| Issue |
JNWPU
Volume 38, Number 5, October 2020
|
|
|---|---|---|
| Page(s) | 1001 - 1009 | |
| DOI | https://doi.org/10.1051/jnwpu/20203851001 | |
| Published online | 08 December 2020 | |
Rigid-Body Dynamic Analysis of Multi-Stage Planetary Roller Screw Mechanism
多级行星滚柱丝杠刚体动力学建模与分析
1
Shaanxi Engineering Laboratory for Transmissions and Controls, Northwestern Polytechnical University, Xi'an 710072, China
2
China Academy of Launch Vehicle Technology, Beijing 100076, China
Received:
5
December
2019
Abstract
Based on the structural characteristics of the multi-stage Planetary Roller Screw Mechanism (PRSM), the motion and force among the different stages are analyzed. In terms of the Newton's second law, the rigid-body motion equations of the multi-stage PRSM without considering the manufacturing and assembly errors are derived. Then, the method for solving the motion equations is given. The forces acting on the parts in the multi-stage PRSM and the motion of the mechanism can be obtained from the present rigid-body dynamic model. The influence of the friction coefficients among the different stages on the dynamic characteristics of the multi-stage PRSM is discussed. The results show that the forces acting on the first-stage PRSM are larger than that acting on the second-stage PRSM, although the nominal radius of the screw in the first-stage PRSM is smaller. The friction coefficient between the nut and the screw in the different stages has the great influence on the efficiency of multi-stages PRSM with small helix angles, while that among the screws in the different stages has the slight effect on the efficiency.
摘要
基于多级行星滚柱丝杠结构特点,分析了各级行星滚柱丝杠之间的运动和受力关系。采用牛顿第二定律,在不考虑加工与装配误差和零件变形情况下,推导了多级行星滚柱丝杠运动方程,并提出了求解方法。实现了计入使用工况的多级行星滚柱丝杠运动与受力计算,分析了各级行星滚柱丝杠连接处摩擦因数对该机构动力学特性的影响规律。结果表明,虽然第一级行星滚柱丝杠的丝杠直径较小,但其零件受力的初始值与稳态值均大于第二级行星滚柱丝杠;当丝杠螺旋升角较小时,多级行星滚柱丝杠的效率随着各级螺母和丝杠间摩擦因数的改变而明显变化,但受各级丝杠和丝杠间摩擦因数的影响非常小。
Key words: multi-stage planetary roller screw mechanism / motion analysis / force analysis / dynamics
关键字 : 多级行星滚柱丝杠 / 运动分析 / 受力分析 / 动力学
© 2020 Journal of Northwestern Polytechnical University. All rights reserved.
This is an Open Access article distributed under the terms of the Creative Commons Attribution License (http://creativecommons.org/licenses/by/4.0), which permits unrestricted use, distribution, and reproduction in any medium, provided the original work is properly cited.
多级行星滚柱丝杠是一种将多套行星滚柱丝杠相耦合,实现旋转运动向长行程直线驱动转化的传动机构。该机构具有大伸缩比、无换级冲击、高精度和高功率密度等优点,能够满足有限安装空间下的大行程、大推力、高动态精密机电伺服驱动需求,在航空航天、船舶、车辆、冶金、化工和装备制造等领域有着重要应用前景。
现有研究多以单级行星滚柱丝杠为对象进行,主要集中在啮合特性[1-3]、载荷分布与刚度计算[4-6]、润滑摩擦[7-8]和运动特性与传动精度[9-10]等研究。在动力学研究方面,Jones等[11]选取丝杠转动和滚柱公转作为广义自由度,采用Lagrange方程建立了PRSM动力学模型,计算了阶跃输入下滚柱公转的瞬态与稳态结果。采用Lagrange方程能够避免对丝杠、滚柱、螺母和保持架分别进行受力分析,但是无法直接从动力学方程中求解得到各运动零件的受力状态。为此,Fu等[12]采用牛顿第二定律,建立了包含运动零件六自由度的刚体动力学模型,分析了丝杠转速和螺母负载等工况参数对各零件受力与运动状态的影响规律。郭嘉楠等[13]通过理论和试验分析了约束丝杠旋转时的PRSM振动特性。
针对多级滚珠丝杠,许兵宗[14]进行了传动方案设计和稳定性屈曲分析。彭富霞等[15]研究了其传动刚度。龚中良等[16]研究了基于效率的多级滚珠丝杠结构优化方法。然而,针对多级行星滚柱丝杠的公开发表文献还较少。陈芳等[17]介绍了该传动机构的工作原理,并利用Hertz接触理论,建立了双级行星滚柱丝杠的刚度计算模型,研究了传动精度的影响因素。目前鲜有文献涉及计入使用工况的多级行星滚柱丝杠的动力学分析。但是,由动力学计算获得的运动与受力结果,是该机构在不同使用条件下结构设计和性能优化的基础,亦是多级行星滚柱丝杠机电伺服系统驱动、控制和电机设计的依据。本文介绍了多级行星滚柱丝杠的结构组成,分析了各级间的运动和受力关系,考虑丝杠、螺母、保持架和内齿圈与滚柱的作用力,基于牛顿第二定律,建立了多级行星滚柱丝杠刚体运动方程,并提出了求解方法,实现了计入工况的各零件运动与受力计算,分析了各级行星滚柱丝杠连接处摩擦因数对该传动机构动力学特性的影响规律。
1 结构组成与运动受力分析
多级行星滚柱丝杠的结构组成如图 1所示,其中丝杠、滚柱、螺母和保持架构成了一个单级行星滚柱丝杠的子装配体。各级螺母与丝杠通过2个推力轴承相连接,以传递拉/压负载,并降低摩擦损耗。除第一级外,其余丝杠的内部均为中空结构。本文采用花键连接各级丝杠,即外花键与丝杠内花键相配合传递扭矩。在工程应用中,通常约束各级螺母的旋转和一级丝杠的移动自由度。当一级丝杠旋转时,其余各级丝杠将随之旋转并驱动所对应的螺母作轴向移动。此时,除第一级外的各级丝杠还将在上一级螺母的驱动下作轴向移动。如图 1所示,O-XYZ为固定坐标系, 其中Z轴与丝杠轴线重合, 原点O位于第一级丝杠的轴承支撑处;
和
分别为第一级和第k级丝杠的转速; vN1和vNk分别为第一级和第k级螺母的移动速度; vSk(k>1)为第k级丝杠的移动速度。
在多级行星滚柱丝杠中, 各级丝杠具有相同转速, 即
(1)
式中:k=1, 2, …, nEx;nEx为多级行星滚柱丝杠的总级数。第k级丝杠的移动速度与第k-1级螺母的移动速度相同, 即
(2)
本文假设各级丝杠、滚柱和螺母螺纹均为右旋, 则第k级螺母的移动速度可表示为
(3)
式中, LSi表示第i级丝杠的导程, i=1, 2, …, k。
第k级行星滚柱丝杠的运动受力分析如图 2所示。图 2中, 局部坐标系oPk-xPkyPkzPk的原点oPk位于第k级丝杠的轴承支撑处, zPk轴与丝杠轴线重合, xPk轴与任一滚柱轴线相交且随着第k级保持架旋转, θPk为第k级保持架的转角, MSk和FNk分别为第k级丝杠的驱动力矩和螺母负载; fSk为第k级丝杠内花键所受到的摩擦力; MNk为第k级螺母在与第k+1级丝杠连接处所受到的摩擦力矩。
(4)
(5)
式中:μSS和μNS分别为丝杠与丝杠以及螺母与丝杠连接处的摩擦因数; rSSk为第k级丝杠的等效连接半径; rNSk为第k级螺母的等效连接半径, sign()为符号函数, sign(vSk)定义为
(6)
式中:sign(
)的定义与(6)式相同。在图 2中,
,
和
分别为第k级丝杠、保持架和滚柱的转速; vSk, vNk和vRk分别为第k级丝杠、螺母和滚柱的移动速度。
(7)
(8)
式中, nSk为第k级丝杠螺纹头数。
![]() |
图1 多级行星滚柱丝杠的结构组成 |
![]() |
图2 第k级行星滚柱丝杠的运动受力分析 |
2 运动方程及求解
2.1 滚柱运动方程
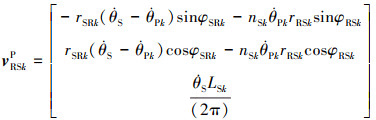
第k级滚柱的受力分析如图 3所示。图 3中, rRSk和φRSk分别为滚柱在丝杠侧接触点oRS处的啮合半径与偏角。rRk为滚柱的名义半径, oRN为螺母和滚柱接触点。
根据文献[2], 可知滚柱螺旋曲面在接触点oRS和oRN处的法向向量在局部坐标系oPk-xPkyPkzPk分别为
(9)
(10)
式中:上标P对应局部坐标系oPk-xPkyPkzPk;βRSk和λRSk分别为滚柱在接触点oRS处的牙侧角和螺旋升角;βRk和λRk分别为滚柱的牙侧角和螺旋升角;βRSk和λRSk均可使用文献[2]计算。丝杠和螺母作用在滚柱上的接触力, FRSkP和FRNkP, 可分别表示为
(11)
(12)
式中, FRSk和FRNk分别为丝杠和螺母作用在滚柱上的接触力幅值。由文献[12]可知, 丝杠和滚柱在接触点oRS处的滑动速度为
(13)
式中:nSk为第k级丝杠螺纹头数; rSRk和φSRk分别为第k级丝杠的啮合半径与偏角。根据库伦摩擦模型, 丝杠作用在滚柱上的摩擦力可表示为
(14)
式中, μRS为滚柱和丝杠之间的摩擦因数。如图 3所示, 采用FRGkP和FRPkP分别表示第k级滚柱两端直齿和销轴所受到的接触力。
(15)
式中, αRG为内齿圈和滚柱直齿的压力角。
(16)
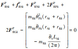
根据图 2和图 3的运动与受力分析, 可得第k级滚柱运动方程为
(17)
(18)
式中, mRk和JRk分别为第k级滚柱的质量与转动惯量。
![]() |
图3 第k级滚柱的受力分析 |
2.2 丝杠、螺母和保持架运动方程
第k级丝杠的受力分析如图 4所示。图 4中, rSRk和φSRk分别为丝杠的啮合半径与偏角, FSRkP和fSRkP分别为滚柱作用在丝杠上的接触力与摩擦力。
(19)
(20)
(21)
(22)
式中, mSk和JSk为第k级丝杠的质量和转动惯量。
如图 5所示, rNk和rNGk分别为第k级螺母的名义半径与内齿圈的分度圆半径, MCk为约束螺母旋转所施加的约束力矩。由作用力与反作用力关系可知, 螺母和内齿圈所受接触力, FNRkP和FNGkP为
(23)
(24)
(25)
(26)
式中, nroller为滚柱数量, mNk为螺母质量。
当不考虑滚柱和保持架之间的摩擦力时, 滚柱作用在保持架的接触力FPRkP如图 6所示。
(27)
保持架的运动方程为
(28)
式中, JPk为保持架的转动惯量。
![]() |
图4 第k级丝杠的受力分析 |
![]() |
图5 第k级螺母的受力分析 |
![]() |
图6 第k级保持架的受力分析 |
2.3 求解流程
多级行星滚柱丝杠的动力学求解流程如图 7所示。
首先, 采用各级结构参数, 利用文献[2]进行啮合特性分析, 获得啮合半径与啮合偏角。其次, 给出各级保持架转角、转速和角加速度的初值。依据丝杠旋转输入和多级行星滚柱丝杠所受负载, 求解第k=nEx级行星滚柱丝杠的运动方程。注意当k=nEx时, MNk=0。根据计算结果, 可得第k-1级行星滚柱丝杠的螺母负载和丝杠外花键力矩, FN(k-1)和MSk。然后, 求解第k-1级运动方程, 并依次完成各级行星滚柱丝杠的运动方程求解。注意当k=1时, fSk=0。最后, 输出各零件运动和受力状态, 完成多级行星滚柱丝杠的动力学分析。
![]() |
图7 多级行星滚柱丝杠动力学求解流程 |
3 算例
3.1 模型验证
当总级数nEx=1时, 本文模型便退化为单级行星滚柱丝杠动力学模型。本节算例中单级行星滚柱丝杠的结构参数为rS1=9.75 mm, rR1=3.25 mm, rN1=16.25 mm, nS1=5, LS1=10 mm, βS1=45°, αRG=20°和nroller=7。滚柱和螺母质量分别为mR1=0.014 kg和mN1=2.2 kg, 丝杠、滚柱和保持架转动惯量分别为JS1=51.94 kg·mm2,JR1=0.077 kg·mm2, JP1=2.95 kg·mm2。
参照文献[11], 设丝杠转速为
=1 rad/s的阶跃输入, 负载为FN1=100 N, 且滚柱和丝杠之间的摩擦力为
(29)
式中:μ′RS为黏性摩擦因数;μ′RS=25 N·s/m。
图 8同时给出了分别采用本文和文献[11]中动力学模型计算得到的保持架转速, 其中ζPS1为保持架和丝杠转速比
(30)
从图 8可以看出, 本文和文献[11]模型在相同计算条件下, 获得的仿真结果几乎相同。这是当丝杠和滚柱之间的摩擦力不受接触力影响时, 文献[11]中所采用的Lagrange方法和本文使用的牛顿第二定律是等效的。
3.2 各级连接处摩擦因数对动力学特性的影响
本节以双级行星滚柱丝杠为例, 分析各级丝杠和丝杠之间以及螺母与丝杠之间的摩擦因数对该机构动力学特性的影响。第一级行星滚柱丝杠的结构和质量参数与第3.1节中单级行星滚柱丝杠相同。第二级行星滚柱丝杠的结构参数为rS2=16.50 mm,rR2=5.50 mm,rN2=27.50 mm,rSS2=12.25 mm,rNS2=21.75 mm,nS2=5,LS2=10 mm,βS2=45°,αRG2=20°和nroller2=7;质量参数为mS2=0.761 kg,mR2=0.039 kg,mN2=20 kg,JS2=172.3 kg·mm2,JR2=0.471 kg·mm2和JP2=19.88 kg·mm2。
当丝杠转速
=100 rad/s, 负载FN2=7 000 N, 滚柱与丝杠间摩擦因数μRS=0.05, 丝杠与丝杠间摩擦因数μSS按0.10,0.15和0.20变化时, 双级行星滚柱丝杠的动力学仿真结果如图 9a)~9d)所示。
图 9a~9d)中, 保持架与丝杠转速比ζPSk (k=1, 2)、效率η、内齿圈与滚柱之间的接触力FRGk和保持架与滚柱之间的接触力FRPk分别为
(31)
(32)
(33)
(34)
由于第二级丝杠、滚柱和螺母的螺旋升角均小于第一级对应零件, 故第二级丝杠和滚柱具有较小的啮合偏角, 即两者接触点更接近节圆切点位置。因此, 如图 9a)所示, 第二级保持架的稳态转速略高于第一级保持架。由于丝杠直径的增加, 第二级行星滚柱丝杠各零件具有较大的质量和转动惯量, 所以达到稳态所用时间较第一级行星滚柱丝杠有所增加。
如图 9b)所示, 在仿真起始时刻, 该双级行星滚柱丝杠的效率仅约为0.60。随着仿真进行, 效率呈2次“阶梯式”上升, 最终稳定在0.87左右。这是由于起始时刻, 各级保持架转速均为0, 且由(13)式可知, 此时丝杠和滚柱间摩擦力具有最大的切向分量, 阻碍丝杠旋转。因此, 起始时刻的效率最低。随着保持架转速的增加, 丝杠和滚柱间摩擦力的切向分量以非线性的方式减小, 直至达到稳态。图 9b)中“阶梯1”和“阶梯2”的开始时刻, 分别对应图 9a)中第一级和第二级保持架达到稳态的时刻。
如图 9c)所示, 随着仿真的进行, 内齿圈与滚柱之间的接触力先减小至零, 后增加至稳态值。此外, 该接触力的稳态值远小于仿真起始时刻的数值。这是由于丝杠和滚柱摩擦力的切向分量, 不仅能够驱动滚柱在螺母内滚动, 也使得滚柱沿着螺母螺纹滑动。各级行星滚柱丝杠需通过改变滚柱直齿和内齿圈的啮合齿面来阻止滚柱的滑动。此外, 丝杠和滚柱摩擦力的切向分量稳态值远小于起始值。
如图 9d)所示, 随着仿真的进行, 保持架与滚柱之间的接触力快速增加至稳态值。这是由于该接触力主要平衡丝杠和滚柱摩擦力的径向分量(本文xPk轴方向)。由(13)式可知, 随着保持架转速的提升, 丝杠和滚柱摩擦力的径向分量快速增加。因为丝杠和丝杠以及螺母和丝杠间摩擦力的影响, 第一级螺母负载将大于第二级螺母, 所以在稳态时, 第一级保持架和内齿圈与滚柱之间的接触力均大于第二级, 如图 9c)和9d)所示。
当不考虑螺纹间摩擦力时, 双级行星滚柱丝杠的效率能够使用(35)式计算。由(35)式可知, 当丝杠螺旋升角较小时, 丝杠和丝杠间摩擦因数对效率的影响非常小。在本算例中, 第一级和第二级丝杠的螺旋升角分别9.27°和5.51°。因此, 丝杠和丝杠间摩擦因数的增加, 仅使得效率略有降低, 如图 9b)所示。由于丝杠和丝杠间摩擦力不影响第二级螺母和滚柱的受力, 同时该摩擦力与双级行星滚柱丝杠的负载FN2相比也要小很多。故在图 9a)、9c)和9d)中, 丝杠和丝杠间摩擦因数对保持架转速和第二级各零件受力几乎没有影响, 且对第一级内齿圈和保持架与滚柱之间的接触力影响很小。
(35)
式中, λS1和λS2分别为第一级和第二级丝杠的螺旋升角。
丝杠转速
=100 rad/s, 负载FN2=7 000 N, 丝杠与丝杠间摩擦因数μSS=0.10, 滚柱与丝杠间摩擦因数μRS=0.05, 螺母与丝杠间摩擦因数μNS按0.005, 0.055和0.105变化时, 双级行星滚柱丝杠的动力学仿真结果如图 10a)~10d)所示。
如图 10a)~10d)所示, 增加螺母和丝杠间摩擦因数, 显著降低效率, 而对双级行星滚柱丝杠其余动力学特性的影响很小, 且与图 9a)、9c)和9d)所示规律类似。因为螺母和丝杠之间的摩擦力矩直接影响第二级丝杠驱动力矩, 如(22)式所示, 所以螺母和丝杠间摩擦因数的增加使得驱动力矩直接增加并显著降低效率。由于本文丝杠和螺母的等效连接半径, rSSk和rNSk, 与相对于的丝杠和螺母名义半径相差不大, 且图 9和图 10中摩擦因数的增量相同, 故图 10中螺母和丝杠间摩擦力矩增加对第一级螺母所受轴向力的影响与图 9中丝杠和丝杠间摩擦力增加的影响相似。螺母和丝杠间摩擦力矩不影响第二级螺母和滚柱的受力。
![]() |
图9 丝杠与丝杠间摩擦因数对动力学特性的影响 |
![]() |
图10 螺母与丝杠间摩擦因数对动力学特性的影响 |
4 结论
1) 基于牛顿第二定律,在不考虑加工与装配误差、零件弹性变形和滚柱与保持架以及螺母间摩擦力等条件下,进行了多级行星滚柱丝杠的运动与受力分析,推导并建立了滚柱、螺母、丝杠和保持架运动方程,给出了动力学方程求解流程,实现了考虑丝杠转速和螺母负载等使用工况的多级行星滚柱丝杠各零件运动和受力计算。
2) 当丝杠转速阶跃输入时,多级行星滚柱丝杠的效率呈“阶梯”式上升,内齿圈与滚柱之间的接触力先减小后略有增加,保持架与滚柱之间的接触力很快增加至稳态值。此外,虽然一级行星滚柱丝杠的丝杠直径较小,但是其各零件受力的初始值与稳态值均大于二级行星滚柱丝杠。
3) 当丝杠螺旋升角较小时,各级丝杠和丝杠连接处摩擦因数的变化,对多级行星滚柱丝杠的效率影响很小。各级螺母和丝杠连接处摩擦因数的增加,会显著减小效率,然而对其余动力学特性影响很小。
References
- Jones M H, Velinsky S A. Contact Kinematics in the Roller Screw Mechanism[J]. Journal of Mechanical Design, 2013, 135(5): 051003–1 [Article] [CrossRef] [Google Scholar]
- Fu X J, Liu G, Ma S J, et al. A Comprehensive Contact Analysis of Planetary Roller Screw Mechanism[J]. ASME Journal of Mechanical Design, 2017, 139(1): 012302–1 [Article] [CrossRef] [Google Scholar]
- Sandu S, Biboulet N, Nelias D, et al. An Efficient Method for Analyzing the Roller Screw Thread Geometry[J]. Mechanism and Machine Theory, 2018, 126: 243–264 [Article] [CrossRef] [Google Scholar]
- Ma Shangjun, Li Xiaofeng, Liu Geng, et al. Load Distribution of Planetary Roller Screw Mechanism with Error, Thread Wear and Temperature Change[J]. Journal of Northwestern Polytechnical University, 2017, 35(4): 655–660 [Article] (in Chinese) [Google Scholar]
- Abevi F, Daidie A, Chaussumier M, et al. Static Load Distribution and Axial Stiffness in a Planetary Roller Screw Mechanism[J]. ASME Journal of Mechanical Design, 2016, 138(1): 012301-111 [Article] [CrossRef] [Google Scholar]
- Guo J N, Peng H, Huang H Y, et al. Analytical and Experimental of Planetary Roller Screw Axial Stiffness[C]//Proceeding of 2017 IEEE International Conference on Mechatronics and Automation, Takamatsu, Japan, 2017: 752–757 [Google Scholar]
- Auregan G, Fridrici V, Kapsa P, et al. Experimental Simulation of Rolling-Sliding Contact for Application to Planetary Roller Screw Mechanism[J]. Wear, 2015, 332/333: 1176–1184 [Article] (in Chinese) [CrossRef] [Google Scholar]
- Qiao G, Liu G, Ma S J, et al. Friction Torque Modeling and Efficiency Analysis of the Preloaded Inverted Planetary Roller Screw Mechanism[C]//The ASME International Design Engineering Technical Conference & Computers and Information in Engineering Conference, Cleveland, Ohio, USA, 2017: 1–8 [Google Scholar]
- Fu X J, Liu G, Ma S J, et al Kinematics Model of Planetary Roller Screw Mechanism with Run-Out and Position Errors[J]. ASME Journal of Mechanical Design, 2018, 140(1): 032301-1-10 [Article] (in Chinese) [Google Scholar]
- Ma S J, Cai W, Wu L P, et al. Modeling of Transmission Accuracy of a Planetary Roller Screw Mechanism Considering Errors and Elastic Deformations[J]. Mechanism and Machine Theory, 2019, 134: 151–168 [Article] [CrossRef] [Google Scholar]
- Jones M H, Velinsky S A, Lasky T A. Dynamics of the Planetary Roller Screw Mechanism[J]. ASME Journal of Mechanisms and Robotics, 2016, 8(1): 014503-1-6 [Article] [Google Scholar]
- Fu X J, Liu G, Tong R T, et al. A Nonlinear Six Degrees of Freedom Dynamic Model of Planetary Roller Screw Mechanism[J]. Mechanism and Machine Theory, 2018, 119: 22–36 [Article] [CrossRef] [Google Scholar]
- Guo Jianan, He Peng, Huang Hongyan, et al. Theoretical Investigation and Experimental Study on Planetary Roller Screw Dynamics[J]. Journal of Propulsion Technology, 2018, 39(8): 1841–1847 [Article] (in Chinese) [Google Scholar]
- Xu Bingzong. Design and Research of the Two-Stage Electric Cylinder[D]. Xi'an: Northwest A & F University, 2010(in Chinese) [Google Scholar]
- Peng Fuxia, Wu Yunxin, Gong Hai, et al. Drive Rigidity Characteristic Analysis of Telescopic Electric Cylinder Used in Neutron Spectrometer[J]. Journal of Mechanical Transmission, 2015, 39(12): 111–115 [Article] (in Chinese) [Google Scholar]
- Gong Zhongliang, Jin Ke. Structural Parameters Optimization of Multistage Screw Based on Transfer Efficiency[J]. Machine Tool & Hydraulics, 2019, 47(13): 98–102 [Article] (in Chinese) [Google Scholar]
- Chen Fang. Transmission Design and Accuracy Research of Two-Stage Planetary Roller Screw[D]. Nanjing: Nanjing University of Science and Technology, 2009(in Chinese) [Google Scholar]
All Figures
![]() |
图1 多级行星滚柱丝杠的结构组成 |
| In the text | |
![]() |
图2 第k级行星滚柱丝杠的运动受力分析 |
| In the text | |
![]() |
图3 第k级滚柱的受力分析 |
| In the text | |
![]() |
图4 第k级丝杠的受力分析 |
| In the text | |
![]() |
图5 第k级螺母的受力分析 |
| In the text | |
![]() |
图6 第k级保持架的受力分析 |
| In the text | |
![]() |
图7 多级行星滚柱丝杠动力学求解流程 |
| In the text | |
![]() |
图8 保持架转速的本文和文献[11]计算结果对比 |
| In the text | |
![]() |
图9 丝杠与丝杠间摩擦因数对动力学特性的影响 |
| In the text | |
![]() |
图10 螺母与丝杠间摩擦因数对动力学特性的影响 |
| In the text | |
Current usage metrics show cumulative count of Article Views (full-text article views including HTML views, PDF and ePub downloads, according to the available data) and Abstracts Views on Vision4Press platform.
Data correspond to usage on the plateform after 2015. The current usage metrics is available 48-96 hours after online publication and is updated daily on week days.
Initial download of the metrics may take a while.










