| Issue |
JNWPU
Volume 39, Number 4, August 2021
|
|
|---|---|---|
| Page(s) | 818 - 823 | |
| DOI | https://doi.org/10.1051/jnwpu/20213940818 | |
| Published online | 23 September 2021 | |
Protection scheme of subcarrier index in OFDM with index modulation aided by LDPC coding
基于LDPC编码辅助的OFDM-IM子载波索引保护方案
1
School of Marine Science and Technology, Northwestern Polytechnical University, Xi’an 710072, China
2
School of Electronics and Information, Northwestern Polytechnical University, Xi'an 710129, China
Received:
17
December
2020
Abstract
The receiver of OFDM with Index Modulation (OFDM-IM) usually adopts a Log Likelihood Ratio (LLR) detection algorithm based on the activation state of subcarriers. However, the LLR detection algorithm will cause detection errors in subcarrier activation pattern (SAP) or get illegal SAP. Consequently, further errors occur in demodulation, increasing the bit error rate (BER). To solve this problem, we propose the protection scheme of subcarrier index aided by LDPC coding, which reduces the SAP detection errors by encoding the index information bits. On the receiver, the LDPC Coding Aided (LA) detection algorithm is designed, and the formula of LLR of index information bits is derived in detail. Monte Carlo simulation is carried out over multi-path fading channel by MATLAB software. The results show that under the condition that the spectrum efficiency is not lower than the classical OFDM-IM scheme, the proposed protection scheme can obtain a gain of about 5~9 dB when the BER is 10-4, effectively improving the BER performance of OFDM-IM scheme.
摘要
索引调制OFDM(OFDM with index modulation,OFDM-IM)的接收端常采用基于子载波激活状态的对数似然比(log likelihood ratio,LLR)检测算法。然而,LLR检测算法会出现子载波激活模式(subcarrier activation pattern,SAP)判决错误或判决出非法的SAP,不仅引起对索引信息的估计错误,还严重影响符号解调的正确率,导致整体的误码率增大。针对上述问题,提出了一种基于低密度奇偶校验(low density parity check,LDPC)编码辅助的子载波索引保护方案,通过对索引信息比特编码降低子载波激活模式的判决错误率。在接收端设计了LDPC编码辅助(LDPC coding aided,LA)检测算法,并详细推导了索引信息比特LLR的闭合表达式。利用MATLAB软件在多径衰落信道下进行蒙特卡洛仿真,结果表明在频谱效率不低于传统OFDM-IM方案的条件下,所提方案在误码率为10-4时可取得约5~9 dB的增益,能够有效提高OFDM-IM传输方案的误码率性能。
Key words: OFDM-IM / LDPC / subcarrier activation pattern / multi-path fading / BER
关键字 : OFDM-IM / LDPC / 子载波激活模式 / 多径衰落 / 误码率
© 2021 Journal of Northwestern Polytechnical University. All rights reserved.
This is an Open Access article distributed under the terms of the Creative Commons Attribution License (http://creativecommons.org/licenses/by/4.0), which permits unrestricted use, distribution, and reproduction in any medium, provided the original work is properly cited.
正交频分复用(orthogonal frequency division multiplexing, OFDM)技术具有较高的频谱利用率和良好的抗多径衰落能力,已广泛应用于4G移动通信和无线局域网等众多无线通信系统。索引调制OFDM(OFDM-IM)[1]是近年来提出的一种新型多载波传输方案,与OFDM的主要区别在于OFDM-IM激活部分而不是全部的子载波进行传输,除了在激活的子载波上传输调制符号之外,OFDM-IM不同的子载波激活模式(SAP)也“隐形”地传输了部分信息[2]。相关研究表明,相比传统的OFDM,OFDM-IM能够提高误码率(bit error rate, BER)性能和能量效率,而且由于激活子载波的数量小于子载波总数,其在降低峰均比(peak to average power ratio, PAPR)和载波间干扰(inter-carrier interference, ICI)方面也有突出的贡献[3]。OFDM-IM通过灵活配置索引资源可以实现通信速率[4]、能量效率和误码率性能之间的折中优化,是下一代无线通信系统的有力候选技术之一[5]。
在无线通信中,BER性能是衡量通信系统可靠性的重要指标,较高的误码率会对通信质量产生严重的影响。为提高OFDM-IM传输方案的误码率性能,文献[6]提出基于子载波位置交织的传输方案(OFDM with interleaved subcarrier IM, OFDM-ISIM),通过对OFDM-IM的频域符号进行交织,使符号间的欧氏距离增大,在多径信道下BER性能比OFDM-IM传输方案有一定提升。文献[7]将坐标交织正交设计(coordinate interleaved orthogonal design, CIOD)的思想[8]应用在OFDM-IM中,并基于OFDM-ISIM提出了坐标交织的OFDM-IM(CI-OFDM-IM)。与OFDM-IM的不同之处在于,CI-OFDM-IM将子载波块中2个调制符号进行星座旋转和虚部互换,组合成2个新的调制符号来传输,获得额外的分集增益。相比OFDM-ISIM其BER性能进一步提升,但CI-OFDM-IM的每个子块只能激活偶数个子载波。文献[9]将线性星座预编码(linear constellation precoding, LCP)技术应用在正交/同相OFDM-IM(OFDM-IQ-IM)方案中,从最大化发送符号的最小欧氏距离角度提出了旋转星座和菱形星座2种LP-OFDM-IQ-IM方案,并给出了不同调制方式下的最优旋转角度,相比CI-OFDM-IM在高信噪比下有2.5 dB的增益,但LP-OFDM-IQ-IM只适用于正交调制的系统。上述方法主要从波形角度进行设计,不同程度地提升了OFDM-IM方案的BER性能。
在实际应用中,OFDM-IM接收端采用基于LLR的低复杂度检测算法,首先计算每个子载波的LLR值来估计发射端选用的SAP,然后对估计的激活子载波上的接收符号进行解调[1]。然而,LLR检测算法会出现SAP判决错误或判决出非法的SAP,不仅引起对索引信息的估计错误,而且引起符号解调正确率的下降,导致整体的误码率增大,可见SAP判决对整体BER性能的影响很大。文献[1]提出了低复杂度最大似然(reduced maximum likelihood, reML)检测算法,将每个合法的SAP中激活子载波的LLR值求和,从中选取和值最小的SAP作为判决结果。相比于LLR检测,reML检测解决了接收端判决出非法SAP的问题,但仍然会出现SAP判决错误,误码率性能提升效果不明显。
针对上述问题,本文提出了一种LDPC编码辅助的子载波索引保护方案。在发射端对索引信息比特进行LDPC编码,形成新的索引信息用于子载波索引调制;在接收端设计了LA检测算法,并详细推导了索引信息比特LLR的闭合表达式。仿真结果表明在频谱效率不低于传统OFDM-IM传输方案的条件下,本方案能够取得更优的误码率性能。
1 OFDM-IM传输方案
OFDM-IM传输方案如图 1所示。与OFDM不同, OFDM-IM在发射端将信息比特和子载波分组, 每组内的索引比特用于从n个子载波中选取k个作为激活子载波, 调制比特映射为调制符号在激活子载波上传输。表 1举例说明了索引比特序列c1和子载波激活模式I之间的映射关系, 其中I为I的补集, 即静默子载波组合。在接收端, 首先计算每个子载波激活状态的LLR; 然后进行SAP判决, 即选择LLR值最小的k个作为激活子载波; 最后进行符号解调和解索引即可得到估计的信息比特。
从上述分析可以看出, LLR检测算法主要分为2步: SAP判决和符号解调。由于信道衰落和噪声等因素的影响, SAP判决会出现错误, 这不仅会导致索引比特的估计错误, 还会导致解调器选择错误的子载波上的接收符号进行解调, 进一步引起调制比特的估计错误。此外, 由于发射端存在部分子载波组合未被选为合法SAP的情况, 在接收端进行SAP判决时有可能会得到非法的SAP, 这也是SAP判决错误的因素之一。
OFDM-IM传输方案的误码可分为3种情况: ①索引比特正确, 调制比特错误; ②索引比特错误, 调制比特正确; ③索引比特错误, 调制比特错误。表 2显示了在n=4, k=2, BPSK, Eb/N0, T=10 dB时基于LLR检测算法的OFDM-IM传输方案的误码统计结果, 仿真参数见第4节表 3。从表 2可以看出, 情况②和③是由SAP判决错误引起的误码, 占到总误比特数的74%左右, 严重影响整体的BER性能。因此, 本文提出了LDPC编码辅助的子载波索引保护方案, 以提高SAP判决的正确率。
n=4, k=2时SAP查找表
![]() |
图1 基于LLR检测算法的OFDM-IM传输方案 |
n=4, k=2, BPSK, Eb/N0, T=10 dB时的误码统计
2 LDPC编码辅助的子载波索引保护方案
基于LDPC编码辅助的子载波索引保护方案的OFDM-IM(LA-OFDM-IM)传输方案的发射端如图 2所示。在发射端, 每个OFDM符号共有N个子载波,被平均分为g个子块, 每个子块包含n=N/g个子载波。同时, mLA比特信息序列被分为mLA1比特和m2比特2组, mLA1 bits经过编码效率为r(0<r<1)的LDPC编码后变为m1 bits。将m1 bits和m2 bits分别分为g组进行子载波索引和符号映射, 每个子块发送p=(m1+m2)/g bits, 其中p1=m1/g=
记作索引比特序列c1, 用于从n个子载波中激活k个来发送符号,
表示向下取整。p2=m2/g=k·log2M bits, 记作调制比特序列c2, 映射成k个MPSK符号在激活子载波上传输, 未激活的子载波发送符号0。对频域序列X作N点IFFT变换为时域序列x, 加入循环前缀(cyclic prefix, CP)后发送。
LA-OFDM-IM传输方案的接收端如图 3所示。在接收端, 对接收信号进行去CP和N点FFT变换得到频域序列Y, 则有如下关系式成立
(1)
式中:HF是频域信道系数, l是子载波序号;nF是频域噪声序列, 其均值为0, 方差为N0, F。本文设计的LA检测算法流程如下:
1) 计算子载波激活状态LLR
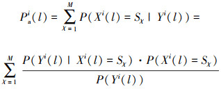
设第i个子块中第l个子载波上发送的频域符号为Xi(l), 对应的接收频域符号为Yi(l)。利用贝叶斯公式, 第i个子块中第l个子载波是激活子载波的概率可表示为
(2)
式中:Sχ是MPSK符号, χ∈(1, 2, …, M-1)。假设发射端每个子载波被激活的概率相等, 激活子载波上每个MPSK符号被发送的概率相等, 则公式(2)可进一步表示为
(3)
同理, 第i个子块第l个子载波为静默子载波的概率可表示为
(4)
且有
(5)
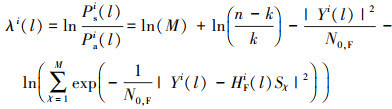
则第i个子块中第l个子载波激活状态的LLR为
(6)
2) 计算索引比特LLR
由公式(5)和公式(6)可求得
(7)
(8)
利用SAP查找表, 可以将第i个子块对应的第j个索引比特为q(q∈{0, 1})的概率Pqi(j)表示为
(9)
(10)
式中:α是归一化系数;ψqj表示c1中第j个比特为q时的SAP序号的集合;Iφ(u)表示第φ种SAP中第u个激活子载波对应的子载波序号;Iφ(v)表示第φ种SAP第v个静默子载波对应的子载波序号;u ∈ {1, 2, …, k-1, k}, v ∈ {1, 2, …, n-k-1, n-k}, Iφ(u) ∈ {1, 2, …, n-1, n}, Iφ是Iφ的补集。则第j个索引比特的LLR为
(11)
3) LDPC译码
将所有索引比特的LLR作为先验信息送入LDPC译码器, 采用Log-BP迭代译码可以得到估计的m1 bits索引信息, 从中恢复mLA1 bits的索引信息。
4) 符号解调
将m1 bits分组后送入各子块进行子载波索引即可得到SAP, 然后对激活子载波上的接收符号进行MPSK解调可得到m2 bits的调制信息。
![]() |
图2 LA-OFDM-IM传输方案发射端 |
![]() |
图3 LA-OFDM-IM传输方案接收端 |
3 子载波索引保护方案性能分析
不考虑CP的影响, 设每比特能量Eb=N/m, 时域噪声方差为N0, T, 等效频域噪声的方差为N0, F=N0, T·k/n, 则LA-OFDM-IM传输方案频域接收符号信噪比为
(12)
对于传统的OFDM-IM方案r=1。LA-OFDM-IM传输方案的频谱效率定义为:
(13)
由公式(12)和公式(13)可推导出
(14)
从上述公式可以看出, 在同样的N, n, k, M和Eb/N0, T条件下, 相比于传统的OFDM-IM传输方案, LA-OFDM-IM的频域符号信噪比γF有所降低, 这会引起SAP判决正确时符号解调误码增多。但接收端LA检测算法通过LDPC迭代译码对索引信息比特进行纠错, 有效降低了索引信息比特的误码以及SAP判决错误引起的符号解调误码, 并且利用了查找表进行子载波索引, 避免了非法SAP的出现。整体而言, LA-OFDM-IM的BER性能仍然优于传统的OFDM-IM传输方案。
由于LDPC编码引入了部分冗余的索引信息比特, 相比于OFDM-IM传输方案, LA-OFDM-IM的频谱效率η有所降低。但是选择不同的激活子载波数k和调制阶数M, LA-OFDM-IM的频谱效率有可能达到或者不低于传统OFDM-IM的频谱效率。
4 仿真结果与分析
通过MATLAB软件仿真验证本文提出的LDPC编码辅助的子载波索引保护方案的误码率性能, 仿真参数见表 3,校验矩阵见文献[10]。
图 4给出了在k=2, BPSK调制时LA-OFDM-IM传输方案和传统OFDM-IM传输方案的BER性能仿真结果。LA-1和LA-2分别表示前者的索引比特和调制比特, LLR-1和LLR-2分别表示后者的索引比特和调制比特。从图 4可以看出, 在BER为10-4时, LA-OFDM-IM相比OFDM-IM索引比特部分可取得大约19 dB的增益。虽然LA-OFDM-IM传输方案的γF有所降低, 但是由于SAP判决正确率的显著提升, 调制比特部分仍取得5 dB的增益。从整体的误码率性能来看, LA-OFDM-IM传输方案有着10 dB左右的增益。就频谱效率而言, LA-OFDM-IM的0.667 (bits·s-1)/Hz相比OFDM-IM的频谱效率0.75 (bits·s-1)/Hz略有损失。
图 5展示了不同(k, M)条件下LA-OFDM-IM和OFDM-IM传输方案误码率性能。对比接收端采用reML检测和LLR检测时OFDM-IM传输方案误码率曲线可知, reML检测的误码率性能略优于LLR检测, 原因在于reML检测仅解决了LLR检测中判决出非法SAP的问题, 误码率性能提升有限。从图 5可以看出, 选择合适的激活子载波数k和调制阶数M, 可使得LA-OFDM-IM传输方案的频谱效率不低于传统OFDM-IM。相比频谱效率分别为0.75和1.25 (bits·s-1)/Hz的OFDM-IM方案, LA-OFDM-IM的频谱效率为0.896和1.271 (bits·s-1)/Hz时, 在BER为10-4的条件下的性能增益约为9 dB和5 dB。以0.75 (bits·s-1)/Hz的OFDM-IM传输方案和0.896 (bits·s-1)/Hz的LA-OFDM-IM传输方案为例, 两方案的k值分别为2和3, 调制方式均为BPSK, 由公式(14)可知LA-OFDM-IM传输方案的γF比OFDM-IM小2.7 dB左右。虽然LA-OFDM-IM传输方案的γF降低会引起SAP判决正确时符号解调的误码增加, 但是LA检测算法能够显著提升SAP判决的正确率, 有效减少索引信息比特的误码和SAP判决错误引起的符号解调误码。整体而言, 在LA-OFDM-IM传输方案的γF低于OFDM-IM的情况下仍然可获得9 dB左右的增益。因此, 通过选择合适的激活子载波数k和调制阶数M, 能够使得LA-OFDM-IM传输方案的频谱效率不低于传统OFDM-IM, 同时可在BER为10-4时获得5~9 dB左右的性能增益。
图 6显示了不同(k, M)条件下, LA-OFDM-IM传输方案与OFDM-ISIM传输方案[6]的误码率性能。从图 6可以看出, 采用reML检测的OFDM-ISIM传输方案的误码率性能略优于LLR检测。与图 5对比可以看出, OFDM-ISIM的误码率性能比OFDM-IM有一定的提升, 但是相比LA-OFDM-IM在不同频谱效率时仍有5~7 dB左右的差距。这是由于OFDM-ISIM通过子载波交织对SAP判决正确率的提升有限, 并且采用LLR检测算法仍有可能判决出错误的SAP。而LA-OFDM-IM方案能显著提升SAP判决的正确率, 所以对整体的BER性能改善效果更加明显, LA-OFDM-IM传输方案的BER传输方案的误码率性能性能优于OFDM-ISIM传输方案。
综上, 本文提出的LDPC编码辅助的子载波索引保护方案充分利用LDPC码的纠错能力, 可显著提升SAP判决的正确率, 有效提高了OFDM-IM传输方案的误码率性能。
仿真参数
![]() |
图4 不同检测方案的误码率性能(k=2, M=2) |
![]() |
图5 不同(k, M)时LA-OFDM-IM与OFDM-IM |
![]() |
图6 不同(k, M)时LA-OFDM-IM与OFDM-ISIM |
5 结论
在OFDM-IM中, LLR检测算法的SAP判决错误会对整体的BER性能造成严重影响。基于LDPC码的强纠错能力, 本文提出的LDPC编码辅助的子载波索引保护方案通过对索引比特编码, 同时在接收端设计了LA检测算法, 可有效降低SAP判决的错误率。通过选择合适的激活子载波数k和调制阶数M, 可使得LA-OFDM-IM传输方案的频谱效率不低于传统OFDM-IM传输方案, 并且在BER为10-4时的误码率性能有5~9 dB左右的性能增益, 与OFDM-ISIM传输方案相比也有5~7 dB左右的性能增益, 有效改善OFDM-IM传输方案的BER性能。
References
- Basar E, Aygolu U, Panayirci E, et al. Orthogonal frequency division multiplexing with index modulation[J]. IEEE Trans on Signal Processing, 2013, 61(22): 5536–5549 [Article] [NASA ADS] [CrossRef] [Google Scholar]
- Cheng X, Zhang M, Wen M, et al. Index modulation for 5G: striving to do more with less[J]. IEEE Wireless Communications, 2018, 25(2): 126–132 [Article] [CrossRef] [Google Scholar]
- Tianqi M, Qi W, Zhaocheng W, et al. Novel index modulation techniques: a survey[J]. IEEE Communications Surveys & Tutorials, 2019, 21(1): 315–348 [CrossRef] [Google Scholar]
- Wen M, Cheng X, Ma M, et al. On the achievable rate of OFDM with index modulation[J]. IEEE Trans on Signal Processing 2016, 64(8): 1919–1932 [Article] [CrossRef] [Google Scholar]
- Basar E. Reconfigurable intelligent surface-based index modulation: a new beyond MIMO paradigm for 6G[J]. IEEE Trans on Communications, 2020, 68(5): 3187–3196 [Article] [CrossRef] [Google Scholar]
- Xiao Y, Wang S, Dan L, et al. OFDM with interleaved subcarrier-index modulation[J]. IEEE Communications Letters, 2014, 18(8): 1447–1450 [Article] [CrossRef] [Google Scholar]
- Basar Ertugrul. OFDM with index modulation using coordinate interleaving[J]. IEEE Wireless Communications Letters, 2015, 4(4): 381–384 [Article] [CrossRef] [Google Scholar]
- Khan M Z A, Rajan B S. Single-symbol maximum likelihood decodable linear STBCs[J]. IEEE Trans on Information Theory, 2006, 52(5): 2062–2091 [Article] [CrossRef] [Google Scholar]
- Wen M, Ye B, Basar E, et al. Enhanced orthogonal frequency division multiplexing with index modulation[J]. IEEE Trans on Wireless Communications, 2017, 16(7): 4786–4801 [Article] [CrossRef] [Google Scholar]
- IEEE Computer Society and the IEEE Microwave Theory and Techniques Society IEEE Standard for Local and Metropolitan Area Networks-Part 16: Air Interface for Fixed and Mobile Broadband Wireless Access Systems[S]. IEEE Std 802.16e-2005 [Google Scholar]
All Tables
All Figures
![]() |
图1 基于LLR检测算法的OFDM-IM传输方案 |
| In the text | |
![]() |
图2 LA-OFDM-IM传输方案发射端 |
| In the text | |
![]() |
图3 LA-OFDM-IM传输方案接收端 |
| In the text | |
![]() |
图4 不同检测方案的误码率性能(k=2, M=2) |
| In the text | |
![]() |
图5 不同(k, M)时LA-OFDM-IM与OFDM-IM |
| In the text | |
![]() |
图6 不同(k, M)时LA-OFDM-IM与OFDM-ISIM |
| In the text | |
Current usage metrics show cumulative count of Article Views (full-text article views including HTML views, PDF and ePub downloads, according to the available data) and Abstracts Views on Vision4Press platform.
Data correspond to usage on the plateform after 2015. The current usage metrics is available 48-96 hours after online publication and is updated daily on week days.
Initial download of the metrics may take a while.






