 导致该局部存在比较高的应力, 当该较高应力区域进入塑性变形时, 其他部分位置可能还处于弹性状态, 尤其是外载荷为非对称载荷时, 缺口处的局部应力比已经发生变化[18], 故缺口处变化的局部应力比不能忽略。
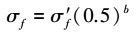
对于疲劳寿命评估中平均应力的影响, Morrow、Smith和Walker等都进行了深入的研究, 纷纷提出了考虑平均应力的疲劳寿命改进模型, 广泛应用于各构件的寿命预测。通过4种模型的对比发现, Walker平均应力寿命预测模型有γ项, 拟合参数是可调的, 故其寿命预测精度较高, 本文即用该材料疲劳参数进行拟合。总应变疲劳寿命预测模型中需要开展试验来获得的4个材料参数分别是:疲劳强度系数σ′f、疲劳强度指数b、疲劳延性系数ε′f及疲劳延性指数c。它不是简单的线性关系, 很难通过线性拟合直接获得。单次单调拉伸相当于疲劳循环时的1/4个循环, 其断裂真应力σf、断裂真应变εf与疲劳强度系数σ′f、疲劳延性系数ε′f的关系如下[19]:
8
9
同时, 单次单调拉伸断裂真应力σf、断裂真应变εf还可表示如下
10
11
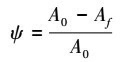
式中, A0为材料试样的初始截面面积, Af为拉伸断裂时的截面面积, 由断面收缩率定义可知
12
将(12)式代入(10)~(11)式, 可用拉伸强度极限和断面收缩率[20]表达断裂真应力σf、断裂真应变εf如下
13
14
将(8)~(9)式代入(13)~(14)式如下
15
16
最后得到的总应变方程如下
17
参数b和c由试验数据进行拟合得到, 由此可得出材料总应变方程, 这样既可充分使用材料数据手册,又可使该方程中的各个参数具有明确的物理意义。在疲劳寿命评估中考虑了平均应力, 根据目前的材料数据, Walker寿命模型中的γ由表 1中光滑试棒的疲劳性能拟合得到, 表 1中数据中通过(18)式得到。循环应力-应变曲线
18
表 2为其寿命模型中的各参数值。
FGH96合金(AA粉)轮副R向500℃光滑试棒疲劳性能
Walker寿命方程中的参数
2.2 应力梯度的影响
图 1为FGH96合金材料对应的应力分布图。图中σmax为缺口根部最大应力, σ为半径上不同位置应力, x为距试样表面的距离, r为试样危险截面半径[21]。求得Y=1/(2S0.5)=1.333 3。
表 3为FGH96合金(AA粉)轮辐R向500℃旋转弯曲试样疲劳性能表, 图 2模型中梯度影响指数与2Nf的关系为:m=0.40(2Nf)0.073 93。
![]() |
图1 FGH96合金旋转弯曲光滑试样归一化应力分布 |
FGH96合金(AA粉)轮副R向500℃旋转弯曲试样疲劳性能
![]() |
图2 模型中梯度影响指数与2Nf的关系 |
2.3 尺寸效应的影响
为了获得模型中的尺寸效应影响指数α, 通过开展FGH96材料级间盘模拟试验件(以下简称跑道孔试件)疲劳试验来获得数据, 图 3为跑道孔疲劳试验件尺寸图。试验时跑道孔疲劳试验件基准峰值载荷为33.895 kN, 峰值载荷系数分别为1.3和1.5, 由于疲劳寿命的分散性, 每种载荷下做7组试验, 寿命取平均值, 分散性用变异系数表征。变异系数为对数寿命标准差除以对数寿命平均值。结果表明其满足分散性要求, 下面螺栓孔寿命试验值均相同处理, 也满足分散性要求。表 4为采用Neuber法算得危险点的局部应变幅值及局部应力比。
为确定跑道孔疲劳试验件应力分布以及应力梯度方向, 取其1/n循环对称扇块进行三维有限元分析, 在对应截面映射位移边界, 耦合各循环对称面3个方向的自由度。图 4中应力梯度方向为第一主应力梯度方向。为FGH96材料跑道孔疲劳试验件危险点归一化应力在应力梯度方向的分布曲线图, 可得跑道孔疲劳试验件危险部位应力梯度影响因子Ydisk=1.403。
图 6为跑道孔疲劳试验件危险点及材料标准缺口试件局部归一化应力-距离分布图, 计算得到C=0.608。由试验结果并通过计算, 可以得到模型中的尺寸效应影响指数α1=0.066, α2=0.107, 取算数平均值为α=0.086 5。寿命预测方法中的参数见表 5。
![]() |
图3 跑道孔疲劳试验件 |
跑道孔试件各载荷下局部应力应变
![]() |
图4 跑道孔疲劳试验件应力分布以及应力梯度方向 |
![]() |
图5 FGH96材料跑道孔疲劳试验件危险点归一化应力分布图 |
![]() |
图6 跑道孔试件危险点及材料旋转弯曲试件的局部归一化应力-距离分布 |
本文寿命预测方程参数
3 本寿命预测模型的试验验证
本文通过开展某型号中一级涡轮盘疲劳危险部位螺栓孔模拟试件疲劳试验, 对本寿命预测方法与其他3种常用寿命预测模型的预测精度进行了比较, 对其进行了验证。
3.1 螺栓孔试验件
螺栓孔模拟疲劳试验件结构尺寸如图 7所示, 螺栓孔试件材料为FGH96, 螺栓孔试件基准峰值载荷为30.45 kN, 试验中采用1.4倍、1.5倍、1.7倍基准载荷。螺栓孔试件在各载荷下局部弹性第一主应力及采用Neuber法计算的对应峰值载荷系数下危险点局部应变幅、应力比见表 6。
![]() |
图7 螺栓孔试验件 |
螺栓孔试件各载荷下局部应力应变
3.2 寿命模型参数计算
与跑道孔试件类似, 借助有限元模型来获取试样孔边的应力分布, 从计算结果中提取沿孔的中截面的应力分布, 模型危险部位应力分布见图 8。参考跑道孔试件应力梯度影响因子Y和尺寸影响因子C的计算过程计算得到螺栓孔试件应力梯度影响因子Y螺栓孔=1.388、尺寸影响因子C=0.608。Y和C的指数项m、α只和材料性能相关, 因此采用跑道孔试件拟合得到m=0.40(2Nf)0.073 93, α=0.086 5。
![]() |
图8 螺栓孔试验件疲劳危险部位应力云图及应力梯度路径 |
3.3 螺栓孔试件寿命预测与试验对比
峰值载荷系数为1.4, 1.5, 1.7下试验所得试件疲劳寿命分别为23 964, 17 232, 10 373 cycle,应用本文方法和实际工作几种常用寿命模型预测螺栓孔模拟试件疲劳寿命结果见表 7。为考察各寿命预测模型的预测效果, 给出了寿命预测2倍散度图见图 9。
由图 7及图 9中的寿命预测结果可知:通用斜率公式预测精度接近2倍散度, 且预测疲结果略偏保守; Manson-Coffin公式部分预测结果在2倍散度外, 预测结果偏危险; Morrow弹性修正预测精度均在2倍散度之外, 且其预测结果明显偏保守; 而本文的预测结果最接近试验值, 且略小于试验值。
螺栓孔模拟试件寿命试验及预测结果
![]() |
图9 寿命预测精度对比 |
4 结论
本文对疲劳构件寿命预测进行了研究, 对FGH96材料级间盘模拟试验件、涡轮盘螺栓孔模拟试验件开展了疲劳试验, 结论如下:
1) 针对FGH96材料进行疲劳寿命预测时, 3种常用方法中, 通用斜率公式寿命预测效果相对较好; Manson-Coffin公式没有考虑平均应力的影响, 在高寿命段寿命预测结果偏危险, 然而, 考虑了平均应力修正的Morrow公式, 其预测精度又明显偏保守。
2) 本文中寿命预测模型考虑了平均应力、应力梯度和尺寸效应的影响, 基于试验结果对该寿命预测模型进行拟合, 其寿命的预测精度最高, 寿命误差在20%左右。
3) 本文还结合有限元模型计算, 采用Neuber方法, 考虑了材料的弹塑性问题, 对缺口部位疲劳危险部位的应力梯度计算比较精确, 寿命预测结果较理想。
References
- Zhang Guodong, He Yuhuai, Su Bin. Thermo Mechanical Fatigue Properties of Powder Metallurgy Superalloy FGH95 and FGH96[J]. Journal of Aeronautical Materials, 2011, 31(6): 96 [Article] (In chinese) [Google Scholar]
- Siebel E, Stieler M. Significance of Dissimilar Stress Distributions for Cycling Loading[J]. VDI-Z, 1955, 97(5): 121–126 [Google Scholar]
- Filippini M. Stress Gradient Calculations at Notches[J]. International Journal of Fatigue, 2000, 22(5): 397–409 [Article] [CrossRef] [Google Scholar]
- Yao Weixing. Fatigue Life Analysis of Structures[M]. Beijing, National Defense Industry Press, 2002 (In chinese) [Google Scholar]
- Bentachfinea S, Pluvinage G, Gilgert J, et al. Notch Effect in Low Cycle Fatigue[J]. International Journal of Fatigue, 1999, 21: 421–430 [Article] [CrossRef] [Google Scholar]
- Tanaka K. Engineering Formulae for Fatigue Strength Reduction Due to Crack-Like Notches[J]. International Journal of Fracture, 1983, 22(2): 39–46 [Article] [CrossRef] [Google Scholar]
- Taylor D. Geometrical Effects in Fatigue:a Unifying Theoretical Model[J]. International Journal of Fatigue, 1999, 21(5): 413–420 [Article] [CrossRef] [Google Scholar]
- Sun Songsong, Yu Xiaoli, Liu Zhentao, et al. Component HCF Research Based on the Theory of Critical Distance and a Relative Stress Gradient Modification, Component Fatigue Limit Load Prediction[J]. PLoS One, 2016, 11(12): 0167722 [Google Scholar]
- Wang J L, Wei D S, Wang Y R, et al. High-Temperature LCF Life Estimation Based on Stress Gradient Effect of Notched GH4169 Alloy Specimens[J]. Fatigue Fracture of Engineering Materialsd & Structures, 2017, 40: 1640–1651 [Article] [CrossRef] [Google Scholar]
- Susmel L. A Unifying Approach to Estimate the High-Cycle Fatigue Strength of Notched Components Subjected to Both Uniaxial and Multiaxial Cyclic Loadings[J]. Fatigue and Fracture of Engineering Materials and Structures, 2004, 27(5): 391–411 [Article] [Google Scholar]
- Susmel L, Taylor D. Can the Conventional High-Cycle Multiaxial Fatigue Criteria be Reinterpreted in Terms of the Theory of Critical Distances[J]. Structural Durability & Health Monitoring, 2006, 2(2): 115–129 [Google Scholar]
- Susmel L. The Theory of Criticsl Distances:a Review of Its Applications in Fatigue[J]. Engineering Fracture Mechanics, 2008, 75(7): 1706–1724 [Article] [Google Scholar]
- Wang Yanrong, Li Hongxin, Yuan Shanhu. Mothod for Notched Fatigue Life Prediction with Stress Gradien[J]. Journal of Aeronautical Power, 2013, 28(6): 1208–1214 [Article] (In chinese) [Google Scholar]
- Morrow J D. Cyclic Plastic Strain Energy and Fatigue of Metals[EB/OL]. (1965-08-12)[2018-06-05]. https://doi.org/10.1520/STP43764S [Google Scholar]
- Morrow J D. Fatigue Design Handbook Section 3.2[M]. USA, SAE Advances in Engineering, Society for Automotive Engineers, 1968: 21–29 [Google Scholar]
- Smith K N, Watson P, Topper T H. A Stress-Strain Function for the Fatigue of Metals[J]. Journal of Materials, 1970, 5(4): 767–778 [Google Scholar]
- WALKER K. The Effect of Stress Ratio During Crack Propagation and Fatigue for 2024-T3 and 7075-T6 Aluminum[EB/OL]. (1970-03-02)[2018-06-05]. https://doi.org/10.1520/STP32032S [Google Scholar]
- Yuan Shanhu, Wei Dasheng, Wang Yanrong. Analysis of Elastoplastic in FGH97 Notched Specimens Based on Visco Plastic Constitutive Model[J]. Journal of Aeronautical Power, 2012, 27(10): 2348–2355 (In chinese) [Google Scholar]
- Ma Mingtu, Qi Xianxin. Effect of Tempering Hardness on Strain Fatigue Properties of New Medium Carbon Spring Steel[J]. Henan Science, 1993(1): 39–52 (In chinese) [Google Scholar]
- Liu Xiang, Wang Yanrong, Tian Aimei, et al. Notch Fatigue Life Prediction Method Considering Size Effect[J]. Journal of Aeronautical Power, 2017, 32(2): 429–437[Article] (In chinese) [Google Scholar]
- Wei Zhifeng, Wang Yanrong, Yuan Shanhu, et al. Prediction Method and Process of Low Cycle Fatigue Life for Turbine Disk[J]. Gas Turbine Experiment and Research, 2014(5): 25–29 [Article] (In chinese) [Google Scholar]
All Tables
All Figures
![]() |
图1 FGH96合金旋转弯曲光滑试样归一化应力分布 |
| In the text | |
![]() |
图2 模型中梯度影响指数与2Nf的关系 |
| In the text | |
![]() |
图3 跑道孔疲劳试验件 |
| In the text | |
![]() |
图4 跑道孔疲劳试验件应力分布以及应力梯度方向 |
| In the text | |
![]() |
图5 FGH96材料跑道孔疲劳试验件危险点归一化应力分布图 |
| In the text | |
![]() |
图6 跑道孔试件危险点及材料旋转弯曲试件的局部归一化应力-距离分布 |
| In the text | |
![]() |
图7 螺栓孔试验件 |
| In the text | |
![]() |
图8 螺栓孔试验件疲劳危险部位应力云图及应力梯度路径 |
| In the text | |
![]() |
图9 寿命预测精度对比 |
| In the text | |
Current usage metrics show cumulative count of Article Views (full-text article views including HTML views, PDF and ePub downloads, according to the available data) and Abstracts Views on Vision4Press platform.
Data correspond to usage on the plateform after 2015. The current usage metrics is available 48-96 hours after online publication and is updated daily on week days.
Initial download of the metrics may take a while.









