| Issue |
JNWPU
Volume 40, Number 2, April 2022
|
|
|---|---|---|
| Page(s) | 271 - 280 | |
| DOI | https://doi.org/10.1051/jnwpu/20224020271 | |
| Published online | 03 June 2022 | |
Designing bionic surface grid structure with base structure method
基于基结构法的机翼仿生曲面网格结构设计
1
School of Aeronautics, Northwestern Polytechnical University, Xi’an 710072, China
2
Key Laboratory for UAV Technology, Northwestern Polytechnical University, Xi’an 710072, China
Received:
23
July
2021
Abstract
To improve the efficiency of the composite material wing structure of a solar-powered UAV, this paper proposed an efficient discrete structural topological optimization method based on the notion of bionic design. The method considers the features of such wing structures as discrete stiffness, high aspect ratio and ultralight. Through multi-step optimization, the grid relationship of the base structure method is established with the GRAND method, so as to obtain the design space of discrete topological optimization. First, linear programming is used to solve optimization problems and thus gives the topological relations of a wing structure. Then, by extracting the information on node dimensions of the discrete topological structure, a bionic geometric model is established with the notion of bionic design. In order to obtain the optimal topological form of the bionic surface grid structure of the wing, the finite element analysis and the structural dimension optimization are carried out with the parameterization method. On the condition that design requirements are satisfied, the optimization reduces the weight of the wing by 34.4%, compared with the traditional design methods. Results show that the structural optimization method proposed in the paper is effective for this special composite material wing structure and can be used for the lightweight design of similar structures.
摘要
以某太阳能无人机机翼结构为研究对象,结合该类结构刚度分散大、超轻质、大展弦比等特点,运用基结构离散拓扑结构优化方法与仿生思想相结合的方式,设计得到了一种新的碳纤维轻质机翼结构。利用分步优化设计思想,通过GRAND法建立基结构网格关系,得到离散拓扑优化设计空间,并运用线性方法求解优化问题,获得机翼结构的拓扑关系; 通过提取离散拓扑结构中杆件的节点尺寸信息,建立设计域内的材料权重分布; 结合仿生设计理念,以编译结构拓扑生成方式的形式,表征参数化的模型几何特征; 运用优化方法,得到最终的仿生机翼曲面网结构的最优拓扑形式。对比了该仿生结构与其他传统结构形式的结构性能,验证了所提方法对于太阳能飞机这类特殊机翼结构在超轻设计方面的可行性,在满足使用要求的前提下,实现了34.4%的结构减重。为开展此类刚度分散、碳纤维用超轻质结构研究提供了一种新的设计方法。
Key words: wing structure / composite materials / lightweight / base structure method / bionic design
关键字 : 机翼结构 / 复合材料 / 轻量化 / 基结构法 / 仿生设计
© 2022 Journal of Northwestern Polytechnical University. All rights reserved.
This is an Open Access article distributed under the terms of the Creative Commons Attribution License (http://creativecommons.org/licenses/by/4.0), which permits unrestricted use, distribution, and reproduction in any medium, provided the original work is properly cited.
随着飞行器对更长航时需求的日益增加, 太阳能飞机作为一种理论上拥有“永久飞行”能力的超长航时无人机, 在边境监控、海洋安全管控、通讯中继等方面具有极大的商业价值和应用前景, 继而得到国内外研究者的高度重视。为了得到更多的太阳能电池铺设面积以及更低的能量损耗, 一般的太阳能飞机都具有大展弦比、低结构面密度以及低翼载承受能力等特性。而牺牲结构刚度来减少结构质量的方式, 在太阳能飞机中往往会带来结构的超柔性, 因此对于这类结构设计要求高的飞行器, 有必要开展高效轻质结构设计研究1-2]。
常规结构减重主要采用高比强度的碳纤维结构即材料减重。这类措施虽然能够有效地降低飞机的结构质量, 但面对太阳能无人机这类对结构质量敏感的飞行器时, 往往会在减重方面遇到瓶颈: ①单一结构部件减重具有局限性;②复杂结构在相互配合下, 结构整体效率具有局限性;③从结构优化层面, 单一的结构构型样本优化空间往往会使优化陷入局部最优解, 从而错过全局最优值。因此如何选取合适的结构设计方法, 提高整体结构效率, 是现阶段结构轻量化设计的关键。
为了进一步挖掘结构的减重潜力,大量基于结构材料分布设计的拓扑优化方法得到应用。这类方法在设计初期对结构的材料分布进行合理预估,并通过优化所得的拓扑结构形式,指导后期的详细设计,从而达到提高结构的承载效率以及减重的目的。目前结构拓扑优化设计方法可以分为连续体拓扑优化和离散体拓扑优化。其中,连续体拓扑优化主要研究二维板壳及三维实体等连续体结构在载荷与约束的情况下, 单元的数量及位置。其优势在于理论基础完善, 能够很好地规避棋盘格现象、网格依赖性以及局部极值等问题。Niemann等3]通过拓扑优化的方法将优化所得拓扑构型运用到传统的格栅网格当中, 使其网格分布与走向更加符合拓扑结构优化的路径, 并将其运用到了飞机机身设计当中。Krog等4]使用拓扑优化手段完成了机翼翼肋结构的拓扑优化设计。邓扬晨等5]提出了“改进的敏度阈值”拓扑优化算法对机翼结构进行拓扑优化设计, 在获得翼梁的位置与数目后, 采用尺寸优化手段完成详细设计。然而, 连续体拓扑优化的缺点在于优化过程中需要不断重复地进行结构分析, 且模型的计算效率往往受到单元数量影响, 使得在复杂问题中的计算求解成本较大。此外, 由于太阳能无人机采用大量的复合材料来降低结构面密度, 针对该类非线性材料的拓扑优化问题, 虽然已有许多改进方法可以解决, 但往往数值求解过于繁琐, 因而并不适用于本文的整体结构拓扑设计。
桁架结构作为大型飞行平台的理想构型形式2, 5],具有结构刚性大、可设计性高等特点。离散体拓扑优化方法作为研究桁架、钢架等骨架结构拓扑形式的主要指导方法,在建模及求解方面具有很大的优势。目前大部分离散拓扑方法在大跨度建筑结构的设计中应用较多,而在飞行器设计中应用较少,Balabanov等6]使用基结构法(ground structure method),设计了机翼的内部结构拓扑形式,并对比分析了刚性及弹性机身对机翼内部离散拓扑的影响,但并没有直接将所得结果运用到具体设计与应用当中。究其原因,主要是该方法需要将结构部件的尺寸信息看作桁架的拓扑关系,其拓扑优化结果常常连续性交叉,不利于加工制造。因而,如何处理初始的基结构拓扑结果,使其生成可行的拓扑结构方案变得更加具有挑战性。Zegard等7-8]提出了限制区域内,通过分级处理方式GRAND,产生简化的基结构,并将该基结构法从二维拓展到三维。该方法简化了基结构建立的流程,能很好地运用到结构的概念性设计阶段。高阁9]根据力传递路径法,提出了通过求解设计区域在边界条件下的主应力迹线分布构建基结构法中桁架节点的途径,得到包含更好拓扑结果的桁架基结构集合。
自然界中经过漫长的生物进化,形成了许多高结构效率的结构形式,如鸟类的骨骼、浮游生物的壳结构、植物叶脉以及蜻蜓翅膀等生物结构。其突出的力学性能主要取决于不同尺度上高度复杂的层级结构。基于仿生学的结构设计方法逐渐被学术界与工程界所重视。对于利用仿生方法进行结构优化设计,国外起步较早,如Dimcic10]模仿自然界中的气泡结构的特点,通过力平衡方法来松弛仿生图形Voronoi,从而得到Voronax(Voronoi+Relax)图形,并通过将Voronoi初始“站点”(site point)位置与结构承载相关联,最终由遗传算法优化得到满足结构设计要求的曲面结构。空客也在未来的飞机设计中提出这种仿生曲面网格结构的设计概念,其APworks团队通过模拟多头绒泡菌觅食的生物特性,得到相应的平面网格构型,通过成千上万次的迭代,取得最终的设计结果。该设计理念首先通过机舱仿生分隔墙设计得到印证,最终分隔墙不仅保持着相当高的结构强度,且其结构质量至少减少45%,结构变形减少8%11-12]。德国亥姆霍兹极地和海洋研究中心的Hamm教授等通过仿生浮游生物的壳结构来进行结构的优化设计,其过程主要是根据目标结构的受力特性,类比已有的浮游生物结构,从成百上千的结构方案中选出最优结构构型,通过详细设计,得到最终结果13-15]。
本文借鉴生物体系统中的多级空间曲面网面结构形式,利用离散拓扑优化基结构法中得到的初始拓扑参数,形成一种应用于机翼结构设计中的仿生曲面网格结构,并在后续的对比分析中验证该方法可行性。
1 基结构拓扑优化设计方法
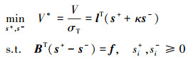
离散拓扑优化方法中的基结构法, 是指按照一定规则在设计区域内布置桁架的节点, 通过连接各个节点形成桁架的基础连接集合, 并根据边界、载荷等条件, 按照一定的准则得到与最优应力方向一致的桁架结构。
其具体的理论数学模型可描述为
1
式中:目标函数V为所有杆件的有效总体积; l为所有杆件对应的长度, 其矩阵大小为Nb×1(Nb为所有杆件的数目); a为杆件的横截面积, 其矩阵大小为Nb×1;n为基结构中所有杆件的内力(轴向力), 其矩阵大小为Nb×1;f为向量, 表示作用在各节点上的力(外力), 其矩阵大小为Ndof×1(Ndof为桁架结构总自由度, 在二维基结构中Ndof=2Nn-Nsup, Nn为设计空间中的节点总数, Nsup表示基结构中的约束总数); B为杆件的方向余弦所表示的几何矩阵, 其矩阵大小为Nb×Nsup。优化过程中杆件中的内力必须满足应力约束条件, 即ni≤σTai或者ni≥-σCai, 以此避免在减少杆件面积时超出应力约束范围, 在公式(1)中, 引入了松弛变量, 将不等式转化为等式
2
式中,si+, si-表示各杆的内应力(拉力和压力)。将(2)式简化可得
3
将(3)式代入(1)可得, 依据塑性变形原理的布局优化公式的最终形式为
4
式中:si+, si-至少有一个值为0, 且如果si+>0, 表示杆受拉应力,反之则杆受压应力;如果si+和si-都为0, 则表示杆件不起作用, 可以删除。由于此处为线性规划问题, 因而极易用内点法(interior-point algorithm)得到全局最优解。
2 基于基结构法的飞机结构拓扑设计
本文以图 1所示的某飞翼布局太阳能无人机机翼结构为对象, 进行超轻质结构优化设计研究。该机翼为典型的大展弦比平直机翼, 展长为2.7 m, 弦长为0.4 m, 机翼最大厚度为0.048 m。
![]() |
图1 某太阳能无人机几何模型 |
2.1 机翼基结构模型建模
基结构网格生成主要针对的是类平面结构,而机翼外形为典型的非规则闭合空间曲面,为了得到更加真实的拓扑计算结果,对机翼曲面网格结构的基结构网格进行改进,使其曲面外形同时考虑空间的结构材料分布。
图 2为使用空间基结构方法建立的机翼基结构模型。在基结构建模时,对机翼采用一端固支的方式,其外力为AVL计算所得分布气动载荷,通过载荷转换,对载荷重新分配,将气动网点的载荷分配到机翼基结构网格节点上,由于基结构法对载荷大小不敏感,在获取基结构的拓扑数据时,无需考虑安全因素,按照实际工况载荷输入。
对于机翼基结构建模, 首先需要对机翼外形曲面进行网格划分, 对生成网格进行编号处理, 从而得到各个节点的位置信息以及单元的节点编号信息。在网格划分方面采用质心泰森多边形(centroidal voronoi)作为基础网格单元对机翼上下表面进行网格划分, 其优势在于: ①不同于其他规则多边形, 其网格大小由初始“站点”的数目决定, 且每个网格的面积大小相等; ②单元网格边数≥4, 节点数目多并且分布均匀; ③各级基结构杆件的方向很多, 能够增加材料拓扑方向的样本空间。此外为了减少基结构求解运算成本, 此处参照Zegard8]杆件连接关系按等级划分的概念。即属于同一单元(网格)的节点为相邻节点, 其两两相连的杆, 属于等级1;通过相邻点与相邻点连接的杆, 属于等级2, 以此类推。具体实施步骤如图 3所示, 虚线部分为对应等级下的杆件。随着高等级节点数目增加, 其相应杆件的数目在初始几个等级时会迅速增加, 但接近满连接状态时, 每个等级之间的杆件增加数量便会迅速降低, 即满连接下的杆件数目与所有节点组合下的杆件数目相同, 且杆件等级越高, 杆件的长度便会加长。将杆件的长度与等级相关联, 方便后续优化过程中采用高效率的算法移除重叠长杆(从效率上考虑, 基结构主要保留重叠杆的短杆)。对应等级节点连接矩阵及重叠判定方法可参照文献[7-8]。
由于机翼曲面分为上下两面,且上下两面的单元等级跨度较大,上下翼面的连接关系需要很高的等级才能达到,从而影响计算效率。而基结构理论中,杆件是传力二力杆,对于空间曲面的翼型结构,势必导致与受力方向夹角较小的曲面杆件截面尺寸过大,而与垂直于受力方向夹角较小的杆件尺寸过小。此外在真实情况中,碳纤维杆件具有一定的抗弯能力。为了解决上述问题,本文提出一种在上下翼面中引入了等效翼肋单元的概念,如图 4所示。
具体方法:取上下翼面展开的相应平面网格图形,找出近似翼型曲线,通过算法处理后得到等效翼肋单元(空间单元),以上下翼面节点的连通,得出机翼表面以及空间内部的材料分布情况。本文主要考虑碳纤维曲面网格结构的可行性,因而对于空间材料分布,将其按照各节点连接关系,通过算法分配到上下翼面的网格节点上。
![]() |
图2 机翼基结构网格、载荷及边界条件示意图 |
![]() |
图3 机翼结构基结构等级示意图 |
![]() |
图4 等效翼肋单元示意图 |
2.2 机翼基结构模型建模
在机翼基结构求解过程中,其计算模型主要包含4类元素:节点、单元、边界条件及节点作用力。其中节点变量矩阵={编号,节点坐标}、单元变量矩阵={编号,单元包含节点编号}、边界条件矩阵={节点的约束自由度}、外力矩阵={分配到节点上的气动力}。根据基结构等级,求得基结构杆件连接矩阵={杆件两连接节点编号},从而得到几何矩阵B以及杆长矩阵l,最后通过GRAND法,取等级3作为基结构杆件的基础数量范围(如图 5所示),求解(4)式,其结果包括各杆件连接关系以及各自对应的杆件的截面面积,可通过后处理得到最终机翼结构拓扑形式。
依据不同工况、不同“站点”数目等前提条件,得到机翼拓扑结构如图 6所示。对比图 6中各状态下拓扑结构可以发现如下特点:①算法在相同工况下,初始网格数量对机翼结构的拓扑位置有影响,但其主承力路径的拓扑位置较为一致;②不同工况对机翼结构的局部拓扑位置有影响,其主要原因是材料分布必须符合机翼结构的受力特点;③杆件的截面积沿着翼展方向逐渐递减,呈现出类仿生布局的分布形式(如蜻蜓翅膀、树杈结构等)。由此可见,基结构法作为一种结构拓扑优化的快速方法,能够使设计者在概念设计阶段快速找出结构材料的相对拓扑位置,为后续的详细设计提供指导。
![]() |
图5 等级3机翼基结构全杆件连接 |
![]() |
图6 不同条件下机翼拓扑结构 |
3 机翼仿生结构优化设计
3.1 机翼基结构模型建模
针对离散拓扑优化所得的拓扑结构相对复杂,无法直接应用的问题,本文运用自然界中的树枝生长的仿生特性,根据基结构法中所得的拓扑尺寸数据,运用均匀化的方法,将其等效成各节点的材料信息,通过连接高应力节点,得到最终的结构形式。
该仿生方法具体步骤如下:①针对不同工况下结构材料主承力路径的相似性,根据基结构方法得到尺寸参数,对各节点尺寸数据进行加权平均,得到各节点的平均杆件截面尺寸参数;②通过去量纲方法,将尺寸参数等效成结构的材料分布情况,从而与结构的载荷承载水平相关联;③将机翼按外形展开平面,划分成多个载荷等级区域(如图 7所示),并参照图 6的拓扑优化结果,对上下翼面进行均匀化处理后,按照图 7的等级分块区域,选取高权重节点。这些节点被分为3类,如图 8所示,分别为主干节点(红色),支干节点(绿色)以及边界节点(黑色),用于得到主杆线、支杆线、叶脉线、辅助线以及外围边界线,如图 9所示。其中,主杆节点为翼展方向上,各翼型等级块中的最大权重节点,其首尾相连得到主杆连线(红色);支杆节点用于连接主杆节点以及边界节点,其中近似翼肋平行方向的支杆节点将作为叶脉线(绿色);其他的则作为支杆线(紫色)。辅助线(灰色)的目的是防止某块区域内因分割区域内只有一条次级结构连接线(支干线或叶脉线),而增加的辅助杆件连线。该操作能将不稳定的四边形区域划分成近似稳定的三角形区域。蓝色为外围边界线,组成了设计域的最外边界。
图 10为除主杆线外其他新拓扑结构生成时,各节点的选取规则:在确定生长方向后,即得到所要生成的杆件两端后,连接沿途的选择区域内的最大权重点(支杆节点),从而形成新拓扑结构路径。通过此方法可以生成其他次级结构以及辅助线。
![]() |
图7 机翼外形展开节点等级区域划分示意图 |
![]() |
图8 上下翼面高权重节点示意图 |
![]() |
图9 上下翼面不同类型拓扑连接线示意图 |
![]() |
图10 路径搜索以及拓扑结构生成 |
3.2 设计参数定义
整个仿生机翼拓扑结构生成, 除了主杆线、边界线以及辅助线是通过设定以及判定方式求得,支杆线以及叶脉线由4×k个分支参数(αij)k组成,其中k为主干线分段节点数(本文取k=11,即将机翼沿翼展方向分成10份)。变量αij中,i表示上下翼面,j表示被主杆连线分隔而成的机翼前后两侧。分别为上翼面分枝参数(α11)k以及(α12)k,下翼面分枝参数(α21)k以及(α22)k。其变量解码方式如图 11所示,变量αij的整数部分表示各主杆分段节点处支杆的数量,αij的小数部分决定了各个分支在边界线上所取的节点位置,当αij < 1时,即该位置主杆节点没有多余支杆线;当αij≥1时,分为偶数以及奇数2种情况,当αij为奇数时,首先通过图 11a)的操作得到初始支杆点位置,并将边界线进行分割,剩余支杆线节点通过重复图 11a)方式获取,当αij为偶数时,初始奇数点位置不算入支杆线节点,如图 11b)所示,剩余支杆节点获取同图 11a)。图 11中
为floor函数,其作用为得到小于x的最大整数。
图 12为用本文方法得到的杆件连接图与初始基结构法得到杆件分布图对比,可以看出该仿生方法所提取的杆件位置对初始拓扑结构具有很好的拟合性。为了验证结构性能,本文通过联合Rhino三维建模软件与Abaqus有限元分析软件,建立了参数化建模分析系统,并结合Ishigt优化平台搭建了该仿生曲面网格结构的尺寸、拓扑优化系统。整个网面材料为T300碳纤维束以及Hexcel8552基体组成的复合材料16],其材料数据如表 1所示。
最终曲面网格结构有限元模型如图 13所示,通过NURBS(non-uniform rational B-splines)映射方法,形成依附翼型曲面的空间曲线结构。在计算时,将复合材料曲杆结构看作圆杆结构,以半径R为设计变量,其具体设计参数设定,如表 2所示。
![]() |
图11 边界线取点参数定义 |
![]() |
图12 上下翼面仿生网面结构与基结构法结果对比图 |
T300/Hexcel 8552丝束材料特性
![]() |
图13 仿生曲面网格结构机翼有限元模型 |
设计变量初值及限值 mm
3.3 机翼网面结构拓扑优化及分析
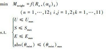
根据机翼受力特性生成的曲面网格结构, 其初始尺寸参数都是建立在权重值基础上, 因此需要对3.2节生成的曲面网格结构模型的杆件尺寸大小进行详细设计, 也就是对结构模型进行尺寸优化。其优化设计问题可表达为:
5
式中:Rn为尺寸参数; (αij)k为拓扑参数; U为翼尖位移; S为结构应力; E为结构应变; θtwist为结构的扭转角。各限定参数范围如表 3所示。上述优化问题为离散多参数优化, 本文采用多岛遗传优化算法(multi-island genetic algorithm, MIGA)为搜索器进行单目标寻优,其中子群规模设定为10,岛屿数设定为10,遗传代数设定为10,交叉率设为0.9,变异率设为0.1,岛间交互率为0.2,交互间隔代数为2。图 14为本文机翼仿生曲面网格结构尺寸寻优历程及收敛历程,最终尺寸优化结果如图 15所示。结构质量为548.2 g。各参数的最优值如表 4~5所示。
参数限定范围
![]() |
图14 MIGA遗传算法优化搜索迭代及收敛历程 |
![]() |
图15 仿生曲面网格结构优化结果 |
各尺寸参数变量最优值 mm
各拓扑参数变量最优值
3.4 设计结果及分析
图 15为最终优化后有限元仿真结果,从图中可以看出,该仿生结构能够承载机翼所受的气动载荷,并且符合之前主杆、支杆、叶脉等承担任务设定:上下翼面的主杆、支杆主要承受机翼的轴向载荷和弯曲载荷,上下翼面的叶脉杆和蒙皮主要抵抗扭转和剪切载荷,其结果符合设计要求。从表 4~5中的优化数据来看,上翼面网格结构的截面尺寸要比下翼面的明显偏大,其原因是太阳能电池板较为脆弱,因此分配载荷时上翼面比下翼面分配的要多,以增强上翼面的承载能力。而本文采用等级划分减少设计变量的方法,并没有使得结构因为尺寸问题,局部产生过大应力。
为了进一步验证该仿生曲面网格结构的合理性,本文分别将该结构与常规复合材料梁肋式机翼结构以及复合材料常规曲面网格(菱形)结构在相同载荷及边界条件下,对结构的强度、刚度以及质量进行对比,其有限元模型如图 16所示。以常规梁肋式结构的各项数据为基础,对比分析其他2类曲面网面结构,结果如图 17~18所示。其中图 17为质量、强度及弯曲刚度特性对比,图 18为3种机翼结构沿其翼展方向的扭转特性对比。
通过对比图 17~18可以看出在满足相同载荷条件下,仿生网格结构质量相比于常规梁肋式及常规网格结构减少了34.4%和13.8%,其网面结构的结构形式在减重方面有着极大数值计算结果优势。这是由于网面结构复合材料杆件的单向受力特性,充分发挥了复合材料的方向特性,而仿生结构,其减重的特殊性主要表现在:①以初始拓扑信息为指导,能够更有效地得到最佳的网面杆件连接位置;②通过分类连接线的组成,将结构特性与具体的构造线相关联,并以尺寸优化大幅度减少结构质量。虽然本文得到的仿生结构在结构质量上取得了很大的优势,但其沿展向的扭转特性(见图 18)波动较大。这可能是因为本文主要以机翼整体的扭转为限制条件,使得抗扭为主的支杆线以及叶脉线的尺寸及布局并没有在局部区域按照理想的进化方向进行优化。但从菱形网面结构中可以看出,该类结构沿翼展方向扭转刚度特性具有巨大的潜力,后期可以以局部扭转为限制条件或者优化目标,结合具体制造模式,得到结构性能更加优异的仿生构型结果。
![]() |
图16 2种常规结构示意图 |
![]() |
图17 不同结构特性比较 |
![]() |
图18 3种结构沿展向扭转角变化曲线 |
4 结论
1) 应用基结构离散拓扑优化方法进行机翼结构轻量化设计,为飞行器结构减重提供了新的解决方案。其结构质量减少约34.4%,从弯曲刚度、扭转刚度以及强度分析来看,其性能与传统结构相比均有很大提升。
2) 将离散体拓扑优化引用到碳纤维机翼结构设计中,通过仿生方法弥补了离散拓扑在后期详细设计中所存在的劣势,并验证了方法得可行性,为先进复合材料网架式结构设计提供了一种新的指导方法。
References
- Wang Yafei, An Yongwang, Yang Jihe. Current situations and trends of near-space vehicles[J]. Technology Foundation of National Defence, 2010(1): 33–37 [Article] (in Chinese) [Google Scholar]
- Du Shanyi. Advanced composite materials in aeronautics and astronautics[J]. Acta Materiae Compositae Sinica, 2007, 24(1): 1–12 [Article] (in Chinese) [Google Scholar]
- Niemann S, Kolesnikov B, Lohse-Busch H, et al. The use of topology optimisation in the conceptual design of next generation lattice composite aircraft fuselage structures[J]. The Aeronautical Journal, 2013, 117(1197): 1139–1154 [Article] [CrossRef] [Google Scholar]
- Krog L, Tucker A, Kemp M, et al. Topology optimisation of aircraft wing box ribs[C]//10th AIAA/ISSMO Multidisciplinary Analysis and Optimization Conference, 2004 [Google Scholar]
- Deng Yangchen, Yan Guang, Gao Tong, et al. Study on integrated design method of aircraft wing structure layout[J]. Aircraft Design, 2004(2): 28–36 [Article] (in Chinese) [Google Scholar]
- Balabanov V, Haftka R T. Topology optimization of transport wing internal structure[J]. Journal of Aircraft, 1996, 33(1): 232–233 [Article] [CrossRef] [Google Scholar]
- Zegard T, Paulino G H. GRAND-ground structure based topology optimization for arbitrary 2D domains using MATLAB[J]. Structural and Multidisciplinary Optimization, 2014, 50(5): 861–882 [Article] [CrossRef] [Google Scholar]
- Zegard T, Paulino G H. GRAND3-ground structure based topology optimization for arbitrary 3D domains using MATLAB[J]. Structural and Multidisciplinary Optimization, 2015, 52(6): 1161–1184 [Article] [CrossRef] [Google Scholar]
- Gao Ge. Study on the theory and application of topology optimization of truss structure[D]. Changchun: University of Chinese Academy of Sciences, 2017 (in Chinese) [Google Scholar]
- Dimcic M. Structural optimization of grid shells based on genetic algorithms[D]. Stuttgart: Stuttgart University, 2011 [Google Scholar]
- Nagy D, Zhao D, Benjamin D. Nature-based hybrid computational geometry system for optimizing component structure//Humanizing Digital Reality[M]. Singapore: Springer, 2018, 167–176 [Google Scholar]
- Nagy D. Nature-based hybrid computational geometry system for optimizing the interior structure of aerospace components[C]//ACM SIGGRAPH 2017 Talks, New York, 2017 [Google Scholar]
- Hamm C, Jansen S, Philipp B. Verfahren evolutionary light structure engineering(ELiSE)[J]. Counterpoints, 2008, 138: 33–43 [Google Scholar]
- Jiang C, Tang C, Seidel H P, et al. Design and volume optimization of space structures[J]. ACM Transactions on Graphics, 2017, 36(4): 159 [Google Scholar]
- Maier M, Siegel D, Thoben K D, et al. Transfer of natural micro structures to bionic lightweight design proposals[J]. Journal of Bionic Engineering, 2013, 10(4): 469–478 [Article] [CrossRef] [Google Scholar]
- Kueh A, Pellegrino S. ABD matrix of single-ply triaxial weave fabric composites[C]//48th AIAA-ASME-ASCE-AHS-ASC Structures, Structural Dynamics, and Materials Conference, 2007 [Google Scholar]
All Tables
All Figures
![]() |
图1 某太阳能无人机几何模型 |
| In the text | |
![]() |
图2 机翼基结构网格、载荷及边界条件示意图 |
| In the text | |
![]() |
图3 机翼结构基结构等级示意图 |
| In the text | |
![]() |
图4 等效翼肋单元示意图 |
| In the text | |
![]() |
图5 等级3机翼基结构全杆件连接 |
| In the text | |
![]() |
图6 不同条件下机翼拓扑结构 |
| In the text | |
![]() |
图7 机翼外形展开节点等级区域划分示意图 |
| In the text | |
![]() |
图8 上下翼面高权重节点示意图 |
| In the text | |
![]() |
图9 上下翼面不同类型拓扑连接线示意图 |
| In the text | |
![]() |
图10 路径搜索以及拓扑结构生成 |
| In the text | |
![]() |
图11 边界线取点参数定义 |
| In the text | |
![]() |
图12 上下翼面仿生网面结构与基结构法结果对比图 |
| In the text | |
![]() |
图13 仿生曲面网格结构机翼有限元模型 |
| In the text | |
![]() |
图14 MIGA遗传算法优化搜索迭代及收敛历程 |
| In the text | |
![]() |
图15 仿生曲面网格结构优化结果 |
| In the text | |
![]() |
图16 2种常规结构示意图 |
| In the text | |
![]() |
图17 不同结构特性比较 |
| In the text | |
![]() |
图18 3种结构沿展向扭转角变化曲线 |
| In the text | |
Current usage metrics show cumulative count of Article Views (full-text article views including HTML views, PDF and ePub downloads, according to the available data) and Abstracts Views on Vision4Press platform.
Data correspond to usage on the plateform after 2015. The current usage metrics is available 48-96 hours after online publication and is updated daily on week days.
Initial download of the metrics may take a while.


















