Open Access
Issue
JNWPU
Volume 39, Number 2, April 2021
Page(s) 375 - 381
DOI https://doi.org/10.1051/jnwpu/20213920375
Published online 09 June 2021

© 2021 Journal of Northwestern Polytechnical University. All rights reserved.

Licence Creative CommonsThis is an Open Access article distributed under the terms of the Creative Commons Attribution License (http://creativecommons.org/licenses/by/4.0), which permits unrestricted use, distribution, and reproduction in any medium, provided the original work is properly cited.

涡轴航空发动机一般应用在直升机上,通过与旋翼配合构成动力装置,相比于此前的活塞式发动机,有着体积小、重量轻、功率大等多种优势,近年来得到了快速发展与广泛关注[1]。涡轴发动机的生产过程复杂,需要遵循非常细致的制造手册,同时,在出厂检测中对其各项性能指标都设定了严格的要求。关键截面温度是涡轴发动机的一个常见性能指标。当关键截面温度过高时有可能会对发动机中的关键部件造成损坏,从而引发重大安全事故,因此为了确保发动机的工作寿命以及飞机的安全性,关键截面温度这一指标有最高温度限制。然而,在当前的技术条件下,制造出来的发动机很难做到一次试车即能满足该指标的出厂合格要求,通常需要重新装配之后尝试2次乃至3次试车,这大大增加了涡轴发动机的制造成本。

近年来,随着人工智能技术的发展,许多研究人员将人工智能算法引入到了航空发动机的优化设计中。孙浩等[2]基于人工神经网络和GMM聚类建立了航空发动机的经验模型,为发动机的健康参数监测做出了贡献。李乐等[3]采用数据后处理修正的方法,对航空发动机现有的燃气取样及分析系统进行了优化设计,有效提高了分析精度与稳定性。Ahmadian等[4]研究了喷气发动机的多模型自适应控制方法,在Jet Cat SPT5型涡轴发动机上的仿真结果证明了该方法的有效性。从趋势分析的角度,John等[5]提出了一种用于涡轴发动机试验台标定的新方法,该方法被证实可以极大节省人力和物力成本。董桢等[6]提出了一种基于粒子群优化算法的发动机部件特性自动修正及更新方法,有效提高了涡轴发动机部件级模型的精度, 并直接输出更新后的部件特性。陈必东等[7]提出一种涡轴发动机综合系统中抗干扰控制性能的优化解决办法。针对发动机单个部件性能对整机性能的影响权值难以定量的问题, 林学森等[8]提出采用随机赋权值的极限学习机算法诊断发动机部件性能退化。

得益于计算机技术的迅速发展,贝叶斯统计后验分布求解的难题得到了较好的解决,再加上贝叶斯统计在经济学、社会学和医学等领域的成功应用,使得贝叶斯网络的理论和应用飞速发展[9]。在故障诊断领域,也有大量的研究人员将贝叶斯网络用在了装备故障预测以及诊断优化上,均取得了不错的进展。

本文将贝叶斯网络引入涡轴发动机的性能优化中,以关键截面温度为目标变量建立了涡轴发动机性能模型,通过贝叶斯网络搜索的方式,得到了用于指导生产的推荐状态组合表,可以有效提高发动机的出厂合格率。

1 贝叶斯网络理论

1.1 贝叶斯网络

贝叶斯网络是对复杂不确定系统进行概率推理以及数据挖掘的一种可靠工具,如今已经成为机器学习领域的一个热点研究方向[10]。贝叶斯网络将图论、概率论和统计学理论融合到了一个模型中,是一种高效地呈现事件之间相互关系的建模语言,他能将知识以图形的形式直观表示,使知识系统可视化。贝叶斯网络是一种概率图模型,变量间的依赖关系以一种网络结构的形式来呈现[11-13]。他提供了一种自然地表示因果信息的方法,可以用来发现数据间的潜在关系[14]。

贝叶斯网络的拓扑结构为有向无环图, 其中节点代表随机变量, 而有向边则代表变量之间的相互作用关系。每个节点都有着相应的条件概率, 根节点X伴随的是其边缘分布P(X), 而非根节点X伴随的是条件概率分布P(X|ap(X)), ap(X)表示节点X的父节点[15]。

1.2 联合概率分解

针对一个含有n个随机变量X1, X2, …, Xn的贝叶斯网络, 将各节点所对应的概率分布相乘即可得到这n个随机变量的联合概率分布

Mathematical equation1

式中, ap(Xi)为节点Xi的父节点, 当ap(Xi)=Ø时, P(Xi|ap(Xi))即为边缘分布P(Xi)。

图 1中给出了一个常见的贝叶斯网络, 根据(1)式可以得到一个联合概率分布的分解

Thumbnail: 图 1 Refer to the following caption and surrounding text. 图 1

贝叶斯网络模型

Mathematical equation2

1.3 朴素贝叶斯模型

朴素贝叶斯(NB)模型[16]又被称作朴素贝叶斯分类器, 是一种含有一个目标变量和多个属性变量的树型贝叶斯网络。图 2是一个朴素贝叶斯模型的示例, 其中C代表目标变量, A1, A2, …, An代表属性变量。当已知各属性变量的取值时, 通过计算后验分布P(C|A1=a1, …, An=an)来进行分类, 找出后验概率最大的那个C值划分为对象的预测类别。

Thumbnail: 图 2 Refer to the following caption and surrounding text. 图 2

朴素贝叶斯模型

朴素贝叶斯模型存在一个局部独立性假设, 这表明在已知类别变量C时, 各属性变量Ai之间相互条件独立, 因此这个模型的联合概率分布是

Mathematical equation3

2 基于贝叶斯网络的发动机性能模型

2.1 优化目标与数据提取

在实际生产过程中发现改变零件1、零件2以及零件3的大小(X, Y, Z)会对某型号产品的关键截面温度(T)造成显著影响。除此之外, T还受到外界气温(Tout)的影响。此外, 在充分考虑安全性的情况下, 涡轴发动机在运行时T最高不得超过895℃。因此本文的优化目标是找到一些表现良好的X-Y-Z-Tout的组合方式, 从而尽可能提高涡轴发动机出厂时T符合要求的概率。

结合制造商的建议, 本文提取出了含有5个变量: T, X, Y, ZTout的228条某型号涡轴发动机数据。其中, T是要优化的目标变量, 其余的4个变量为属性变量。涡轴发动机数据集的各变量描述及取值范围如表 1所示。

表 1

涡轴发动机数据集变量情况统计

2.2 离散化处理与数据集划分

进行贝叶斯网络建模的关键步骤是变量的离散化。针对目标变量T, 以最高合格值895℃为界将其分为2段。对于属性变量Tout, 以10℃和25℃为界将其分为3段。对于属性变量X, Y, Z, 考虑到生产加工的方便, 采用等频率离散法将他们各自分为3段。离散化后的数据集见表 2

表 2

数据集离散化结果

考虑到模型的有效性验证, 进一步将数据集采用分层抽样的方法随机分割, 其中的80%作为训练集, 剩余的20%作为测试集用来检验模型的预测效果, 训练集和测试集中目标变量T的类别比例保持一致。涡轴发动机数据集的划分方式如表 3所示。

表 3

数据集划分结果

2.3 发动机性能模型的建立

在数据准备工作完成之后, 接下来基于朴素贝叶斯模型建立以T为目标变量的涡轴发动机性能模型。

首先, 基于朴素贝叶斯模型建立了涡轴发动机性能模型网络结构, 如图 3所示, 这种有向无环图是贝叶斯网络模型的定性部分。其中, 目标变量T作为父节点, 其余的4个属性变量X, Y, ZTout则作为子节点。

Thumbnail: 图 3 Refer to the following caption and surrounding text. 图 3

涡轴发动机性能模型

然后, 需要计算目标变量的概率分布表以及各属性变量的条件概率表。通过对训练集中各个特定类型的样本频率进行统计, 得到了表 48

表 4

目标变量T的概率分布表

表 5

属性变量X的条件概率表 %

表 6

属性变量Y的条件概率表 %

表 7

属性变量Z的条件概率表 %

表 8

属性变量Tout的条件概率表 %

表 48中的概率关系属于贝叶斯网络模型的定量部分, 将各个变量之间的依赖关系通过概率的形式来量化表示。

3 涡轴航空发动机性能优化策略

在完成性能模型的构建之后, 下一步应该考虑的是如何基于模型来优化涡轴发动机的性能。本节将根据贝叶斯网络的概率推理特性对性能模型进行搜索, 找到一些高质量的属性变量的状态组合, 从而提高涡轴发动机的合格率。

3.1 后验合格概率的计算

首先, 需要列出所有可能的属性变量状态组合。在本研究中, 有4个属性变量X, Y, ZTout, 每个属性变量又分为3种状态(0, 1, 2), 因此可能的状态组合总共有34=81种。然后, 将这些状态组合依次输入到性能模型中, 通过概率推理进行后验合格概率的计算。

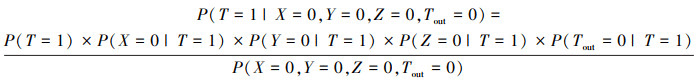
为了对具体的计算过程进行说明, 接下来以X, Y, ZTout的状态组合为(0, 0, 0, 0)时为例, 计算该状态组合下目标变量T的后验合格(T=1)概率。计算过程如下:

首先根据贝叶斯公式, 当T=1时有

Mathematical equation4

根据图 3, 可对(4)式进一步化简

Mathematical equation5

在(5)式中, 分子中的P(T=1)可通过查询表 4得到, P(X=0|T=1)等4个属性变量的条件概率值可分别通过查询表 58得到。将分母保持固定, 令D=P(X=0, Y=0, Z=0, Tout=0)以便于描述。将查得的各个数值代入(5)式, 可以得到

Mathematical equation6

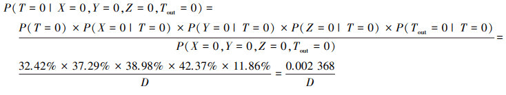
同理, 当T=0时有

Mathematical equation7

根据概率论知识, 由(6)式和(7)式可得

Mathematical equation8

解(8)式可得D=0.009 145, 代入(6)式可得

Mathematical equation9

至此, 便可得到: 当X, Y, ZTout的状态组合为(0, 0, 0, 0)时, 目标变量T的后验合格概率为74.11%。将本研究全部81种可能的属性变量组合输入到性能模型中, 按上述计算过程进行概率推理, 就可以得到所有属性变量状态组合下目标变量T的后验合格概率结果。

3.2 对比验证

在通过概率推理完成后验合格概率的计算之后, 有必要对所建立的性能模型进行有效性验证。将之前划分好的测试集输入到建立好的性能模型中, 通过比较目标变量的预测值与实际值, 得到了性能模型的混淆矩阵, 见表 9

表 9

混淆矩阵

通过混淆矩阵, 还可进一步计算得到更多性能评价指标, 如准确率、精确率、召回率(recall)和F1值等。

进一步地, 为了验证本文所建立的朴素贝叶斯性能模型(NB)的有效性, 在此引入机器学习算法中常见的决策树(DT), 逻辑回归(LR)和随机森林(RF)进行模型的对比。各个模型在同一测试集上的性能表现如表 10所示。

表 10

模型性能计算结果

为方便比较, 对表 10的计算结果进行了可视化展示, 如图 4所示。

Thumbnail: 图 4 Refer to the following caption and surrounding text. 图 4

模型性能对比

从以上结果可以看出, 本文基于朴素贝叶斯模型建立的涡轴航空发动机性能模型具有较高的精度, 能较好地体现数据的特点。在与其他模型的对比中, 综合各个性能指标来看有比较大的优势, 基于此模型所进行的概率推理相较来说也最为可信。

3.3 推荐状态组合表

通过排列属性变量的状态组合并将其依次输入到性能模型中, 得到目标变量T的后验合格概率之后, 可以按概率值大小对这些状态组合做一个降序排列, 形成一个推荐状态组合表。在推荐状态组合表中所处的位置越高, 表示采用该状态组合后, 目标变量T满足合格条件的概率就越大。受篇幅限制, 本文只节选了推荐状态组合表中的前20个状态组合, 如表 11所示。

表 11

推荐状态组合表(节选)

根据表 11可以发现, 能使目标变量T的后验合格概率最大的属性变量X, Y, ZTout的状态组合为(2, 2, 2, 0), 在采用了该状态组合后, 理论上目标变量T有92.45%的概率能满足合格要求。此外, 还可进一步设定搜索目标, 假如需要找出全部满足目标变量T的后验合格概率≥85%的状态组合, 根据表 11, 可轻松得到: 在此搜索目标下, 属性变量X, Y, ZTout的状态组合解集为{(2, 2, 2, 0), (1, 2, 2, 0), (2, 1, 2, 0), (0, 2, 2, 0), (1, 1, 2, 0), (2, 0, 2, 0), (0, 1, 2, 0), (1, 0, 2, 0), (0, 0, 2, 0), (2, 2, 1, 0)}。

基于贝叶斯网络的概率推理特性对性能模型进行搜索,成功建立了涡轴发动机的推荐状态组合表。在以后的实际生产与装配活动中,可以适当综合考虑经济成本和人力成本,尽可能选择在推荐状态组合表中排名靠前的参数状态组合,从而可以有效提高涡轴发动机的出厂合格率。不同于常规的贝叶斯网络应用模式,在经过模型搜索之后,成功实现了由模型出发反过来指导生产的目标。

4 结论

本文主要研究涡轴航空发动机的性能优化问题,首先对涡轴发动机的数据进行了提取与预处理,然后,利用朴素贝叶斯模型,建立了以关键截面温度为目标变量的涡轴发动机性能模型。接着,基于贝叶斯网络的概率推理特性对性能模型进行了后验合格概率的计算,并引入决策树,逻辑回归和随机森林等主流算法进行对比分析,结果表明本文所提出模型能够有效识别发动机的性能合格概率。最后,提出了推荐状态组合表,对涡轴航空发动机的日常生产活动提出了切实有效的建议。

References

  1. Zou Wangzhi, Zheng Xinqian. Development trends of aero turboshaft engines[J]. Journal of Aerospace Power, 2019, 34(12):2577–2588 [Article] (in Chinese) [Google Scholar]
  2. Sun Hao, Guo Yingqing, Zhao Wanli. Improved model for on-board real-time by constructing empirical model via GMM clustering method[J]. Journal of Northwestern Polytechnical University, 2020, 38(3):507–514 [Article] [Article] (in Chinese) [Google Scholar]
  3. Li Le, Suo Jianqin, Yu Han, et al. Optimal design and application of gas analysis system[J]. Journal of Northwestern Polytechnical University, 2020, 38(1):104–113 [Article] [Article] (in Chinese) [Google Scholar]
  4. Ahmadian N, Khosravi A, Sarhadi P. Adaptive control of a jet turboshaft engine driving a variable pitch propeller using multiple models[J]. Mechanical Systems & Signal Processing, 2017, 92(1):1–12 [Article] [Google Scholar]
  5. John S K, Mishra R K, Shetty P B. Test bed calibration by trend analysis for reliability of a turboshaft engine performance[J]. Journal of Failure Analysis & Prevention, 2017, 17(6):1208–1216 [Article] [Google Scholar]
  6. Dong Zhen, Zhou Wenxiang, Pan Muxuan, et al. Modification and updating method in component characteristics of turboshaft engine[J]. Aeroengine, 2018, 44(6):11–16 [Article] (in Chinese) [Google Scholar]
  7. Chen Bidong, Xu Jianguo, Wang Yunlai, et al. Turboshaft engine anti-interference performance optimization control of exploration and research[J]. Smart Factory, 2016, 1(7):54–57 [Article] (in Chinese) [Google Scholar]
  8. Lin Xuesen, LI Benwei, Zhao Yong, et al. Analysis and diagnosis of a turbo-shaft engine performance deterioration[J]. Gas Turbine Experiment and Research, 2015, 28(6):34–38 [Article] (in Chinese) [Google Scholar]
  9. Efron B. Bayesians, frequentists, and scientists[J]. Journal of the American Statistical Association, 2005, 100(469):1–5 [Article] [Google Scholar]
  10. Chen Yingwu, Gao Yanfang. Survey of extended Bayesian networks[J]. Control and Decision, 2008, 23(10):1081–1086 [Article] (in Chinese) [Google Scholar]
  11. Jensen F. An introduction to Bayesian networks[M]. London: UCL Press, 1996 [Google Scholar]
  12. Cai B, Huang L, Xie M. Bayesian networks in fault diagnosis[J]. IEEE Trans on Industrial Informatics, 2017, 13(5):2227–2240 [Article] [Google Scholar]
  13. Weber P, Medina-oliva G, Simon C, et al. Overview on Bayesian networks applications for dependability, risk analysis and maintenance areas[J]. Engineering Applications of Artificial Intelligence, 2012, 25(4):671–682 [Article] [Google Scholar]
  14. Mu Chundi, Dai Jianbin, Ye Jun. Bayesian networks for data mining[J]. Journal of Software, 2000, 11(5):660–666 [Article] (in Chinese) [Google Scholar]
  15. Zhang Lianwen, Guo Haipeng. Introduction to Bayesian networks[M]. Beijing: Science Press, 2006 (in Chinese) [Google Scholar]
  16. Friedman N, Geiger D, Goldszmidt M. Bayesian network classifiers[J]. Machine Learning, 1997, 29(2):131–163 [Article]

    FRIEDMAN N, GEIGER D, GOLDSZMIDT M. Bayesian network classifiers[J]. Machine Learning, 1997, 29(2): 131-163

    [Google Scholar]

All Tables

表 1

涡轴发动机数据集变量情况统计

表 2

数据集离散化结果

表 3

数据集划分结果

表 4

目标变量T的概率分布表

表 5

属性变量X的条件概率表 %

表 6

属性变量Y的条件概率表 %

表 7

属性变量Z的条件概率表 %

表 8

属性变量Tout的条件概率表 %

表 9

混淆矩阵

表 10

模型性能计算结果

表 11

推荐状态组合表(节选)

All Figures

Thumbnail: 图 1 Refer to the following caption and surrounding text. 图 1

贝叶斯网络模型

In the text
Thumbnail: 图 2 Refer to the following caption and surrounding text. 图 2

朴素贝叶斯模型

In the text
Thumbnail: 图 3 Refer to the following caption and surrounding text. 图 3

涡轴发动机性能模型

In the text
Thumbnail: 图 4 Refer to the following caption and surrounding text. 图 4

模型性能对比

In the text

Current usage metrics show cumulative count of Article Views (full-text article views including HTML views, PDF and ePub downloads, according to the available data) and Abstracts Views on Vision4Press platform.

Data correspond to usage on the plateform after 2015. The current usage metrics is available 48-96 hours after online publication and is updated daily on week days.

Initial download of the metrics may take a while.