| Issue |
JNWPU
Volume 42, Number 5, October 2024
|
|
|---|---|---|
| Page(s) | 866 - 874 | |
| DOI | https://doi.org/10.1051/jnwpu/20244250866 | |
| Published online | 06 December 2024 | |
A rolling bearing fault diagnosis method based on GADF-CWT-GCNN
基于GADF-CWT-GCNN的滚动轴承故障诊断方法研究
Key Laboratory of Road Construction Technology and Equipment for Ministry of Education, Chang’an University, Xi’an 710064, China
Received:
5
September
2023
Abstract
Because of poor model generalization ability and low diagnostic accuracy caused by rolling bearing fault diagnosis in a small sample environment, a novel method based on the Gram angle division field (GADF), the continuous wavelet transform (CWT) and the parallel two-dimensional group normalizatio convolutional neural network (P2D-GCNN) for the fault diagnosis of rolling bearings is proposed. Firstly, collected data are preprocessed and one-dimensional vibration signals are converted into two-dimensional images by using the Gram angle division field and the continuous wavelet transform as the input of the model. Then the data enhancement technique is used to expand the sample sub-graph to meet the input requirements of the network. The sample sub-graph is imported into the convolutional neural network with the group normalization algorithm for diagnostic detection. The results show that the generalization ability of the data processing method and the model built in this paper in the small-sample environment is much higher than that of other network models such as the small vector machine and the 1D-CNN. In order to further verify the recognition ability of the model in the small sample environment, the sample sizes of 70%, 40% and 20% of the dataset are used to do experiments many times. Their corresponding training accuracy and test accuracy were 99.38%, 99.02%, 99.47%, 98.29%, 99.05% and 97.08% respectively, indicating that the model is highly accurate for the fault diagnosis of rolling bearings in the small sample environment.
摘要
针对滚动轴承故障诊断在小样本环境下引起的模型泛化能力差、诊断精度低的问题, 提出一种基于格拉姆角分场(GADF)和连续小波变化(continuous wavelet transform, CWT)与并行二维组归一化卷积神经网络(parallel convolutional neural network, P2D-GCNN)的滚动轴承故障诊断方法。对采集的数据进行预处理, 采用格拉姆角场和连续小波变换将一维振动信号转换成二维图像作为模型输入, 再选用数据增强技术扩充样本子图, 满足网络输入要求, 并将其导入搭建的组归一化卷积神经网络中进行诊断检测。结果表明: 文中数据处理方法与搭建模型在小样本环境下泛化能力远高于SVM和1D-CNN等其他网络模型。为进一步验证模型在小样本数据下的识别能力, 取数据集的70%, 40%和20%样本量进行多次实验, 所对应的训练准确率及测试准确率分为99.38%, 99.02%, 99.47%, 98.29%, 99.05%, 97.08%。结果证明, 文中模型在小样本环境下对轴承故障诊断具有很高的准确率。
Key words: rolling bearings / fault diagnosis / Gram angular division field / continuous wavelet transform / parallel two-dimensional convolutional neural network
关键字 : 滚动轴承 / 故障诊断 / 格拉姆角分场(GADF) / 小波变换(CWT) / 并行二维卷积神经网络(P2D-GCNN)
© 2024 Journal of Northwestern Polytechnical University. All rights reserved.
This is an Open Access article distributed under the terms of the Creative Commons Attribution License (https://creativecommons.org/licenses/by/4.0), which permits unrestricted use, distribution, and reproduction in any medium, provided the original work is properly cited.
滚动轴承是工业生产中最常见的机械零件, 它对机械的正常运作有着重要的作用, 轴承一旦发生故障, 极易造成重大的安全事故[1]。因此对滚动轴承的有效故障诊断十分必要。传统的故障诊断方法有模态分析[2]、小波变化[3]等, 这些方法虽然对故障诊断有着一定的效果, 但太过于依赖人工经验诊断, 存在特征提取弱、泛化能力不强等问题。
近年来, 研究热点集中在深度学习网络和信号处理技术的结合来实现故障诊断。常见的神经网络有卷积神经网络[4]、迁移神经网络[5]等。信号处理技术有傅里叶变换[6]、格拉姆角场变换[7]、小波变换[8]等。Chen等[9]对齿轮箱进行离散小波变化将一维信号转化为二维图像, 再输入到卷积神经网络中进行故障分类识别。Zeng等[10]提出用S变换来获取时频信息, 然后基于S变换和卷积神经网络完成分类识别。虽然以上方法效果不错, 但大部分均只是对信号进行时域或时频域分析, 其信号处理效果不够理想, 存在数据信息缺失, 这使得故障诊断的准确性和稳定性较低。
轴承的工作环境复杂, 工况多变, 采集的轴承信号也大多有非线性的特点。所以同时进行时域和时频域方法获取二维信息会更有利于深度学习的数据特征提取及训练。时域分析方法中, 格拉姆角分场既能保留信号的完整信息, 也保持着信号对时间的依赖性;时频分析方法中, 连续小波变换具有很强的弱信号检测能力, 相对于傅里叶变换不存在信息漏检和窗口固定不变的情况。综上所述, 提出基于连续小波变换与格拉姆角分场变化和卷积神经网络的轴承故障诊断方法, 通过不同模型对比和不同数据集规模下轴承故障诊断实验, 验证了本文方法的有效性和可行性。
1 相关原理介绍
1.1 格拉姆角分场变换
格拉姆角场变换包括格拉姆角和场(GASF)和格拉姆角分场(GADF), 但格拉姆角分场转化处理的图像更为清晰, 具体变换步骤如下。
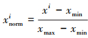
第1步 假设时间序列是X={x1, x2, x3, …, xn}, 其中xi(i=1, 2, 3, …, n)为第i个采样信号, n为采样点数, 通过最大归一化和最小归一化, 将时间序列数据缩放到[0, 1], 表达式如(1)式所示
(1)
第2步 当处理的时间序列过长时, 生成的图像尺寸过大会给故障诊断过程带来负担。为了在不丢失时间序列信息的前提下减少时间序列的长度, 一般采用分段聚合近似[11]对缩放后的时间序列Xnorm进行降维, 表达式如(2)式所示
(2)
式中: xnormj为降维后的时间序列;
是压缩比, w≤n。
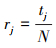
第3步 用极坐标表示压缩时间序列, 其中, θj是角余弦的极坐标, rj是极直角, tj是时间戳, N是正则化极坐标系统跨度的常数因子, 表达式如(3)~(4)式所示
(3)
(4)
通过上述变换, 可以将时间序列转化为对角对称的特征图, cosθ在[0, π]上是单调递减的, 对于给定的时间序列, 它在极坐标系统中有唯一的对应值, 其逆映射也是唯一的。因此, 极坐标相对于笛卡尔坐标可以保持绝对的时间关系, 更有利于时间序列的分析。
第4步 GADF根据不同时间点之间的角度差异识别出不同时间点的时间相关性, 采用公式(5)在矩阵的几何结构中进行编码
(5)
式中: I是单位行向量[1, 1, 1, …, 1], XnormT是Xnorm的转置向量, 对一维时间序列映射到极坐标系统后, 将每个时间步的时间序列作为一维度量空间。通过上述变换,对于长度为m的输入时间序列,GADF变换的合成矩阵维数为m×m, 原始信息保持正对角线,其他时间序列之间关系反映在矩阵的其他区域。
1.2 连续小波变换
连续小波变换(continuous wavelet transform, CWT)通过使用一个随频率变化的“时频”窗口, 可以将原始振动信号的时频特征显示在图像上。设ψ(t)∈L2(R), ψ(t)是一个母小波, 对小波函数进行拉伸、平移获得连续小波函数, 表达式为
(6)
式中:a是伸缩因子; b是平移因子。
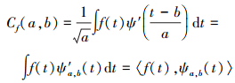
给定平方可积信号f(t), 当f(t)∈L2(R)时, f(t)的连续小波变换表达式为
(7)
当Cf(a, b)进行逆变换时, 可以得出
(8)
式中,
。
当a值较大时, 适合提取信号中的低频特征, 反之, 适合提取信号中的高频特征。小波变换的关键是小波基函数的选择, 它决定了小波变换的有效性和效率。对振动信号进行小波变换得出时频图, 本文选取cmor小波作为CWT的小波基函数。
2 并行二维卷积神经网络
2.1 P2D-CNN模型提出及特点
本文对故障轴承一维振动信号同时进行时域、时频的二维图像转换后输入到并行二维卷积神经网络中, 便于网络模型获取更多丰富的故障特征信息, 为提高网络识别率和诊断精度, 需要对并行二维卷积神经网络进行参数设置和模型优化。
卷积神经网络的基本结构由卷积层、激活层、池化层和全连接层组成。卷积层使用多个卷积核扫描输入数据, 提取出各种特征。激活层引入非线性, 增强网络的表达能力。池化层通过降低特征图的空间维度, 减少计算量。全连接层则将前面的特征图展平成一维向量, 并通过加权和偏置进行最终分类。本文模型采用Relu作为激活函数, 以解决梯度消失问题并引入非线性。池化层使用最大池化, 通过选择局部区域中的最大值减少特征图尺寸, 减轻计算负担并保留关键特征。损失函数选择了交叉熵损失, 有效衡量分类任务中的预测准确性。优化方面, 使用了Adam优化器, 结合了动量法和自适应学习率调整, 能加快收敛速度并提高训练效果。
2.2 P2D-GCNN模型提出及特点
在CNN网络训练过程中, 网络参数被更新的同时数据分布随之更新, 随着网络层数的加深, 不可避免地影响了网络的收敛速度。因此, 本文提出采用组归一化(group normalization, GN)算法进行数据的归一化处理, 能加快网络训练, 改进后的卷积神经网络称为并行二维组归一化卷积神经网络(P2D-GCNN), 其结构如图 1所示。
组归一化算法即对数据进行归一化操作时, 将通道C划分为若干G组, 对每组分别计算均值和方差值完成归一化处理, 最后再把归一化后的G组数据合并成CHW, 计算过程表达式为
(9)
式中: Si为平均值和方差的集合; G是通道的分组数; C是每一组的通道数; kc是关于C通道中k的子索引; ic是关于C通道中i的子索引, 其中同一个通道索引的像素被一起归一化, ⌊kc/c⌋=⌊ic/c⌋意味着子索引k, i是在相同通道中。
![]() |
图1 并行二维组归一化卷积神经网络模型结构图 |
3 基于P2D-GCNN的滚动故障轴承诊断方法
本文通过对故障轴承一维振动信号同时进行格拉姆角分场变换和连续小波变换, 结合时域与时频域的互补故障特征信息挖掘到各特征信息内部关联性, 结合卷积神经网络强大的自动特征提取能力, 输入到P2D-GCNN网络中, 提高网络识别率。
本文方法具体步骤为:
1) 从实验室获取不同故障状态的原始振动信号, 用于后续模型的训练。
2) 对原始数据进行数据预处理, 设置采样长度, 利用格拉姆角分场变换和连续小波变换将一维振动信号转换成二维图像作为样本输入。
3) 利用数据增强技术, 对时域样本图和时频样本图裁剪扩充样本数量, 按照7∶1.5∶1.5比例划分训练集、验证集、测试集。
4) 搭建P2D-GCNN网络模型, 初始化参数。
5) 将划分好的训练集输入到P2D-GCNN模型中训练, 并使用优化算法迭代优化建模参数。如果达到最优值, 则进行步骤6);否则, 转到步骤4), 修改模型参数, 直到达到最优参数, 保留最优模型。
6) 将划分好的测试集样本输入到最优的P2D-GCNN模型中, 最后由softmax输出分类结果和测试准确率。
4 故障诊断试验与分析
4.1 实验数据
在本文研究中, 实验室使用的是滚轴故障模拟实验平台, 该故障平台包括三相交流异步电机、柔性联轴节、变频控制器、X轴方向传感器、Y轴方向传感器、主轴、轴承座、不同故障种类的测试轴承、转子、加载装置、往复机构、皮带传送机构、DHDAS动态信号采集分析系统和终端设备, 见图 2。
在这个实验中, 使用加速度传感器采集测试轴承的故障信号数据, 变频器控制器被设置为固定的电机频率, 并使用负载装置在6个工作条件下采集数据, 电机负载设置为0, 745.7, 1 481.4, 2 237.1, 2 982.8和3 728.5 W, 数据采集频率为25 600 Hz。本文采用电机的运行频率为30 Hz, 选取加速度传感器在X轴方向采集到的轴承故障数据, 表 1为实验室轴承故障统计信息。
选取电机工作频率为30 Hz时, 在6种不同负载下实验台采集正常轴承、滚动体故障轴承、内圈故障轴承、外圈故障轴承和混合故障轴承的振动信号数据, 图 3为负载1 491.4 W下的原始测试轴承5种不同故障状态的振动信号实验曲线图。
图 3中可以看出, 不同类型的故障振动信号具有不同的振动波形、不同的信号振幅和不同的振动信号特征。
![]() |
图2 模拟实验台 |
实验轴承故障统计信息
![]() |
图3 同负载下滚动体故障的原始信号图 |
4.2 数据增强技术
本文在提取时域特征时, 采用格拉姆角分场变换, 在变换过程中, GADF将随着时间变换的振动信号转换成角度值, 使用极坐标值保证绝对时域信号的时间关系, 为了获得大量适合深度神经网络的输入样本, 提出一种样本数据扩充的方法。如一张n×n的GADF图, 经过图像裁剪后, 得到
张m×m的GADF转换子图, 可以实现样本数目扩充的目的。本实验中, 样本采样点为1 024, 采用随机滑动窗口采样技术, 每一类振动故障数据截取50个样本, 并对这些样本进行GADF转换, 生成50张大小为1 024×1 024的样本图, 并对这些样本图进行裁剪, 得到3 200张128×128大小的子图。图 4为不同故障轴承的GADF时域图。在提取时频特征时, 采取与上述相同的处理方法, 图 5为不同故障轴承的CWT时频图。
进行上述样本扩充后, 将裁剪后的GADF样本子图和CWT样本子图按照7∶1.5∶1.5的比例划分为训练集、测试集和验证集, 表 2为具体的样本划分结果, 其中数据集A代表 0 W下的样本、数据集B~F分别代表745.7, 1 491.4, 2 237.1, 2 982.8, 3 278.5 W下的样本集, 这6个数据集的样本划分结果相同。
![]() |
图4 不同故障轴承的格拉姆角分场时域图像 |
![]() |
图5 不同故障轴承的连续小波变换时域图像 |
实验数据集A划分信息
4.3 实验处理结果分析
本文仿真实验采用的硬件环境是: 英特尔酷i5-8250U处理器, 显卡芯片是NVIDIA Geforce MX150, windows11系统, python编程语言, 学习框架为tensorflow2.1版本。P2D-GCNN模型在tensorflow中搭建完成后设置原始结构参数, 将实验室各数据集输入到搭建好的P2D-GCNN模型中进行多次训练, 确定网络模型超参数。初始学习率为0.001, 激活函数选用Relu函数, 选用Adam自适应优化器更新网络参数以获取参数最优值, dropout值选取0.5, 选用GN归一算法。本次实验将各类数据集输入搭建好的P2D-GCNN网络模型中进行训练、测试, 模型经过50轮训练后结果如图 6所示。
从图中可以看出, 每个数据集中的训练准确率和测试准确率随着训练轮数的增加而不断提升, 当训练轮数到达10, 模型对数据集的训练准确率和验证准确率都开始大幅度提升, 当模型训练了20轮, 大部分数据集中的训练准确率都在90%以上, 当模型训练到50轮时, 6个数据集的训练准确率和验证准确率都达到99%以上, 接近100%, 这表明本文模型在轴承故障诊断中具有优异的故障识别能力。
![]() |
图6 各数据集准确率与模型训练轮数的关系图 |
4.4 不同数据集规模下模型的性能
在神经网络模型中, 当输入的图片数量和尺寸不同时, 网络模型对故障诊断的效果也有所不同。当数据样本太少时, 会因为网络模型中参数过多导致模型出现过拟合, 因此网络模型在更少数据集情况下保持良好的诊断性能非常关键。为验证P2D-GCNN模型在小样本环境下的故障诊断能力, 选取总数据集50个样本的70%, 40%和20%, 即35个样本、20个样本和10个样本。为了满足网络输入数量的要求, 对选取的3种小样本进行不同尺寸的裁剪。
第1种小样本环境是将35张1 024×1 024的样本图裁剪成2 240张128×128大小的子图; 第2种小样本环境是将20张1 024×1 024的样本图裁剪成5 120张64×64的子图; 第3种小样本环境是将10张1 024×1 024的样本图裁剪成10 240张32×32的子图, 将这些子图按照7∶1.5∶1.5的比例分为训练集、测试集和验证集。与一维卷积神经网络模型(1D-CNN)[12]、双输入LeNet-5[13]网络模型和多输入PMCNN模型[14]这3种算法进行比较分析, 1D-CNN和PMCNN模型的输入要求是一维数据输入, 为满足神经网络训练的数据输入需求, 将一维样本数据重复使用。其中, 1D-CNN模型进行一系列参数对比实验, 确定性能最佳的CNN模型作为对比模型。为了避免实验偶然性对诊断结果的影响, 实验进行30次并取平均值, 结果如表 3所示。
从表 3可知, 在3种不同的少样本数据规模下, 本文所提出P2D-GCNN模型的平均识别精度最高。当数据规模为数据集的70%时, 本模型的训练识别精度为99.38%, 测试精度为99.02%, 明显高于1D-CNN、PMCNN和双输入LeNet-5模型。当数据量减少为总数据集的40%时, 其他3种方法的故障识别率明显下降。特别是当数据量为总数据集的20%时, 1D-CNN的测试识别精度下降到78.24%, 是所有方法中效果最不佳的, 比70%数据集的测试精度下降了约17%。而PMCNN和双输入LeNet-5也各自下降了8%和5%左右, P2D-GCNN模型仅仅下降了不到3%左右, 测试准确率能达到97.08%。这足以表明当样本数量大幅度减少时, P2D-GCNN模型仍能具有很高的故障识别率。
不同样本的训练集、测试集平均准确率
4.5 不同模型的识别性能比较分析
为了进一步说明P2D-GCNN模型对故障轴承的高识别性能, 本节引入混淆矩阵对表 3中4种方法在10个样本下的测试识别效果进行量化分析, 如图 7所示。
从图中可以看出, 使用1D-CNN模型的分类效果最差, 部分内圈、外圈和混合故障被识别成其他故障种类。使用PMCNN模型的分类效果比1D-CNN稍微好点, 接近94%的正常轴承能被很好识别, 但混合轴承故障的识别效果很差, 超过25%的混合故障被错误识别成其他3类故障。使用双输入LeNet-5网络的分类效果较好, 超过90%的滚动体、内圈故障和正常轴承都能被正确识别, 只有一部分外圈故障和混合故障的识别效果不理想。而本文的P2D-GCNN网络模型大部分故障都能很好地被正确分类, 其中正常轴承分类结果完全准确为100%, 是4种网络里分类效果最好的, 混合故障的轴承分类也高达94%。
![]() |
图7 10个样本下4种方法的混浠矩阵结果 |
4.6 单输入和双输入在不同网络模型的结果对比
在验证了并行二维卷积网络模型的有效性后, 分别设计单输入卷积网络模型(P2D-GCNN分支网络)和双输入并行网络模型(P2D-GCNN), 对比不同单输入图像和双输入图像对卷积神经网络模型准确率的影响, 选取实验室自采数据2 237.1 W下的50个样本数据集进行实验验证。遵循控制变量的设计方法, 一共设计5个数据集, 分别是: 数据集A(仅包括GADF时域图像)、数据集B(仅包括CWT时频图像)、数据集C(2个GADF时域图像)、数据集D(2个CWT时频图像)和数据集E(GADF时域图像和CWT时频图像), 具体结构如图 8所示。将数据集A~E输入搭建好的P2D-GCNN网络模型中进行训练和测试, 实验进行30次后取各数据集测试集的准确率, 实验结果如图 9所示。
从图 9可以看出, 使用并行分支网络模型的测试准确率比单分支网络模型的测试准确率要高, 说明多输入比单输入在网络模型中能获得更多特征信息, 从而达到较高的识别分类效果。而3种不同双输入的并行分支网络模型中, 以GADF时域、CWT时频图像输入的网络模型测试准确率是最高的, 平均准确率达到99.5%左右, 在轴承故障诊断效果中具有较大的优势, 该模型具有较好的稳定性和泛化能力。
![]() |
图8 5种不同网络模型结构简图 |
![]() |
图9 不同网络模型测试次数与准确率关系对比 |
5 结论
提出一种基于GADF-CWT-GCNN的滚动轴承故障诊断方法, 利用GADF和CWT分别对滚动轴承振动信号进行时域和时频变换, 所得图像构建为数据集, 将其输入P2D-GCNN网络中实现轴承的故障分类, 实验结果表明:
1) 搭建的P2D-GCNN具有较好的性能, 在6种不同负载条件下, 数据集的训练准确率和验证准确率都能够达到99%以上。
2) 为了进一步验证模型在小样本数据下的识别能力, 取数据集的70%, 40%和20%样本量进行多次实验, 结果证明, 该模型在小样本环境下对轴承故障诊断具有很高的准确率。
3) 进行单输入和双输入在不同网络模型的实验, 证明并行分支网络模型的测试准确率比单分支网络模型的测试准确率要高, 多输入比单输入在网络模型中能获得更多特征信息, 从而达到较高的识别分类效果。
References
- CUI L, WANG X, XU Y, et al. A novel switching unscented Kalman filter method for remaining useful life prediction of rolling bearing[J]. Measurement, 2019, 135: 678–684 [Article] [CrossRef] [Google Scholar]
- LI Y, XU M, HUANG W, et al. An improved EMD method for fault diagnosis of rolling bearing[C]//2016 Prognostics and System Health Management Conference, Chengdu, 2016: 1-5 [Google Scholar]
- LEE W, PARK C G. Double fault detection of cone-shaped redundant IMUs using wavelet transformation and EPSA[J]. Sensors, 2014, 1423428–3444 [Article] [CrossRef] [Google Scholar]
- WU Chunzhi, JIANG Pengcheng, FENG Fuzhou, et al. Gearbox fault diagnosis based on one-dimensional convolutional neural network[J]. Journal of Vibration and Shock, 2018, 37(22): 51–56 (in Chinese) [Google Scholar]
- LEI Yaguo, YANG Bin, LI Naipeng, et al. Cross-device targeted migration diagnosis method for mechanical faults[J]. Chinese Journal of Mechanical Engineering, 2022, 58(12): 1–9 (in Chinese) [Google Scholar]
- GAO Bo, ZHANG Zhong, WEI Long, et al. Application of improved fractional Fourier transform algorithm in time-frequency analysis[J]. Strength & Environment, 2021, 48(3): 8–15 (in Chinese) [Google Scholar]
- LUO Jiahang, ZHANG Xu, WANG Jingxiang. Bearing fault diagnosis based on gram angle field and multi-scale CNN[J]. Bearing, 2022(6): 73–78 (in Chinese) [Google Scholar]
- ANWARSHA A NARENDIRANATH BABU T. Recent advancements of signal processing and artificial intelligence in the fault detection of rolling element bearings: a review[J]. Journal of Vibroengineering, 2022, 24(6): 1027–1055 [Article] [CrossRef] [Google Scholar]
- CHEN R, HUANG X, YANG L, et al. Intelligentfault diagnosis method of planetary gearboxes based on convolution neural network and discrete wavelet transform[J]. Computers in Industry, 2019, 106: 48–59 [Article] [CrossRef] [Google Scholar]
- ZENG X, LIAO Y, LI W. Gearbox fault classification using S-transform and convolutional neural network[C]//2016 10th International Conference on Sensing Technology, 2016: 1-5 [Google Scholar]
- LI Hailin, LIANG Ye. Dynamic time-bending method of piecewise aggregation approximation and numerical derivative[J]. Journal of Intelligent Systems, 2016, 11(2): 249–256 (in Chinese) [Google Scholar]
- WANG Chunlei, LU Xiaojuan. A method for motor bearing fault diagnosis based on deep learning[J]. Journal of Lanzhou Jiaotong University, 2020, 39(2): 43–50 (in Chinese) [Google Scholar]
- FU Zhongguang, WANG Shiyun, GAO Yucai, et al. Research on fault diagnosis model of rotating machinery using LetNet-5 convolutional neural network with double channel input[J]. Thermal Power Generation, 2023, 52(3): 81–87 (in Chinese) [Google Scholar]
- ZHOU Yongqing. Bearing fault research based on one-dimensional parallel multi-channel convolutional neural network[D]. Xi’an: Chang’an University, 2021 (in Chinese) [Google Scholar]
All Tables
All Figures
![]() |
图1 并行二维组归一化卷积神经网络模型结构图 |
| In the text | |
![]() |
图2 模拟实验台 |
| In the text | |
![]() |
图3 同负载下滚动体故障的原始信号图 |
| In the text | |
![]() |
图4 不同故障轴承的格拉姆角分场时域图像 |
| In the text | |
![]() |
图5 不同故障轴承的连续小波变换时域图像 |
| In the text | |
![]() |
图6 各数据集准确率与模型训练轮数的关系图 |
| In the text | |
![]() |
图7 10个样本下4种方法的混浠矩阵结果 |
| In the text | |
![]() |
图8 5种不同网络模型结构简图 |
| In the text | |
![]() |
图9 不同网络模型测试次数与准确率关系对比 |
| In the text | |
Current usage metrics show cumulative count of Article Views (full-text article views including HTML views, PDF and ePub downloads, according to the available data) and Abstracts Views on Vision4Press platform.
Data correspond to usage on the plateform after 2015. The current usage metrics is available 48-96 hours after online publication and is updated daily on week days.
Initial download of the metrics may take a while.









