| Issue |
JNWPU
Volume 40, Number 6, December 2022
|
|
|---|---|---|
| Page(s) | 1250 - 1260 | |
| DOI | https://doi.org/10.1051/jnwpu/20224061250 | |
| Published online | 10 February 2023 | |
A method for evaluating human-machine interface in civil aircraft cockpit based on human factor reliability
基于人因可靠性的民机驾驶舱人机界面评价方法
1
Institute of Industrial Design, Northwestern Polytechnical University, Xi'an 710072, China
2
Key Laboratory of Industrial Design and Human-Machine Ergonomics for Ministry of Industry and Information Technology, Xi'an 710072, China
Received:
25
February
2022
Abstract
In order to reduce the probability of human error in the cockpit of a civil aircraft, based on the SHEL model, this paper classifies performance shaping factors (PSF) that affect the human factor reliability of the human-machine interface. Then it constructs the relevant PSF system and uses the interpretation structure model to establish the corresponding adjacency matrix. When a multi-level recursive structure is obtained, the Noisy-OR model is introduced to construct the Bayesian network, thus establishing the new human-machine interface evaluation method. Real cases are used to verify the effectiveness of the method thus established through causal inference with the Bayesian network. The evaluation method for the reliability of a set of human factors this paper proposes provides a new approach to evaluating the human-machine interface in the cockpit of a civil aircraft.
摘要
为降低民机驾驶舱人因失误概率, 基于SHEL模型对影响人机界面人因可靠性的行为形成因子(PSF)进行分类并构建PSF体系, 利用解释结构模型(ISM)建立相应的邻接矩阵, 得到多层级递阶结构, 同时, 引入Noisy-OR模型来构建贝叶斯网络, 以此建立新的人机界面评价方法。通过对实际案例的贝叶斯网络因果推理验证了所得方法的有效性。研究提出了一套适用于民机驾驶舱人机界面的人因可靠性评价方法, 为人因可靠性评估提供了新思路。
Key words: cockpit / human factor error / interpretative structure model / Bayesian network
关键字 : 驾驶舱 / 人因失误 / 解释结构模型 / 贝叶斯网络
© 2022 Journal of Northwestern Polytechnical University. All rights reserved.
This is an Open Access article distributed under the terms of the Creative Commons Attribution License (http://creativecommons.org/licenses/by/4.0), which permits unrestricted use, distribution, and reproduction in any medium, provided the original work is properly cited.
民机驾驶舱人机界面指操作员进行人机信息交流的一切领域, 是飞行员与飞机之间的人机交互接口, 是执行飞行任务的核心枢纽。研究指出, 人机界面事故发生的主要原因为人因失误[1]。驾驶舱空间封闭、结构复杂且作业精度要求高, 更易引起人因事故的发生。学者对人机界面人因可靠性的研究有很多, Evica等[2]采用系统人因失误预测的方法对驾驶舱人机界面进行了分析, 结果表明界面人因可靠性较低是飞行员人因失误的主要原因。张爱琳等[3]建立改进的CREAM(cognitive reliability and error aanalysis method, CREAM)模型, 为船舶引航员的界面人因可靠性分析提供了定量评估数据。袁乐平等[4]基于德尔菲诺法与贝叶斯网络提出了一种新的面向管制员界面人因可靠性分析方法, 并通过实例验证了该方法的可靠性。罗凤娥和赵振武等[5-6]通过改进CREAM方法, 分别确定了管制员与飞行员之间、签派员与飞行员之间人机界面的人因可靠性评估模型。郝红勋[7]以飞机驾驶舱人机界面的人因可靠性设计需求为基础, 结合认知行为学的基础理论, 从定性与定量的角度分别建立了飞行员人因失误分析模型。Wang等[8]通过构建基于CPC(common performance condition)效应模糊集和扩展CREAM的方法计算飞行员认知故障概率, 以此提升飞机驾驶舱人机界面人因可靠性。朱荟群[9]使用模糊推理及BP神经网络、前后向算法实现了民机驾驶舱着陆阶段人机界面的可靠性计算。也有学者对影响人因可靠性的本质行为形成因子(performance shaping factor, PSF)进行研究, Kim等[10]指出对不同情境下的PSFs进行研究, 可以显著提高核电站人机界面人因可靠性。Liu等[11]基于专家修正法对核电站控制室的4类PSF进行重新定义, 并成功降低了人因失误概率。Santoso等[12]利用CREAM分析方法对核电厂人机界面PSFs进行分析, 结果显示人机界面优化设计和充分的培训有助于提高操作员的绩效。刘建桥等[13]对标准化核电厂风险分析-人因可靠性分析方法(SPAR-H)进行改进, 为定量研究PSFs间的因果关系建立了基础。杨越等[14]以空中管制行为形成因子作为根节点, 构建贝叶斯网络,对管制员在多任务中的人因失误概率进行预测, 结果表明, 贝叶斯网络在研究该问题时更具优势。可见, 大部分学者都对影响人因可靠性的本质PSFs进行了分析, 但很少有学者对PSFs之间的相互作用进行研究, Bandeira等[15]指出PSFs之间的相关性在复杂民用航空运输系统中普遍存在, 其对飞行员绩效和飞行程序相关任务的成功或失败有显著影响。可见, 对PSFs之间的相关性进行探究, 也是提高人机界面人因可靠性的关键之一。
综上所述, 研究从民机驾驶舱人机界面PSFs之间的相互作用出发, 建立了一种更加全面系统的评价方法来提高民机驾驶舱人机界面人因可靠性, 从而在降低民机安全事故的同时, 也为人机界面的设计提供更加科学有效的指导。
1 驾驶舱人机界面PSF体系构建
1.1 行为形成因子识别
利用航空安全领域经常使用的SHEL模型[16],将民机驾驶舱人机界面涵盖要素分为系统人员(L)、系统软件操作规范(S)、系统硬件(H)、系统环境(E)4个方面, 评估内容确定为L-L、L-S、L-H、L-E之间的关系研究, 通过文献总结与专家访谈共得到28项PSFs, 如表 1所示。
1) L-L关系: 飞行员与机组人员之间的信息交流、作业协作能力关系研究。
2) L-H关系: 飞行员与硬件作业设备之间的交互关系研究。
3) L-S关系: 飞行员与机组管理、技术培训及操作规范制度等人机关系研究。
4) L-E关系: 飞行员与驾驶舱的作业环境的关系研究。
民机驾驶舱人机界面PSFs汇总
1.2 行为形成因子问卷调研
为构建民机驾驶舱人机界面人因可靠性PSF体系, 采用调查问卷的方式对得到的28项行为形成因子进行调研。对具有民机驾驶舱操作经验(即民航飞行员、民航飞行学院在校生等)且平均年龄在35岁左右的男性人群发放问卷, 通过问卷数据分析, 为构建PSF体系提供有力支持。
本次调查问卷的主要信息包括基本信息与影响人因可靠性的PSFs调查, 采用李克特5级量表, 1表示“影响程度极小”, 5表示“影响程度极大”。正式问卷发放前进行小样本预调查来保证问卷的有效性。正式问卷共回收204份, 其中有效问卷201份, 对回收的问卷进行可靠性检验来保证数据的有效性。
对回收的问卷进行信效度检验: ①通过SPSS软件得到问卷的总体信度为0.981, 且4个维度的信度系数分别为0.941(L-L), 0.964(L-H), 0.923(L-S), 0.858(L-E), 可见问卷各维度具有良好的一致性; ②对问卷内容效度、关联校标效度、结构效度进行检验, 问卷数据的KMO检验值为0.807, Bartlett球形检验近似卡方值为1 968.566, 由此可知该量表适合做因子分析。使用最大方差法对初始的成分矩阵进行旋转, 得到旋转后的成分矩阵。删除旋转矩阵中因子载荷小于0.6, 多重载荷大于0.2的因子, 即删除S1, S17, S23, S25, 删除上述因子后, 重新进行KMO值与Bartlett球形检验, 计算得到KMO值为0.933, Bartlett值为1 477.033。
1.3 行为形成因子体系
通过问卷数据分析, 最终确定包含4个维度的PSF体系, 这套指标体系可以反映民机驾驶舱人机界面对飞行员操作行为的影响, 如图 1所示。
![]() |
图1 行为形成因子(PSF)体系 |
2 驾驶舱人机界面人因可靠性评价模型构建
为明确各因子之间的作用机理, 将解释结构模型与贝叶斯网络相结合进行PSF关系建模, 通过解释结构模型获取层次结构, 从而将模型映射到贝叶斯网络中, 完成拓扑结构的构建, 在此基础上获取根节点的先验概率以及条件概率完成贝叶斯网络数据填充, 建立完备的贝叶斯网络模型以量化行为形成因子之间耦合关系强度。
2.1 PSF解释结构模型建立
解释结构模型(ISM)可以对复杂无序的系统进行梳理分析, 它通过建立元素之间的关联关系, 借助矩阵运算、有向图等实现多层阶梯模型的构建, 从而明确系统的结构与层次。利用ISM对影响人因可靠性的PSF进行了梳理, 确定各PSF因子之间的相互作用关系, 并建立可达矩阵。基于可达矩阵完成PSF级位划分, 通过有向弧将相关PSF因子进行连接, 建立民机驾驶舱人机界面的PSF解释结构模型, 如图 2所示。
由图 2可知, PSF解释结构模型分为3个层级, 各层级由下往上存在层层递阶解释关系, 结合PSF体系划分的L-L、L-H、L-S、L-E 4个维度对该解释结构模型进行分析:
1) 第1层是造成失误的直接原因, 包括飞行员注意力集中程度、知识技能与业务能力、疲劳程度、团队协作程度等, 这些因子可以直接引发飞行员的失误。
2) 第2层是造成失误的间接原因,包括情绪状态、工作责任意识等L-L维度,数字界面信息传达、指示标志、显控装置布局、空间总体布局、驾驶舱座椅、通讯设备、驾驶舱报警等L-H维度,工作培训充分性、机组作业规程完备性、工作时间合理性、人员选拔及配置合理性、人员分工及职责明确性等L-S维度。
3) 第3层是造成失误的深层原因, 包括组织管理机制、安全监管与教育、奖惩制度等L-S维度, 微小气候以及照明、色彩环境等L-E维度等。
![]() |
图2 PSF解释结构模型 |
2.2 基于贝叶斯网络的人因可靠性分析
1) 节点发生概率模糊化
参考Prakash的因果图修正法[30], 对模型进行调整, 最终建立基于解释结构模型的贝叶斯网络拓扑结构。研究假设网络层次中的每个节点由2个状态组成, 即对人因可靠性的积极与消极影响、节点状态设置与含义,如表 2所示。引入自然语言变量描述方法, 建立了自然语言变量与模糊数的映射关系, 语言变量与三角模糊数的对应关系如表 3所示。
2) 模糊概率的合成
由于专家的教育背景、知识储备、认知水平存在差异性, 在群体决策过程中可能会出现意见冲突, 为了降低单一个体的影响, 采用相似度聚合方法(similarity aggregation method, SAM)处理专家意见以使得专家意见达成共识[31]。SAM的步骤如下:
① 评估专家对意见的相似度。假设专家集合为Ek(k=1, 2, …, n), 采用Ru和Rv表示任意2位专家的意见, 则
和
, 专家Eu与专家Ev的相似函数Suv如(1)式所示。相似函数的取值范围在0~1之间, 并且数值越大, 代表相似度越高。
1
式中:
和
为专家意见的标准三角模糊数。
② 计算专家的平均一致性。平均一致性AA(Ek)描述为(2)式
2
③ 计算专家相对一致性。相对一致性AR(Ek)描述为(3)式
3
④ 计算专家的一致性系数, 如公式(4)所示
4
式中: w(Ek)为专家的权重; β是松弛因子, 在不考虑专家权重时, β=0;
⑤ 专家意见的聚合, 如公式(5)所示。
5
以行为形成因子S14的聚合为例进行说明, 首先收集专家对于节点S14处于“St=1”的模糊评判语义值, 然后按照上述方法进行数学计算, 经过专家意见的聚合, S14的三角模糊数为(0.000 00, 0.060 64, 0.221 28)。
3) 解模糊处理
解模糊就是对模糊概率进行数学计算得到一个精确的数值。采用均值面积法进行解模糊, 其中(a, m, b)代表一组模糊数, P为解三角模糊数后的值,则解模糊的公式如(6)式所示
6
以根节点S14为例

4) 贝叶斯网络条件概率获取
采用Noisy-OR模型来描述事故原因与其相应的共同影响之间的相互作用,其优点在于能够大幅度降低贝叶斯网络中CPT填充时所需要的参数数量。假设一个二元变量Y,它是由n个二元父节点Xi组成,每个变量均有0, 1(0代表不发生,1代表发生)2种状态。
在获取父节点独立影响子节点的条件概率之后, 可以计算多父节点共同作用下的条件概率。计算公式为
7
8
式中: Xi表示节点Xi发生,
表示节点Xi不发生;Xp表示同时发生父节点结合; P(Y←Xi)表示父节点Xi独立影响时Y节点的发生概率。
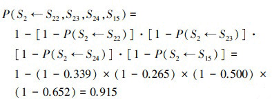
以节点S2为例进行说明, 在父节点单独影响下的条件概率为P(S2←S22)=0.339, P(S2←S23)=0.265, P(S2←S24)=0.500, P(S2←S15)=0.652, 计算多父节点共同作用的条件概率, 将P(S2←S22), P(S2←S23), P(S2←S24), P(S2←S15)代入Noisy-OR公式中, 计算过程如(9)式所示。
9
各节点状态含义
自然语言变量与三角模糊数对应关系
3 事例分析
事例选自某航空公司发布的年度航空安全案例汇编。一架北京飞往西宁的飞机, 在进近过程未放襟翼30°(不在着陆构型), 致使飞机处于无线电高228英尺时触发TOO LOW SLAPS的警戒, 构成一件飞行安全严重差错事件。根据事故报告显示, 该航班的飞机型号B737-800。
3.1 概率获取
为获取节点状态, 研究邀请5位领域专家进行访谈, 专家根据实际经验以及事件基本资料给出PSF处于“St=1”时模糊评判值, 计算在不同父节点组合影响下的条件概率。通过Netica的诊断推理获取后验概率, 假设民机驾驶舱人机界面的人因可靠性低, 处于消极状态, 即设置节点S0的状态P(S0=1)=100%, 更新网络的概率参数, 得到此时各节点的后验概率, 各节点先验概率与后验概率对比如表 4所示。
贝叶斯网络各节点概率对比
3.2 贝叶斯因果推理
利用Netica软件计算该驾驶舱人机界面的人因可靠性概率为39.8%, 如图 3所示, 这与该航班运行过程状态基本吻合。该航班在飞行过程中, 机长忽视了未放襟翼30°, 副驾驶对襟翼核实不到位, 随机出现TOO LOW SLAPS的警戒, 在警戒之后机组认识到错误进行了复飞, 后续正常落地, 没有酿成重大错误。这验证了本研究提出的基于解释结构模型的贝叶斯网络方法在民机人机界面人因可靠性评价方面具有一定的适用性。
![]() |
图3 因果推理示意图 |
3.3 风险节点改进
由于PSF隶属于L-L、L-H、L-S、L-E不同维度, 若将不同种类的PSF进行敏感度比较, 则缺乏可比性, 得到的结论缺乏说服力。为了更加客观地分析数据并确定敏感因子, 依据所确定的PSF体系, 从L-L、L-H、L-S、L-E 4个维度分别进行讨论, 并绘制出先验概率与后验概率变化差异的条形图, 直观表现节点概率的变化, 如图 4所示。
1) 在L-L关系中, 飞行员的疲劳程度因素敏感度最高。
研究表明暂时远离任务的时间会提高工作人员的机敏性, 适时的休息可以作为一种风险管理措施[32], 飞行前进行疲劳测试以确定飞行员是否做好飞行准备,飞行员应坚持科学、有条理的生活方式。注意力集中程度的敏感度处于第二位, 在复杂的飞行过程中存在大量的外部环境和机舱内部信息, 飞行员必须立即获取、扫视并选择大量信息, 这时飞行员的注意力程度成为决定性因素。团队协作程度的敏感度处于第三位, 在任务复杂性、信息不确定性超出个人能力, 一旦产生错误便会造成严重后果的环境下, 往往需要团队合作,征求群体意见,进行多方面权衡最终做出决策。情绪状态的影响是多方面的, 比如烦躁、忧伤等负面情绪会导致飞行员信息处理能力下降, 也会导致机组工作氛围冷淡与压抑从而影响团队沟通与交流, 而过分高亢的情绪容易造成注意力转移。知识技能与业务能力是衡量一名飞行员是否合格的基础, 如果缺乏对知识、技能的掌握, 那么在执行飞行任务时, 会缺失处理各种情况的科学依据, 不能正确执行相关程序, 从而产生失误。工作责任意识体现了一个人的使命感, 其不仅是飞行员在日常工作中的自我约束力, 更考验了飞行员在关键时刻的奉献精神。
2) 在L-H关系中, 数字界面信息传达因素敏感度最高。
在飞行任务中, 飞行员通过视觉获得了所需信息的85%[33], 显示器的合理显示与布局可以有效提高飞行员视觉信息的处理效率, 减少资源占用和认知成本。指示标志的指向是否明确、含义是否清晰对信息传递具有重要作用。告警系统是驾驶舱的重要听觉来源, 其设计应保证不同信号之间存在优先级顺序、较强的区分度等, 以减轻飞行员的认知负荷。显控装置布局主要关系到飞行员是否可以顺畅地获取有效信息并完成规定的操纵任务, 并对飞行员的疲劳程度产生影响, 飞行员在驾驶舱需要依靠上肢完成一系列操纵任务, 长时间保持不良的工作姿势或者重复某几个动作会使得肌肉处于高张力状态极易造成肌肉疲劳积累。驾驶舱座椅对飞行员的人身安全具有保护作用, 同时座椅对飞行员的身体疲劳及舒适性有一定程度的影响。通讯设备的可靠性则关系到机组人员与地面人员的沟通与交流, 在飞行安全方面发挥着不可替代的作用。空间总体布局主要指驾驶舱过道、入口以及辅助设施的排布, 对人因可靠性敏感度较低。
3) 针对L-S关系, 工作时间合理性因素的敏感度最高。
目前国际民航组织成员国中大多数国家仅仅对飞行员的最大飞行时间和单次工作持续时间做出规定[34], 缺乏细致的限制与安排。飞行员与软件系统进行人机交互时, 应考虑昼夜节律的影响, 针对白天与夜间飞行员节律的不同, 进行区别对待, 使飞行员保证充分的睡眠时间。机组操作任务规程完备性是飞行员进行操纵任务的参考标准, 只有保证操作程序的人性化、完备性, 飞行员的任务执行才有望达到高效与安全的高度统一, 减少飞行过程中出错率。工作培训充分性一般包括软件理论教学与模拟机操作, 其与飞行员技能掌握具有密切关系, 只有保证充分、严格的培训, 飞行员才有可能具备完备的领域知识以应对各种飞行情景。奖惩制度合理性关系到飞行员对工作的积极性与主动性, 在正确操作系统并完成飞行任务后得到奖励有利于提高飞行员的工作责任意识以及对安全飞行的忠诚度。
4) 针对L-E关系, 噪声、振动因素敏感度最高。
控制噪声源声压级, 比如增大涡扇发动机的涵道比; 控制噪声的传播路径[35], 使噪声在传播过程中的损失增大, 主要包括在舱内合理布置一些隔声与吸声材料、隔振与吸振结构等。照明、色彩的敏感度处于第二位, 光环境会对显示器的显示工效产生影响, 从而加大飞行员对显示器信息读取的误差, 而且光环境的不同会造成人眼生理状态的不同, 对飞行员的视觉工效产生影响。色彩环境具有较强的意象性, 对人的情绪状态有重要影响。微小气候在人因可靠性分析中的敏感度较低, 主要关系到飞行员的体感舒适度。
![]() |
图4 4个维度关系因子敏感度数据 |
4 结论
对民机驾驶舱人机界面的人因可靠性研究有很多, 并且建立了一些评价方法, 但传统方法未考虑PSFs相互之间的影响。文中提出的驾驶舱人机界面人因可靠性评价方法, 可以更加全面且科学地对驾驶舱人机界面人因可靠性进行评估, 使民机驾驶舱人机界面的发展更加安全高效。
本文所建立的评价模型主要依靠问卷与专家打分来对各因素进行评估, 而客观的生理、心理与绩效等数据可以更加真实地反映飞行员当下飞行的状态, 因此, 未来将通过实验与仿真的方法对民机驾驶舱人机界面PSFs状态进行评估, 减少专家评分的主观性, 以更加客观的数据来对驾驶舱人因可靠性进行评价。
References
- JIANG Jianjun, ZHANG Li, WANG Yiqun, et al. Function layout optimal method research of digital human-computer interface in nuclear power plant based on human reliability[J]. Atomic Energy Science and Technology, 2015, 49(9): 1666–1672 (in Chinese) [Google Scholar]
- EVICA Stojiljkovic, BOJAN Bijelic, MIROLJUB Grozdanovic, et al. Pilot error in process of helicopter starting[J]. Aircraft Engineering and Aerospace Technology, 2018, 90(1): 158–165 [Article] [CrossRef] [Google Scholar]
- ZHANG Ailin, LIU Xiaojia. Improved CREAM model for human factors reliability prediction of ship pilots[J]. China Sailing, 2021, 44(1): 32–37 [Article] (in Chinese) [Google Scholar]
- YUAN Leping, ZHANG Xingjian. Human factors reliability analysis methodology for air traffic controllers[J]. Chinese Journal of Safety Science, 2017, 27(9): 98–103 [Article] (in Chinese) [Google Scholar]
- LUO Feng'e, GUO Shuang. Human factors reliability analysis between dispatchers and pilots based on improved CREAM[J]. Modern Electronics, 2015, 38(2): 18–21 [Article] (in Chinese) [Google Scholar]
- ZHAO Zhenwu, ZHANG Wei. Human factors reliability analysis between controllers and pilots based on improved CREAM[J]. Journal of Safety and Environment, 2013, 13(1): 185–188 [Article] (in Chinese) [Google Scholar]
- HAO Hongxun. A study of a human factors error evaluation model for civil aviation pilots[D]. Beijing: China University of Mining and Technology, 2017 (in Chinese) [Google Scholar]
- WANG Lijing, WANG Yanlong, CHEN Yingchun, et al. Methodology for assessing dependencies between factors influencing airline pilot performance reliability: a case of taxiing tasks[J]. Journal of Air Transport Management, 2020, 1(3): 89–95 [Google Scholar]
- ZHU Huiqun. Risk assessment method for cockpit human-machine interaction during landing phase of civil aircraft[D]. Nanjing: Nanjing University of Aeronautics and Astronautics, 2019 (in Chinese) [Google Scholar]
- KIM Yochan, PARK Jinkyun, PRESLEY Mary. Selecting significant contextual factors and estimating their effects on operator reliability in computer-based control rooms[J]. Reliability Engineering and System Safety, 2021, 3(5): 213–224 [Google Scholar]
- LIU Jianqiao, ZOU Yanhua, WANG Wei, et al. A study on assigning performance shaping factors of the SPAR-H method for adequacy human reliability analysis of nuclear power plants[J]. International Journal of Industrial Ergonomics, 2021, 11(2): 81–87 [Google Scholar]
- SANTOSO Sigit, TAKAHASHI Makoto, KITAMURA Masaharu. A case study on the designing of human machine interface for industrial process control system[J]. Correspondences on Human Interface, 2002, 4(4): 417–420 [Google Scholar]
- LIU Jianqiao, ZHANG Li, ZOU Yanhua, et al. Identification of correlations between behaviour-forming factors in the SPAR-H method, 2021, 42(4): 144-150 (in Chinese) [Google Scholar]
- YANG Yue, ZHANG Yanfei, WANG Jianzhong. ATC human error probability prediction method based on CREAM and Bayesian networks[J]. China Production Safety Science and Technology, 2020, 16(3): 37–43 [Article] (in Chinese) [Google Scholar]
- BANDEIRA M C G S P, CORREIA A R, MARTINS M R. General model analysis of aeronautical accidents involving human and organizational factors[J]. Journal of Air Transport Management, 2008, 69: 137–146 [Google Scholar]
- LI Yuan. SHELL model interpretation[J]. Shandong Medicine, 2013, 53(45): 96–97 [Article] (in Chinese) [Google Scholar]
- WANG Lijing, WANG Yanlong. Human reliability analysis: human-caused error risk assessment and control[M]. Beijing: Aviation Industry Press, 2015 (in Chinese) [Google Scholar]
- XU Wei, CHEN Yong. New advances and suggestions on the application of ergonomics in the development of civil airliners[J]. Aviation Science and Technology, 2012(6): 18–21 [Article] (in Chinese) [Google Scholar]
- LUO Xiaoli,LI Hailong, QIN Fengjiao. JACK-based workload assessment for mechanics[J]. China Safety Production Science and Technology, 2015, 11(4): 192–196 [Article] (in Chinese) [Google Scholar]
- BU Xiaomin. Research on aviation human factors accident/incident analysis model[D]. Tianjin: Civil Aviation University of China, 2008 (in Chinese) [Google Scholar]
- HUANG Han. Analysis of human factors of aviation risks based on hainan airlines[D]. Changsha: Hunan University, 2019 (in Chinese) [Google Scholar]
- LIU Ruihuan. Research on the internal and external factors affecting pilots' unsafe behavior and their mechanism of action[D]. Tianjin: Civil Aviation University of China, 2019 (in Chinese) [Google Scholar]
- WU Xiaoli. Error-cognitive mechanisms for complex information task interfaces[D]. Nanjing: Southeast University, 2015 (in Chinese) [Google Scholar]
- ZHANG Li, PENG Huilian. Experimental validation study of auditory failure of digital human machine interface operators[J]. Industrial Engineering and Management, 2015, 20(3): 103–108 (in Chinese) [Google Scholar]
- LIU Qiyue. Study on human-machine ergonomics evaluation method for civilian aircraft cockpit[D]. Nanjing: Nanjing University of Aeronautics and Astronautics, 2013 (in Chinese) [Google Scholar]
- WANG Lei, MA Wenyi, WU Yuxin. An empirical study on the evaluation index system of creativity of research teams in universities[J]. Science and Technology Management Research, 2019, 39(19): 73–82 [Article] (in Chinese) [Google Scholar]
- CHEN Xiangrong, WU Shuoxian. Satisfaction evaluation of modern theaters based on subjective evaluation method: taking Guangzhou grand theatre and Hunan grand theatre as examples[J]. Journal of South China University of Technology, 2013, 41(10): 135–144 [Article] (in Chinese) [Google Scholar]
- NADKARNI S, SHENOY P P. A causal mapping approach to constructing bayesian networks[J]. Decision Support Systems, 2004, 38(2): 259–281 [CrossRef] [Google Scholar]
- MA Dezhong, ZHOU Zhen, YU Xiaoyang, et al. Reliability analysis of multi-state Bayesian networks based on fuzzy probability[J]. Systems Engineering and Electronics Technology, 2012, 34(12): 2607–2611 [Article] (in Chinese) [Google Scholar]
- NADKARNI S, SHENOY P P. A causal mapping approach to constructing Bayesian networks[J]. Decision Support Systems, 2004, 38(2): 259–281 [CrossRef] [Google Scholar]
- HSU H M, CHEN C T. Aggregation of fuzzy opinions under group decision making[J]. Fuzzy Sets & Systems, 1996, 79(3): 279–285 [CrossRef] [Google Scholar]
- CALDWELL L, CHANDLER J, HARTZLER B. Battling fatigue in aviation: recent advancements in research and practice[J]. Journal of Medical Sciences, 2012, 32(2): 1–12 [Google Scholar]
- PAN Weijun, ZHENG Sirui, LIANG Haijun, et al. A study on the ease of reading visual information for pilots[J]. Mathematical Practice and Understanding, 2020, 50(8): 123–131 [Article] (in Chinese) [Google Scholar]
- IVAN M E N N. Civil aviation rules on crew flight time, flight duty, and rest: comparison of 10 ICAO member states[J]. Aviation, Space, and Environmental Medicine, 2009, 80(2): 135–138 [CrossRef] [Google Scholar]
- ZUO Kongcheng, CHEN Peng, WANG Zheng, et al. Current status of research into aircraft cabin noise[J]. Journal of Aviation, 2016, 37(8): 2370–2384 (in Chinese) [Google Scholar]
All Tables
All Figures
![]() |
图1 行为形成因子(PSF)体系 |
| In the text | |
![]() |
图2 PSF解释结构模型 |
| In the text | |
![]() |
图3 因果推理示意图 |
| In the text | |
![]() |
图4 4个维度关系因子敏感度数据 |
| In the text | |
Current usage metrics show cumulative count of Article Views (full-text article views including HTML views, PDF and ePub downloads, according to the available data) and Abstracts Views on Vision4Press platform.
Data correspond to usage on the plateform after 2015. The current usage metrics is available 48-96 hours after online publication and is updated daily on week days.
Initial download of the metrics may take a while.




