| Issue |
JNWPU
Volume 42, Number 3, June 2024
|
|
|---|---|---|
| Page(s) | 567 - 576 | |
| DOI | https://doi.org/10.1051/jnwpu/20244230567 | |
| Published online | 01 October 2024 | |
Research on muscle fatigue of upper limb in overhead static work
手过头静态作业的上肢肌肉疲劳特性研究
1
Key Laboratory of Road Construction Technology and Equipment of MOE, Chang′an University, Xi'an 710064, China
2
The 20th Research Institute of China Electronics Technology Group Corporation, Xi'an 710068, China
Received:
8
June
2023
Abstract
To explore the muscle fatigue features of upper limb at different heights in overhead static work, an experiment was conducted to obtain the surface electromyography (sEMG) of subjects and their subjective fatigue state based on Borg CR-10 scale. The processing methods of time domain and frequency domain features of sEMG were studied and the multiclass support vector machine (SVM) was used to identify the state of muscle fatigue. By analyzing the muscular contribution, the correlation of subjective ratings and objective muscle fatigue features, ranking order of muscle fatigue accumulation, and muscular fatigue classification and identification, the results show that the muscles contribute above 10% on average are the biceps, deltoid and trapezius, and their cumulative contribution exceeds 70%; and the ranking orders of muscle fatigue accumulation in three heights are H3>H2>H1 for biceps and trapezius and H2>H3>H1 for deltoid; and with the time increase of overhand static operation, the muscle fatigue of upper limb gradually accumulates, resulting in the value of time domain features increases and the frequency domain features decreases, and their changes are consistent; and the accuracy of multiclass SVM is above 90% for identifying muscle fatigue of upper limb in overhead static work.
摘要
为探究手过头不同高度下静态作业的上肢肌肉疲劳特性, 通过实验设计采集了被试的表面肌电信号(surface electromyography, sEMG)及基于Borg CR-10量表的主观疲劳状态, 研究了sEMG的时域与频域特征处理方法, 并利用多分类支持向量机(support vector machine, SVM)识别肌肉疲劳状态。通过对肌肉贡献率、主客观肌肉疲劳特征的相关性、不同高度下的肌肉疲劳累积排序及肌肉疲劳分类识别进行分析, 结果表明: 肌肉平均贡献率超过10%的肌肉为肱二头肌、三角肌与斜方肌, 且其累积贡献率超过70%;对疲劳累积程度在3个高度下排序, 肱二头肌和斜方肌为H3>H2>H1, 三角肌为H2>H3>H1; 随着手过头静态作业时间增加, 上肢肌肉疲劳逐渐积累, 时域特征值增加、频域特征值减小且其变化具有一致性; 多分类SVM对手过头静态作业中的上肢肌肉疲劳识别准确率大于90%。
Key words: ergonomics / overhead static work / muscle fatigue / surface electromyography / support vector machine
关键字 : 人机工效 / 手过头静态作业 / 肌肉疲劳 / 表面肌电信号 / 支持向量机
© 2024 Journal of Northwestern Polytechnical University. All rights reserved.
This is an Open Access article distributed under the terms of the Creative Commons Attribution License (https://creativecommons.org/licenses/by/4.0), which permits unrestricted use, distribution, and reproduction in any medium, provided the original work is properly cited.
随着人工智能和信息技术的发展, 自动化设备在制造行业已广泛应用。但在飞机、雷达、工程机械等装备的维修维护中, 因其零部件众多、构造复杂、自动化作业难度大, 以人为主导的维修维护方式被广泛应用。当涉及高位作业时, 作业人员需手持工具举过头并保持同一静态姿势, 在工具与上肢重量及作业过程的施力综合作用下, 上肢、肩、背等部位肌肉易产生酸痛、僵硬等症状[1]。这不仅增加工作时长, 降低作业效率, 长期频繁的手过头作业还将对作业人员造成工作相关的肌肉骨骼损伤(work-related musculoskeletal disorders, WMSDs)。目前, WMSDs已成为我国防控职业病所面临的重点问题之一[2], 而手过头作业(overhead work)作为导致肩部WMSDs的主要风险要素[3], 明确其在不同高度下的上肢肌肉疲劳特性, 对提高装备作业效率、减少相关作业人员的WMSDs、保护作业人员健康具有重要意义。
在人机工效研究领域, 对作业者的肌肉疲劳分析常将表面肌电信号(surface electromyography, sEMG)和主观感觉量表结合, 集成生理、心理两方面因素进行综合评估。如文献[4]通过分析不同游戏操作方式下被试的sEMG和眼动数据, 结合Borg主观用力量表(rating of perceived exertion, RPE)[5], 探索手机游戏操作过程中肌肉和视力疲劳的变化规律; 文献[6]采集和分析了航空制造业装配作业中不同熟练程度操作者的sEMG和Borg CR-10主观疲劳等级, 实现对操作者的疲劳评估、监测; 文献[7]对驾驶过程中对踏板上施加不同力的驾驶员进行腿部肌肉硬度测量和sEMG采集, 并利用Borg RPE量表进行主观疲劳感受调查; 文献[8]为研究橡胶制品检验工作中新型放大镜工作台使用高度对作业人员颈部压力的影响, 结合颈部关节角度光学标定、sEMG和Borg RPE量表进行分析; 文献[9]将sEMG和NASA-TLX量表[10]结合,研究移动设备使用中不同身体姿势、打字风格及设备类型与上肢和肩膀肌肉活动度、作业绩效及工作负荷感知的关系, 为移动设备的正确使用与WMSDs预防提供参考; 文献[11]对比了手推车搬运工作中单轮与双轮2种车型对肱二头肌和斜方肌肌肉活动度、手部用力及主观舒适度的影响, 集成sEMG、三维力传感器采集的手部施力特征和RPE主观感知进行综合分析, 表明双轮手推车引起的肌肉负荷更小。
手过头作业一般定义为双手在肩膀以上的工作, 其不良的作业姿势与肩部活动范围接近极限的特征易引起肩关节撞击综合征、肩袖损伤、肌腱炎等WMSDs[12]。一些学者对手过头钻孔[13]、被动式上半身外骨骼的手过头提升助力[1]、汽车底盘维修[14]等作业中的人员上肢疲劳特征进行了研究, 分析并提出了作业姿势、高度、重量、操作方式等方面的建议。然而, 对不同作业高度下上肢肌肉的疲劳特征及基于sEMG的上肢肌肉疲劳分类方法的研究较为缺乏, 需进一步探索。
针对上述问题, 本文通过实验设计采集了10位被试在3个不同手过头静态作业高度下上肢右侧相关肌肉的sEMG和Borg CR-10主观疲劳等级, 研究了sEMG的时域和频域特征计算方法, 引入多分类支持向量机识别肌肉疲劳状态。结合实验数据, 对肌肉贡献率、主客观肌肉疲劳特征的相关性、不同高度下的肌肉疲劳累积排序及疲劳分类识别的结果进行了分析。
1 上肢肌肉疲劳实验
1.1 实验对象和相关设备
1) 实验对象
在某型雷达天线的维修过程中, 作业人员需要长时间手持工具并且保持手过头维修姿势, 调研中发现维修人员身体特征集中于身高170~180 cm之间, 因此考虑到维修场景与人员特征, 本研究设计手持扳手过头的静态作业, 选择10名身体健康的男性大学生志愿者(年龄(23±2)岁、身高(175±2.5)cm、体重(65±5)kg)作为被试。所有被试均为右利手, 上肢肌肉骨骼无相关疾病史, 实验前3个月内无肌肉骨骼伤病, 正式实验前72 h内无剧烈运动, 以避免肌肉疲劳对测量结果的影响。
2) 实验设备
sEMG采集选用意大利BTS Bioengineering公司生产的8通道BTS FreeEMG 1000无线表面肌电系统; 电极片选用杭州迅达无线电器材有限公司生产的一次性银/氯化银(Ag/AgCl)电极片; 手持扳手为科麦斯12寸活动扳手, 净重0.66 kg。
1.2 实验方案
根据文献[15], 上肢抬举作业主要影响肩、背、上肢等身体部位肌肉活动。因此, 实验选取被试右侧胸大肌(m1)、肱二头肌(m2)、肱三头肌(m3)、三角肌(m4)、肱桡肌(m5)、桡侧腕屈肌(m6)、斜方肌(m7)、背阔肌(m8)进行sEMG采集, 各肌肉位置信息如图 1所示。
具体实验步骤如下。
1) 实验场景设置: 使用空调将室内温度调节至26℃, 被试在阅读完实验指导书并签署同意书后进行肩、背、上肢热身1 min。
2) 皮肤清洁: 使用磨砂膏、酒精棉擦拭清洁皮肤表面(去除角质、油脂), 以减少皮肤抗阻对实验数据造成的影响。
3) 粘贴电极片: 电极片顺着肌肉纤维走向依次粘贴在被试右侧胸大肌、肱二头肌、肱三头肌、三角肌、肱桡肌、桡侧腕屈肌、斜方肌、背阔肌的肌腹部位。
4) 手持扳手过头静态作业: 抽取雷达天线维修的典型任务, 将其分为手过头0(H1), 5(H2), 10 cm(H3)3个高度进行实验。在正式实验开始前, 对不同被试进行测试, 发现在高度H3作业5 min左右时, 所有被试进入到较高疲劳状态。实验中, 实验人员时刻观察并采用高度标记线提醒被试作业状态, 如出现上下高度偏差超过1 cm则单次实验作废, 需重新进行实验。因此, 实验时, 要求被试直立地面, 右手抬举扳手分别在手高于头部H1, H2, H3 3个高度下保持5 min, 一个高度为一次单独实验, 每2个单独实验之间被试休息2 h, 使被试肌肉充分恢复至初始状态, 保证不对下次实验数据造成影响。
5) 采集sEMG: 手过头作业开始时持续采集被试sEMG, 在采集过程中要求实验人员时刻观察信号采集情况, 以免出现肌电传感器断开等其他意外情况。
6) 记录主观疲劳感受: 实验前让被试了解Borg CR-10量表(见表 1)的主观疲劳分级方式, sEMG采集过程中, 每间隔1 min询问被试主观疲劳感受, 并进行数据记录。
肌电实验如图 2所示。
![]() |
图1 肌肉位置信息 |
Borg CR-10量表
![]() |
图2 肌电实验 |
2 sEMG数据处理
2.1 数据预处理
1) 降噪
采用50 Hz的陷波滤波器去除工频信号干扰; 采用20~500 Hz的带通滤波去除低于20 Hz和高于500 Hz的噪声保留主要肌电信号信息; 采用小波阈值去噪消除通道间串扰以及肌电信号中的高斯白噪声[16]。
2) 整流
选择全波整流的方式, 以保证采集到的肌电信号的完整性, 防止数据丢失, 更好地反映肌肉活动强度[17]。
3) 归一化
利用每位被试作业中肌电最大幅值对个体肌电信号进行归一化[3], 以降低单个被试不同肌肉或多个被试者实验结果之间的差异性。
2.2 sEMG特征提取
sEMG是一维时间序列信号, 具有频率低、信号弱、随机性强等特点, 常采用时域和频域分析法进行特征分析。
1) 时域分析法
时域分析法将sEMG看作以时间为自变量的函数, 是分析肌电信号最直接的方法, 具有可视性强、计算少、简单易懂等优点。时域分析的特征参数包括积分肌电值(integral electromyography, IEMG)、均方根值(root mean square, RMS)、幅值绝对值均值(mean absolute value, MAV)等。其中, IEMG、RMS常分别用于表征一段时间肌肉输出肌电值的加和量与能量[18–19], 因此选取IEMG和RMS作为时域分析指标。
IEMG计算方法为
(1)
式中:Xi为表面肌电值; N为取样周期长度, 此处设为5 s。
RMS计算方法为
(2)
2) 频域分析法
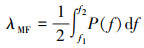
对sEMG做离散傅里叶变换可以得到信号的频谱信息。当肌肉发生疲劳时, sEMG的功率谱一般会由高频向低频漂移, 平均功率频率(mean power frequency, MPF)和中位频率(median frequency, MF)都呈下降趋势[20], 因此常用这两个参数分析肌肉疲劳特征。
MPF和MF分析首先需对原始sEMG作频谱变换, 得到功率谱密度P(f), 再进行计算。
MPF计算公式为
(3)
式中, f1=20 Hz, f2=500 Hz。
MF计算公式为
(4)
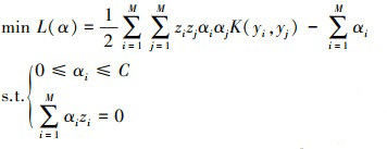
3 基于多分类支持向量机的肌肉疲劳状态识别
支持向量机(support vector machine, SVM)是基于统计学理论的VC维(Vapnik-Chervonenkis dimension)理论和结构风险学最小理论基础上的一种机器学习算法, 具有学习所需特征数量少、系统结构简单、学习和预测时间短等优点[21]。SVM的主要思想是建立一个最优分类超平面(optimal separating hyperplane, OSH)决策函数, 使需要被分类的2类之间的分割边缘被最大化[22]。
根据Borg CR-10量表记录的手过头作业上肢肌肉疲劳数据, 将不同阶段的sEMG特征值划分为不疲劳(0~1分)、疲劳过渡(2~3分)、疲劳(4~10分)3个阶段。SVM的多分类方法有一对一、一对多、有向无环分类法等, 其中一对一和有向无环分类法均具有较高分类精度[23], 选用一对一分类法。将被测肌肉的sEMG信号时域、频域特征值记为y=(y1, y2, …, yM), 其对应的疲劳分类记为z=(z1, z2, …, zM), 设输入样本集合为{(y1, z1), (y2, z2), …, (yM, zM)}, 分类标记为zj∈{1, 2, 3}(j=1, 2, …, M)。考虑不可避免的数据测量误差, 采用松弛变量ξj构建优化目标与约束条件为
(5)
式中:w为M维空间向量;C为调节参数, b为偏置项。
通过拉格朗日乘子α求解, 则(5)式可转换为
(6)
式中, K(yi, yj)为核函数,
。
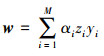
则向量w与分类决策函数D(y)可用拉格朗日乘子α表示为:
(7)
(8)
4 实验结果分析
4.1 肌肉贡献率
肌肉贡献率是指一块肌肉在完成某一动作时的平均肌电值与所有肌肉的平均肌电值总和的百分比, 它能够反映同一被试不同肌肉或不同被试相同肌肉在完成某一动作贡献程度的大小。对3个不同手过头高度下所采集的8块肌肉分别计算贡献率, 结果如表 2~4所示。可知, 8块被测肌肉在手过头静态作业中的贡献程度不同, 在高度H1时, 肌肉贡献率由高至低分别为: (m7)>(m4)>(m2)>(m8)>(m1)>(m3)>(m5)>(m6); 在高度H2时, 肌肉贡献率由高至低分别为: (m7)>(m4)>(m2)>(m8)>(m3)>(m1)>(m6)>(m5); 在高度H3时, 肌肉贡献率由高至低分别为: (m7)>(m4)>(m2)>(m3)>(m8)>(m1)>(m6)>(m5)。其中, 贡献率超过10%的肌肉分别为斜方肌、三角肌、肱二头肌, 且在3个高度下的3块肌肉累计贡献率均超过70%。
高度H1时的肌肉贡献率
高度H2时的肌肉贡献率
高度H3时的肌肉贡献率
4.2 相关性分析
将不同手过头高度下8块肌肉的IEMG、RMS、MPF、MF分别与对应的主观Borg CR-10量表得分进行Spearman相关性分析, 结果如表 5所示。可知, 在不同肌电特征中, IEMG、RMS与Borg CR-10量表得分呈正相关, 且IEMG与Borg CR-10量表得分的相关性rIEMG整体强于RMS与Borg CR-10量表得分的相关性rRMS(24组数据中rIEMG≥rRMS的有22组, 占91.7%)。MPF、MF与Borg CR-10量表得分呈负相关, 且MPF与Borg CR-10量表得分的相关性rMPF整体强于MF与Borg CR-10量表得分的相关性rMF(24组数据中rMPF≥rMF的有23组, 占95.8%)。
肱二头肌(m2)、三角肌(m4)和斜方肌(m7)的肌电特征与Borg CR-10量表得分相关性较为显著, 其他肌肉不具有相关性。其中对于m2, P≤0.01的占50%, P≤0.05的占91.7%;对于m4, P≤0.01的占66.7%, P≤0.05的占100%;对m7, P≤0.01的占16.7%, P≤0.05的占83.4%。这与4.1节中所计算的肌肉贡献率结果一致, 后文主要针对这3块肌肉进行疲劳特性研究。
8块肌肉时域、频域特征与Borg CR-10量表评分间的相关性分析
4.3 时域与频域指标变化及结果分析
10位被试的IEMG、RMS、MPF和MF变化分别具有相似性, 选取其中1位被试肌肉贡献率最高的斜方肌数据如图 3~4所示。可知, 随着手过头静态作业的进行, 被试的肌肉活动逐渐累积, IEMG和RMS整体呈现出上升趋势, 且线性拟合曲线斜率均为正数。MPF和MF曲线整体处于下降状态, 并且手过头高度越高, MPF所对应的拟合曲线斜率绝对值越大。
对10位被试的时域和频域值进行均值、标准差、变化值、拟合斜率及拟合度分析, 总体结果如表 6所示。
其中, xi, si(i=1, 2, …, 5)分别为时域特征值及其拟合属性的均值与标准差。拟合度R2最大值为1, 且越接近1说明线性回归对观测值的拟合程度越高, 越能准确表示数据变化的真实性。表 4结果显示, 3块肌肉的时域与频率指标变化具有统计学意义(P < 0.05), 且线性拟合曲线的拟合度R2, R′2均大于0.6(P < 0.01), 拟合效果满足需求。
对肱二头肌(m2), 其IEMG、RMS、MPF和MF所对应的V和K在高度H3时最大, 其次为H2, 在H1时最小, 即在手过头作业过程中肱二头肌(m2)疲劳积累程度由大到小分别为: H3>H2> H1。
对三角肌(m4), 其IEMG、RMS、MPF和MF所对应的V和K在H2时最大, 其次为H3, 在H1时最小, 即在手过头作业过程中三角肌(m4)疲劳积累程度由大到小分别为: H2>H3>H1。
对斜方肌(m7), IEMG、RMS、MPF和MF所对应的V和K在高度H3时最大, 其次为H2, 在H1时最小, 即在手过头作业过程中斜方肌(m7)的疲劳积累程度由大到小分别为: H3>H2> H1。
对3块肌肉在3个高度下的IEMG和RMS、MPF和MF数据分别进行对比, IEMG的变化程度高于RMS(9组数据全部满足VIEMG≥VRMS; KIEMG≥KRMS的有8组, 占比88.9%), MPF变化程度高于MF(9组数据中, 变化值VMPF≥VMF与斜率KMPF≥KMF的均有7组, 占比77.8%)。说明在手过头静态作业过程中, IEMG和RMS、MPF和MF均能对肌肉疲劳变化情况进行反映, 且变化趋势具有一致性。
![]() |
图3 被试斜方肌(m7)IEMG和RMS变化 |
![]() |
图4 被试斜方肌(m7)MPF和MF变化 |
sEMG时域和频域特征的数值变化与线性拟合结果
4.4 疲劳分类结果
将每5 min的sMEG数据处理为60个时段, 每个时段包含5 s的sEMG数据。针对同一手过头静态作业高度下的每个疲劳阶段各取100个时段, 共计300个时段进行SVM疲劳分类。其中, 在每个疲劳阶段选择80%的时段作为训练集, 剩余20%的时段作为测试集。分别对3个手过头静态作业高度进行SVM分类计算, 并通过测试集分类结果的准确率以及接受者操作曲线(receiver operating characteristic, ROC)对疲劳分类结果进行评估, 结果如图 5所示。可知, IEMG、RMS、MPF和MF的SVM上肢肌肉疲劳分类准确率均大于90%, 具有较好分类效果。
![]() |
图5 SVM模型ROC曲线 |
5 结论
手过头静态作业是重型装备领域维修、维护、装配等作业中的常见形式, 探索作业人员的疲劳特征对作业过程与装备优化及助力装置设计具有一定指导意义。为研究手过头静态作业中人员的肌肉疲劳特性, 设计了3个手过头高度的静态作业实验, 利用无线表面肌电仪和Borg CR-10量表采集被试的sEMG数据与主观疲劳感知, 研究了所采集数据的时域、频域及疲劳分类方法。通过肌肉的贡献率、与主观疲劳的相关性、时域与频域特征分析及疲劳分类的研究, 得到结论如下:
1) 手过头静态作业时, 贡献率超过10%的肌肉分别为斜方肌(m7)、三角肌(m4)、肱二头肌(m2), 且3块肌肉在3个高度下的累计贡献率均大于70%。肌肉贡献率由高至低分别为: 高度为H1时, 斜方肌(m7)>三角肌(m4)>肱二头肌(m2)>背阔肌(m8)>胸大肌(m1)>肱三头肌(m3)>肱桡肌(m5)>桡侧腕屈肌(m6); 高度为H2时, 斜方肌(m7)>三角肌(m4)>肱二头肌(m2)>背阔肌(m8)>肱三头肌(m3)>胸大肌(m1)>桡侧腕屈肌(m6)>肱桡肌(m5); 高度为H3时, 斜方肌(m7)>三角肌(m4)>肱二头肌(m2)>肱三头肌(m3)>背阔肌(m8)>胸大肌(m1)>桡侧腕屈肌(m6)>肱桡肌(m5)。
2) 随着作业时间的增加, 肌肉疲劳逐渐积累, 时域特征增加, 频域特征减小, 且IEMG和RMS、MPF和MF变化趋势具有一致性。
3) 在手过头静态作业的3个高度中, 肱二头肌(m2)的疲劳积累程度由大到小分别为: H3>H2>H1; 三角肌(m4)的疲劳积累程度由大到小分别为: H2>H3>H1; 斜方肌(m7)的疲劳积累程度由大到小分别为: H3>H2>H1。即手过头作业高度越高, 肱二头肌(m2)和斜方肌(m7)越易疲劳, 但三角肌(m4)呈现出差异性。
4) 针对手过头静态作业的上肢肌肉疲劳分类, 多分类SVM对3个作业高度下时域和频域的分类准确率均大于90%, 说明该方法能够根据作业人员的sEGM有效识别作业中的肌肉疲劳, 从而预估手过头静态作业中的肌肉损伤风险, 减少WMSDs的发生。
本文研究主要针对手过头静态作业的上肢肌肉疲劳情况, 后续将根据实际任务中的动态手过头作业工况, 结合多模态人机工效数据进行进一步研究与验证。
References
- HUYSAMEN K, BOSCH T, LOOZE M D, et al. Evaluation of a passive exoskeleton for static upper limb activities[J]. Applied Ergonomics, 2018(70): 148–155 [CrossRef] [Google Scholar]
- WANG Yue, ZHANG Lin. Research on muscle fatigue status and accident prevention in miners[J]. China Safety Science Journal, 2021, 31(3): 191–196. [Article] (in Chinese) [Google Scholar]
- MAURICE P, ĈAMERNIK J, GORJAN D, et al. Objective and subjective effects of a passive exoskeleton on overhead work[J]. IEEE Trans on Neural Systems and Rehabiltation Engineering, 2020, 28(1): 152–164. [Article] [CrossRef] [Google Scholar]
- GUO Fu, LIU Li, LYU Wei, et al. Research on the impact of mobile game operation methods on visual and muscle fatigue[J]. Industrial Engineering and Management, 2020, 25(5): 1–7. [Article] (in Chinese) [Google Scholar]
- BORG G A. Psychophysical bases of perceived exertion[J]. Medicine & Science in Sports & Exercise, 1982, 14(5): 377–381 [Google Scholar]
- ZHANG Lanyun, HE Yan, YANG Jingyi, et al. Research on fatigue monitoring mechanism and equipment design application for aviation assembly operations[J]. Packaging Engineering, 2022, 43(16): 1–9. [Article] (in Chinese) [Google Scholar]
- ZHANG Yanjun, XU Yong, ZHANG Xia, et al. Analysis and research on the effect of different pedal forces on driver leg muscle fatigue[J]. Chinese Journal of Ergonomics, 2019, 25(6): 1–6. [Article] (in Chinese) [Google Scholar]
- GRÄF J, MATTES K, LUEDTKE K, et al. Improved neck posture and reduced neck muscle activity when using a novel camera based workstation for manual precision inspection tasks[J]. Applied Ergonomics, 2021(90): 103147 [CrossRef] [Google Scholar]
- TAO D, YANG K, ZHANG T, et al. Typing with mobile devices: a comparison of upper limb and shoulder muscle activities, typing performance and perceived workload under varied body postures, typing styles and device types[J]. Applied Ergonomics, 2022(102): 103760 [CrossRef] [Google Scholar]
- HART S G, STAVELAND L E. Development of NASA-TLX(task load index): results of empirical and theoretical research[J]. Advances in Psychology, 1988, 52(6): 139–183 [CrossRef] [Google Scholar]
- LIN Y H, LU S Y. Effects of ground and load on upper trapezius, biceps brachii muscle and hand forces in one-and two-wheeled wheelbarrow pushing[J]. Applied Ergonomics, 2020(88): 103151 [CrossRef] [Google Scholar]
- GRIEVE J R, DICKERSON C R. Overhead work: identification of evidence-based exposure guidelines[J]. Occupational Ergonomics, 2008, 8(1): 53–66. [Article] [CrossRef] [Google Scholar]
- MACIUKIEWICZ J M, CUDLIP A C, CHOPP-HURLEY J N, et al. Effects of overhead work configuration on muscle activity during a simulated drilling task[J]. Applied Ergonomics, 2016(53): 10–16 [CrossRef] [Google Scholar]
- TIAN Baozhen, FAN Qinhong. Research on the effect of single hand lifting operation on muscle fatigue in automobile chassis maintenance[J]. Chinese Journal of Construction Machinery, 2022, 20(3): 221–225. [Article] (in Chinese) [Google Scholar]
- VYAS H, DAS S, MEHTA S. Occupational injuries in automobile repair workers[J]. Industrial Health, 2011, 49(5): 642–651. [Article] [CrossRef] [Google Scholar]
- DONOHO D L, JOHNSTONE I M. Adapting to unknown smoothness via wavelet shrinkage[J]. Journal of the American Statistic Association, 1995, 90(432): 1200–1224. [Article] [CrossRef] [Google Scholar]
- SLIM Y, RAOOF K. Removal of ECG interference from surface respiratory electromyography[J]. IRBM, 2010, 31(4): 209–220. [Article] [CrossRef] [Google Scholar]
- LI Jianhua, WANG Jian. Applications of sEMG in clinical diagnosis and evaluations[M]. Hangzhou: Zhejiang University Press, 2015 (in Chinese) [Google Scholar]
- CHOWDHURY R H, REAZ M B I, ALI M A B M, et al. Surface electromyography signal processing and classification techniques[J]. Sensors, 2013, 13(9): 12431–12466. [Article] [NASA ADS] [CrossRef] [Google Scholar]
- LI Tao. Correlation analysis between central frequency of electromyographic power spectrum and muscle fatigue[J]. Chinese Journal of Rehabilitation Medicine, 1995, 10(4): 153–155. [Article] (in Chinese) [Google Scholar]
- WANG L. Support vector machines: theory and applications[M]. Heidelberg: Springer, 2005 [CrossRef] [Google Scholar]
- GHOLAMI R, FAKHARI N. Support vector machine: principles, parameters, and applications[M]. Amsterdam: Elsevier, 2017 [Google Scholar]
- HSU C W, LIN C J. A comparison of methods for multi-class support vector machines[J]. IEEE Trans on Neural Networks, 2001, 13: 415–425 [Google Scholar]
All Tables
All Figures
![]() |
图1 肌肉位置信息 |
| In the text | |
![]() |
图2 肌电实验 |
| In the text | |
![]() |
图3 被试斜方肌(m7)IEMG和RMS变化 |
| In the text | |
![]() |
图4 被试斜方肌(m7)MPF和MF变化 |
| In the text | |
![]() |
图5 SVM模型ROC曲线 |
| In the text | |
Current usage metrics show cumulative count of Article Views (full-text article views including HTML views, PDF and ePub downloads, according to the available data) and Abstracts Views on Vision4Press platform.
Data correspond to usage on the plateform after 2015. The current usage metrics is available 48-96 hours after online publication and is updated daily on week days.
Initial download of the metrics may take a while.





