| Issue |
JNWPU
Volume 39, Number 1, February 2021
|
|
|---|---|---|
| Page(s) | 141 - 147 | |
| DOI | https://doi.org/10.1051/jnwpu/20213910141 | |
| Published online | 09 April 2021 | |
Study on project trajectory of air-to-ground missile with strapdown seeker under multi constraints
多约束条件下全捷联制导空地导弹弹道方案研究
1
College of Astronautics, Northwestern Polytechnical University, Xi'an 710072, China
2
Xi'an Modern Control Technology Research Institute, Xi'an 710065, China
Received:
11
May
2020
Abstract
The air-to-ground missile with strapdown seeker may have the problems, including small field of view(FOV), limited overload, and fall angle constraint. To solve the above mentioned problem, a phased guidance scheme is proposed. In this scheme, the attack trajectory is divided into the following six stages, including glided stage, fall angle constraint stage, target acquisition and adjustment stage, terminal guidance stage and blind zone stage. The glided stage is designed to increase range, the terminal fall angle is attained ahead of time at fall angle constraint stage. The aim of target acquisition and adjustment stage is to adjust the missile attitude, so that the target will fall within the FOV of the seeker. It creates good condition to capture the target for strapdown seeker. In the terminal stage, the guidance law of proportional navigation and attitude track are used to fit the needs of FOV constraint and attack accuracy. The simulation result shows that the project trajectory can solve the application of attacking moving targets for air-to-ground missile with strapdown seeker under multi constraints.
摘要
针对全捷联空地导弹视场小、过载能力有限,对攻击目标具有一定角度约束的问题,提出了一种分段制导方案。该方案将攻击弹道分为滑翔段、落角约束段、截获调整段、末制导段和盲区段。滑翔段增加射程,落角约束段提前实现终端落角可控,截获调整段调整弹体姿态,使目标进入导引头视场区域内,为导引头截获目标创造条件,末制导段采用比例导引、姿态追踪的复合制导策略,以同时满足视场约束和精确打击要求。仿真结果表明,采用该弹道分段规划方案可以解决多约束下全捷联空地导弹攻击地面时敏目标的工程化应用问题。
Key words: strapdown seeker / segmented guidance strategy / fall angle constraint / trajectory planning
关键字 : 全捷联导引头 / 分段制导 / 落角约束 / 弹道规划
© 2021 Journal of Northwestern Polytechnical University. All rights reserved.
This is an Open Access article distributed under the terms of the Creative Commons Attribution License (http://creativecommons.org/licenses/by/4.0), which permits unrestricted use, distribution, and reproduction in any medium, provided the original work is properly cited.
全捷联式导引头直接固连于弹体,取消了机械常平架及其控制机构,降低了系统结构复杂度,减小了尺寸及质量,提高了可靠性;消除了俯仰、方位通道之间的交叉耦合;跟踪视线角速率也不再受限制。其诸多优点成为未来空地导弹小型化、智能化、低成本化的发展趋势[1-2]。
全捷联导引头虽然带来了诸多的优点,但也引入了一些技术难题[3]:无法直接测量视线角速度;瞬时大视场引入了大的测量噪声,降低了探测信噪比,进而影响制导精度;在中/末制导交接班时,受瞬时视场的限制,导弹攻角不能大于导引头的半瞬时视场角,对交接班截获目标提出了严峻的考验;过载受限,否则导引头容易脱锁甚至丢失目标。此外,对于侵彻型空地导弹,还需兼顾制导精度与落角。上述技术难点制约了全捷联式导引头在空地导弹上的工程化应用。
针对全捷联导引头的技术特点,一些学者展开了研究。LI等[4]提出了一种带有落角和视场角约束的自适应最优制导律,通过引入IAW因子调节制导律以满足相关约束;黄诘等[5]提出了一种偏置比例导引的间接撞击角度控制方法,能够适应视场角和可用过载等约束条件;Yan等[6]研究了一种考虑自动驾驶仪延迟的滑模制导律,对于目标机动具有一定的鲁棒性,能够补偿自动驾驶仪的延迟。王佩等[7]提出了将跟踪-微分器应用于全捷联制导角速度信息的提取的方法,张韬等[8]提出了一种基于USKF的全捷联导引头信息提取算法,李富贵等[9]提出了一种空地导弹打击移动目标的方法,但该方法并未充分考虑导引头视场角、机动过载约束等问题。
我们注意到,上述研究成果大多是针对全捷联式导引头工程应用中的某一个问题进行研究,采用单一的制导律完成全弹道约束控制,并未考虑空地导弹攻击过程中不同阶段所需解决的主要问题。本文针对全捷联式空地导弹视场小、过载能力有限、落角控制对时敏机动目标打击的弹道制导律问题进行研究,提出了一种分阶段制导方法。该方法通过对弹道进行合理规划,确保中/末制导交接班时能截获目标,末制导段采取一种兼顾稳定跟踪与命中精度的制导方法,保证导引头始终锁定目标并以期望落角命中。该方法可解决全捷联式空地导弹攻击地面移动目标的工程化应用问题,对采用全捷联导引头的精确制导武器弹道规划及制导律设计具有较强的工程化指导意义。
1 分阶段制导方案
空地导弹离机后,在一定时间内保持舵面处于零位,以保证机弹分离安全;导弹稳定姿态,延时一定时间后,进入最大升阻比飞行阶段,目的是为了提高导弹可攻击距离;随后进入落角约束段,给截获目标创造有利条件,该段将导弹以期望落角导引至虚拟目标,当飞行至目标点上方时,导弹已具备一定的侵彻角度,视线偏差角也较小,初步具备截获目标的条件;在满足一定的弹目相对条件后,进入截获调整段,进一步修正视线偏差角,以确保目标进入导引头视场并趋于中心;当导弹飞行至导引头截获距离时,进入末制导段,导引头开机,采用模板匹配或特征识别方法截获目标,输出导引信号,引导空地导弹攻击目标,末制导段导弹应在有限过载内稳定跟踪目标;当飞行至导引头盲区时,保持停控前指令,直至命中目标。
综上所述,全捷联导引头主要受视场、可用过载、末端落角等条件约束,为解决其工程化应用问题,应将弹道进行合理规划。基于此考虑,将攻击弹道分为滑翔段、落角约束段、截获调整段、末制导段和盲区段。图 1所示为分段制导示意图。
![]() |
图1 分阶段制导示意图 |
1.1 虚拟目标
图 2所示为虚拟目标位置示意图。
![]() |
图2 虚拟目标位置示意图 |
虚拟目标位置坐标表达式如(1)式所示。
1
式中:(xT, yT)T为真实目标坐标; (xVT, yVT)T为虚拟目标坐标; Rc为导引头截获距离; θd为期望落角。
设置上述虚拟目标点, 当其运动至允许截获点时, 虚拟目标点刚好与允许截获点重合, 此时可同时满足落角、导引头视场角约束, 顺利截获目标。
1.2 带落角约束的快速非奇异终端滑模制导律
围绕带落角约束的制导问题, 已提出了多种形式的制导律[10-13]。本文设计了一种快速非奇异终端滑模变结构制导律以满足落角约束。弹目相对运动关系示意图如图 3所示。
![]() |
图3 弹目相对运动关系 |
由图 3可知, 弹目运动学关系式为
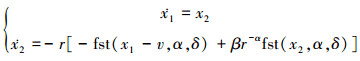
2
式中:ηM=q-θM, ηT=q-θT, 由于攻击对象为地面目标, 可认为θT=0;R为弹目距离, Ṙ为接近速度;VM, VT分别为空地导弹速度和目标速度;q和
为弹目视线角和视线角速度。
选取状态变量
3
假定空地导弹速度和目标速度均为常量, 令
, 对(3)式求导并结合(2)式, 经整理后可得制导系统状态方程为
4
根据平行接近原理, 设计制导律使得x1,x2在有限时间趋近于零, 即能保证空地导弹以期望的落角精确命中目标。
对于制导系统(4), 选取非奇异终端滑模面
5
式中:k1=const>0;k2=const>0;1<γ=p/q<2, p, q均为大于零的正奇数。
设计自适应趋近律为
6
式中:α=const>0;η=const>0;ε=Δ+η=const>0。
从(6)式可以看出, 当R较大时, 趋近速度较慢, 当R→0时, 趋近速度迅速增加, 这样可以保证制导系统进入滑动模态。
对(5)式求导, 并结合(6)式, 设计制导律为
7
式中, R和
未知, 全捷联空地导弹只有在末段才使用导引头的测量信息。图 1所规划的其余各段, 可通过惯性导航、载机雷达、卫星导航等提供的位置信息, 解算出R,
。(7)式中含有|x1|γ-1项, 由于1<γ<2, 因此该制导律不存在非奇异的情况, 本文研究的攻击对象为地面固定或低速运动的目标, 目标的机动性较弱, 可以假设aT=0, 或为未知有界扰动|aT|<Δ, Δ为一个较小的正数。
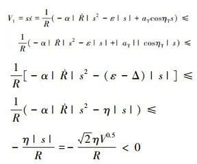
定理1 对于制导系统(4)式、滑模变量(5)式、自适应趋近律(6)式、设计制导律(7)式, 则系统状态将在有限时间内收敛至零, 并且整个制导过程中不存在奇异的问题。
证明 选取Lyapnov函数
8
对(8)式求导, 有
9
因此, 满足滑模到达条件。根据文献[14]的引理, 系统是有限时间收敛的, 有限收敛时间tr1满足
10
式中,
。系统到达滑模面后, 将沿滑模面运动直到收敛至原点, 此时滑模面满足
11
考虑到
, 有
12
选取Lyapnov函数
13
对(13)式求导, 结合(12)式, 有
14
同上, 根据引理, 系统是有限时间收敛的, 有限收敛时间tr2满足
15
式中, ξ=2-(1+γ)/2(1-γ)k2。
由(10)式和(15)式可知, 制导系统将在有限时间内收敛至滑动模态, 然后沿着滑模面运动, 当x1收敛至零时, x2也收敛至零。证毕。
1.3 分段制导律设计
1) 滑翔段
该段的作用是增加射程, 采用最大升阻比方案。
16
式中, α*为当前飞行环境的马赫数和高度下最大升阻比所对应的攻角。
2) 落角约束段
该阶段以期望落角θd将导弹导引至虚拟目标点。选取状态变量为
, 制导律采用(7)式。转入该阶段的条件为
17
式中, hys为转入落角约束段的高度, 其取值根据大量仿真结果确定。
3) 截获调整段
该阶段进行弹体姿态调整, 使其在允许截获点导引头视线偏差小于瞬时半视场, 实现目标准确截获。该阶段制导律采用(7)式, 其中状态变量为
。进入该阶段的条件为
18
式中:RMVT为空地导弹与虚拟目标的距离;Rtz为调整段转换条件参数。
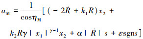
4) 末制导阶段
该阶段采用比例导引与姿态追踪的复合制导策略。一方面, 比例导引能够提高打击精度, 但其较大的前置角和攻角容易造成导引头丢失目标, 而姿态追踪能够减小体视线偏差。因此, 从兼顾精度和视场约束的角度考虑, 采用比例导引与姿态追踪的复合制导律。其表达式如(19)式所示。
19
式中:qE为视线误差角;
为俯仰角; N为比例导引增益系数;
为姿态追踪增益系数, ψFOV为导引头视场角, μ为描述目标进入视场线性区程度系数。引入该因子可有效减少2种制导律频繁切换造成的抖动。经仿真优化分析, μ=0.1满足设计要求。当μ|ψFOV|<qE<|ψFOV|时, aM取值规则如图 4所示。
![]() |
图4 过载指令选择示意图 |
当μ|ψFOV|<qE<|ψFOV|时, 根据qE的运动方向来确定aM的表达式。当qE由μ|ψFOV|向|ψFOV|方向运动时,
; 反之, 当qE由|ψFOV|向μ|ψFOV|方向运动时,
。
5) 盲区段
当R≤Rcmin时, 制导系统停控, 该阶段制导指令为进入盲区时刻的制导指令, 直至命中目标。
1.4 中末制导交接班
中末制导由于2种制导律给出的过载指令差异, 可能引起姿态抖动, 对导引头截获目标造成影响。因此, 采用线性过渡方法实现平稳过渡。中末制导交接班过载指令表达式如下
20
式中:atz截获调整段过载指令;amzd为末制导段过载指令, 切换系数Kj的表达式如下:
21
式中:Tgd=0.5 s为过渡时间;t0为末制导开始时刻。
2 全捷联导引头视线角速度估计
全捷联导引头无法直接测量视线角, 需对视线角进行重构, 再经适当的微分网络, 估计出视线角速度。本文采用跟踪微分器作为视线角的微分网络, 图 5为视线角速度估计方案结构图。
![]() |
图5 全捷联导引头视线角速度估计方案结构图 |
2.1 视线角重构模型
视线角重构是利用视线坐标系、体视线坐标系、弹体坐标系、惯性坐标系之间的旋转关系, 建立体视线角qB至惯性视线角qI的关系式。文献[7, 15]对重构方法有详细描述, 本文不再敷述, 直接给出视线角重构表达式
22
式中:
为弹体坐标系至惯性坐标系转换矩阵;LBLB为体视线坐标系至弹体坐标系的转换矩阵;u=(1, 0)T为弹目视线方向的单位向量;qI为惯性视线角;qB为体视线角。
2.2 视线角速度提取
若对(22)式所重构的视线角直接进行微分, 会极大地放大噪声。为解决非线性滤波问题, 韩京清等[16]创造性地提出了非线性跟踪-微分器, 该方法广泛应用于非线性滤波、非线性控制等领域中。根据全捷联导引头视线角重构模型及测量噪声的特性, 本文采用一种非线性跟踪微分器对视线角速度进行提取。其形式如下:
23
式中

r, α决定了跟踪的快速性;β影响噪声抑制效果。通过调整r, α, β 3个参数, 结合(22)式就可估计视线角速度。本文选取r=50, α=0.7, δ=5h, β=1.7, h为积分步长。
3 弹道仿真验证
以某型全捷联空地导弹攻击地面目标为例, 采用上述分段制导方案、视线角速度估计方法进行仿真以验证方案的有效性, 仿真条件如下:
初始条件:
空地导弹初始位置(0, 10 000)Tm, 可用过载为2g, 速度VM0=240 m/s, 倾角θM0=0°, 导引头截获距离Rc=3 000 m, 导引头最小作用距离Rcmin=200 m, 导引头视场ψFOV=±3°, 期望落角θd=-79°, 目标初始位置为(10 000, 0)Tm, 目标速度为VT=20 m/s。
测量误差:
GPS测量误差/m: Δx~(0, 100), Δy~(0, 152); 导引头测角误差/(°): ΔqB~(0, (0.286 5)2); 姿态角测角误差/(°): Δ
~(0, 0.52)。
制导律转换条件: hys=9 000 m, Rtz=400 m;
制导参数: k1=3, k2=2, p=7, q=5, α=3, ε=0.01, N=3,
,
。
末制导过程中, 2种制导策略切换可能导致落角约束不能满足要求, 实际应用中在落角约束段应选择适当的落角指令, 留有余量。本文仿真选取指令落角为-85°。
在末制导之前的各阶段, q及可通过GPS、惯性导航系统提供的弹目坐标进行估算[11]。在上述仿真条件下进行仿真, 仿真结果如下。
仿真图 6、图 7和图 9中, 曲线中的标志点"·", 按顺序依次为落角约束段、截获调整段、末制导段和盲区段起始点。仿真图中的局部放大图为从截获调整段起始至进入导引头盲区截止。
![]() |
图6 弹目运动轨迹 |
![]() |
图7 弹道倾角 |
![]() |
图8 指令过载与实际过载 |
![]() |
图9 视线角偏差qE |
从图 6空地导弹运动轨迹可以看出, 空地导弹在末制导段的弹道较为平直。图 7所示为空地导弹弹道倾角变化曲线, 从图中可以看出, 经过落角约束段之后, 实现了落角约束要求, 并留有余量, 至末制导结束倾角为在-82°, 随后进入盲区段, 至仿真结束倾角为-79.65°, 终端满足落角约束要求。进入末制导阶段, 由于导引头探测的视线角qB、弹体姿态角
均存在测量误差, 采用(22)式进行惯性视线重构, 并经过(23)式的滤波, 有效降低了噪声带来的影响, 从图 8的过载指令与实际响应可以看出, 过载波动响应全程在2g内, 满足过载约束。图 9所示, 视线角从仿真开始时的45°, 至姿态调整段开始时刻的2.54°, 已进入导引头视场范围, 经过调整段的视线偏差修正之后, qE从2.54°减小至1.50°, 确保了导弹到达允许截获点时, 目标处于导引头半视场并接近视场中心; 从图 9可以看出, 在末制导段, 当目标即将脱离导引头视场线性区时, 姿态追踪制导律迅速调整姿态, 使qE往趋于零的方向运动, 以确保整个末制导段目标处于导引头视场内。图 10可以看出, 经视线角重构, 利用非线性跟踪微分器估计的视线角速度能够满足末制导的需要。
![]() |
图10
|
4 结论
本文针对全捷联空地导弹在导引头视场、可用过载、落角等约束条件下对地攻击移动目标的问题, 提出了一种适合于工程化应用的弹道规划方案, 并根据各阶段主要任务有针对性的设计了相对应的制导律。文中设计了带约束的非奇异快速终端滑模制导律实现了导弹以期望落角快速接近目标, 通过引入虚拟目标和在截获调整段的姿态调整, 实现了中末交接班时导引头准确截获目标, 并保证目标始终处于视场内, 最终以期望落角精确命中目标。仿真结果表明, 该方法具有较强鲁棒性, 对于采用全捷联制导体制导弹的工程化应用问题, 该方法具有一定的指导意义。
References
- Sun Xitong, Luo Xinbo, Liu Qiusheng, et al. Application and key technologies of guided munition based on strapdown seeker[J]. Journal of Ordnance Equipment Engineering, 2019, 40(4):58–61 [Article] (in Chinese) [Google Scholar]
- Fan Chenxiao, Yao Yuemin, Xue Pu, et al. Technics development situation of the low-cost precision guided ammunition[J]. Tactical Missile Technology, 2020, (1):39–46 [Article] (in Chinese) [Google Scholar]
- Seokwon L, Youdan K. Capturability of impact-angle control composite guidance law considering field-of-view limit[J]. IEEE Trans on Aerospace and Electronic Systems, 2019, 56(2):1077–1093 [Google Scholar]
- Li R, Wen Q, Tan W, et al. Adaptive weighting impact angle optimal guidance law considering seeker's FOV angle constraints[J]. Journal of Systems Engineering and Electronics, 2018, 29(1):142–151 [Article] [Google Scholar]
- Huang Ji, Zhang Youan, Liu Yongxin. A biased proportional guidance algorithm for moving target with impact angle and filed-of-view constraints[J]. Journal of Astronautics, 2016, 37(2):195–202 [Article] (in Chinese) [Google Scholar]
- Yan X, Lyu S. A novel integral sliding mode-type continuous guidance law with autopilot lag for intercepting non-cooperative maneuvering targets[J]. IEEE Access, 2019, 7: 126571–126581 [Article] [Google Scholar]
- Wang Pei, Zhang Ke, Lyu Meibo. Application and analysis of tracking-differentiator in strapdown guidance[J]. Journal of Northwestern Polytechnical University, 2014, 32(5):817–821 [Article] (in Chinese) [Google Scholar]
- Zhang Tao, Zhang Ximing, Wang Mingang. Algorithm and simulation for guidance information filter for strapdown seekers[J]. Journal of Northwestern Polytechnical University, 2015, 33(5):744–749 [Article] (in Chinese) [Google Scholar]
- Li Fugui, Xia Qunli, Xiong Linqing, et al. Study on air-to-ground missile with strap-down imaging infrared seeker against moving target[C]//Proceedings of the 32nd Chinese Control Conference, 2013: 5149–5152 (in Chinese) [Google Scholar]
- Song J, Song S, Zhou H. Adaptive nonsingular fast terminal sliding mode guidance law with impact angle constraints[J]. International Journal of Control Automation and Systems, 2016, 14(1):99–114 [Article] [Google Scholar]
- Park B, Kwon H, Kim Y, et al. Composite guidance scheme for impact angle control against a nonmaneuvering moving target[J]. Journal of Guidance Control and Dynamics, 2016, 39(5):1129–1136 [Google Scholar]
- Xu B, Zhou D, Sun S. Finite time sliding sector guidance law with acceleration saturation constraint[J]. IET Control Theory and Applications, 2016, 10(7):789–799 [Article] [Google Scholar]
- Zhao Jiufen, Shi Shaokun, Chong Yang, et al. Distributed cooperative guidance law for multiple missiles with impact angle constraint[J]. Journal of Chinese Inertial Technology, 2018, 26(4):546–553 [Article] (in Chinese) [Google Scholar]
- Sun Sheng. Guidance laws with finite time convergence for homing missiles[D]. Harbin: Harbin Institute of Technology, 2010 (in Chinese) [Google Scholar]
- Peng S, Liang Y, Jiang H, et al. Application of an adaptive cubature Kalman filter in target tracking model of infrared semi-strapdown seeker[C]//2018 IEEE CSAA Guidance, Navigation and Control Conference, 2018: 1–6 [Google Scholar]
- Han Jingqing, Wang Wei. Nonlinear tracking-differentiator[J]. Journal of Systems Science and Mathematical Sciences, 1994, 14(2):177–183 [Article] (in Chinese) [Google Scholar]
All Figures
![]() |
图1 分阶段制导示意图 |
| In the text | |
![]() |
图2 虚拟目标位置示意图 |
| In the text | |
![]() |
图3 弹目相对运动关系 |
| In the text | |
![]() |
图4 过载指令选择示意图 |
| In the text | |
![]() |
图5 全捷联导引头视线角速度估计方案结构图 |
| In the text | |
![]() |
图6 弹目运动轨迹 |
| In the text | |
![]() |
图7 弹道倾角 |
| In the text | |
![]() |
图8 指令过载与实际过载 |
| In the text | |
![]() |
图9 视线角偏差qE |
| In the text | |
![]() |
图10
|
| In the text | |
Current usage metrics show cumulative count of Article Views (full-text article views including HTML views, PDF and ePub downloads, according to the available data) and Abstracts Views on Vision4Press platform.
Data correspond to usage on the plateform after 2015. The current usage metrics is available 48-96 hours after online publication and is updated daily on week days.
Initial download of the metrics may take a while.











