| Issue |
JNWPU
Volume 38, Number 1, February 2020
|
|
|---|---|---|
| Page(s) | 147 - 154 | |
| DOI | https://doi.org/10.1051/jnwpu/20203810147 | |
| Published online | 12 May 2020 | |
A Link Distance Division Based Time Division Multiple Access Protocol for Directional Aeronautical Relay Networks
定向航空中继网络中一种基于链路距离分环的多址接入协议
School of Electronics and Information, Northwestern Polytechnical University, Xi'an 710072, China
Received:
12
January
2019
Abstract
In directional aeronautical relay networks, the airplane relay explores the advantages of the directional antenna, in terms of long transmission distance, low transmission power, small interference range and so on, to help the ground nodes transmitting data. However, data transmission delay extension problem occurs when the distance of the transmission link extends, where the wireless signal transmission time approximates the data transmission time such that the wireless signal transmission time cannot be omitted. To address the data transmission delay extension problem, a link distance division based time division multiple access protocol, LDD-TDMA, is proposed in this paper. Different from the traditional TDMA protocol, where the time slots are equal and are determined by the longest transmission link, the length of the time slots are different and are determined by different transmission links. Furthermore, the concept of communication coverage ring is proposed where the nodes located in the same ring communicate with the relay utilizing the same time slot length. The relationships between the number of rings, the ring radius and the transmission range of the LDD-TDMA are modelled and derived as a closed formula, where the ring radius are optimized such that the gain is maximized. Simulation results show that LDD-TDMA outperforms TDMA by 13.37% when the transmission range is 200 km and the ring number is 4.
摘要
在定向航空中继网络中,中继飞机利用定向天线通信距离远、发射功率小、无线信号干扰范围小等优点,辅助地面节点克服地形遮挡、信号衰弱大、通信距离受限等缺点,以较少的跳数进行通信,有效降低端到端数据传输时延、提高网络吞吐量。针对定向航空中继网络中由于通信链路长、无线信号传播时延与数据传输时延相近,所引起的通信时延扩展、多址接入协议效率低等问题,提出了一种基于通信链路距离进行分环的时分多址接入协议(link distance division based time division multiple access protocol,LDD-TDMA)。与传统的TDMA多址接入协议中所有链路均使用相同的时隙长度不同,LDD-TDMA根据通信链路的距离远近使用不同的时隙长度。进一步为了简化协议实现,提出通信覆盖范围分环的概念,使得处于同一个环内链路距离相近的节点使用相同的时隙长度。接着,建模分析并推导出了最大化多址接入效率的分环的个数、分环半径与节点最大通信距离之间的闭合表达式。最后,仿真结果表明,当中继飞机最大通信距离为200 km、分环个数为4时,LDD-TDMA的多址接入效率相较于传统的TDMA可提高13.37%。
Key words: directional aeronautical relay networks / multiple access protocol / link distance / data transmission delay extension / communication ring
关键字 : 定向航空中继网络 / 多址接入协议 / 链路距离 / 通信时延扩展 / 分环
© 2020 Journal of Northwestern Polytechnical University. All rights reserved.
This is an Open Access article distributed under the terms of the Creative Commons Attribution License (http://creativecommons.org/licenses/by/4.0), which permits unrestricted use, distribution, and reproduction in any medium, provided the original work is properly cited.
定向航空中继网络(directional aeronautical relay network, DARN)也被称为定向机载距离扩展网络(directional airborne range extension networks)[1-5], 近年来引起了人们的广泛关注。在DARN中有2类节点, 分别为空中飞机和地面节点; 其中, 空中飞机也被称为空中定向中继节点, 它具有飞行高度高(可达数公里)、与大部分地面节点均具有视距通信路径(line of sight, LOS)、通信覆盖范围大(可达数百公里)等优点, 可为大量的、距离较远的地面节点中继数据。然而, 与传统的全向中继飞机[6]不同, 定向中继飞机挂载定向天线辅助地面节点进行通信。
定向天线通过采用定向波束成型技术, 可将无线信号集中到某个特定方向上; 在相同发射功率的情况下, 与全向天线相比, 定向天线的无线信号通信距离更远; 此外, 定向天线还具有无线信号干扰范围小、通信保密性强等优点, 因此受到了国内外研究者的广泛关注。然而, 随着定向中继飞机与地面节点的通信链路距离增大, 也带来了通信时延扩展问题[2-3], 降低了多址接入协议的效率。
通信时延扩展, 指的是由于无线通信链路距离的变长, 导致原本可被忽略的无线信号传播时延变大, 与数据传输时延相比不再可被忽略; 从而, 完成一次数据传输与应答(DATA-ACK)的通信元操作所需要的时隙长度变长, 导致多址接入协议效率降低的问题。比如, 令通信链路的数据速率为2 Mb/s, 则传输一个2 kb的数据包所需要的数据传输时延为1 ms; 当该通信链路长度为300 m时, 无线信号传播时延约为1 μs(无线信号以光速传播), 此时完成一次DATA-ACK所需时隙长度约为1.002 ms, 约为1 ms(信号传播时延可忽略); 而当通信链路长度为300 km时, 无线信号传播时延约为1 ms, 此时完成一次DATA-ACK所需要的时隙长度约为3 ms, 约为链路距离300 m时的3倍。
为了解决通信链路距离变长而带来的通信时延扩展问题、提高多址接入效率, 国内外研究者对多波束定向航空中继网络[3-5]、传感器网络[7-8]、卫星通信网络[9]、移动自组织网络[10-11]、蜂窝网[12]等进行了大量研究。文献[4]指出通信时延扩展导致的信号传播时延过大, 使得基于虚拟或物理载波侦听的随机多址接入协议失效, 因此, 现有研究工作可被分为2类:基于随机接入和基于TDMA的工作。
在基于随机接入的工作中, 文献[3]首先提出了一种新颖的非时隙、无协调的类ALOHA随机多址接入策略, 并指出该协议更为适用于那些协调开销较大的多址接入协议。文献[4]基于文献[3]的工作, 提出了一种适用于多波束定向网络的随机接入方法。但是, 在该方法中每个节点不仅需要跟踪邻居节点, 包括节点方位和节点距离等信息, 而且还需要跟踪邻居节点的波束收发时隙状态, 从而确定波束发射的工作时间, 协议实现的复杂度大; 此外, 与基于TDMA的MAC协议相比, 随机接入的效率较低。在基于TDMA的工作中, 文献[7]利用传感器与被测目标的距离检测任务和空闲时隙, 给网络中的节点分配通信时隙。文献[8]提出了一种根据探测节点与目标节点距离远近进行自适应分配的动态规划方法。文献[9]研究了卫星与不同浮标链路的传播时延差异大问题, 通过时隙离散分配, 提出了一种根据浮标位置信息计算时隙长度的时分多址接入协议。文献[10]提出了一种分布式动态时隙算法,根据业务需求动态分配时隙个数。文献[11]也提出了一种基于节点位置信息的多信道多址接入协议, 在位置信息的辅助下对数据传输时隙进行调整。文献[12]将蜂窝网中的用户根据与基站的距离远近划分为不同级别的邻居, 通过计算干扰水平得到用户选择所有最小化干扰的接入时隙。综上所述, 现有研究工作已初步探索了基于节点位置信息和链路距离的TDMA协议设计思路, 但是未对链路距离分类, 也没有优化数据传输时隙的长度, 缺乏对关键参数设计的理论指导。
因此, 本文提出了一种基于通信链路距离进行分环的时分多址接入协议(link distance division based time division multiple access protocol, LDD-TDMA)。其基本思想是将通信距离相近的链路归为一类、划分到一个环中, 使用相同的时隙长度; 而不同的环对应的时隙长度不同。建模分析并推导出了分环的个数以及每个环的大小等LDD-TDMA协议的关键参数, 仿真结果验证了所提协议的有效性。
1 系统模型与通信时延扩展问题分析
1.1 系统模型
图 1给出了定向航空中继网络DARN的示意图。
设在DARN网络中, 有M个空中定向中继节点、N个地面节点, 均装置了定向天线。令空中定向中继节点的高度为h, 最大通信距离为R, 定向波束的半功率角为θ; 设定向中继飞机在指定高度(数公里)做盘旋运动(移动速度100余公里每小时); 相对于地面节点的部署区域或通信距离(数百公里)来说, 在单位时帧(数秒)内, 由于飞机盘旋半径(数公里)较小, 可被近似认为是静止的[6]。同理, 由于定向中继飞机的高度一般约为数公里, 与通信距离相比较小, 因此, 定向中继网络的三维网络拓扑可被降维为二维的网络拓扑。令N个地面节点以泊松点过程的方式随机分布, 被部署在圆形区域内; 设M=1且位于该圆形区域圆心的正上方。
![]() |
图 1 定向航空中继网络DARN示意图 |
1.2 通信时延扩展问题分析
设网络中所有节点是时间同步的, 令完成一次DATA-ACK数据收发时隙(data slot, DS)长度为Δ。下面, 通过协议模型分析并给出影响DS的主要因素, 并提出通信时延扩展问题。
设源节点S以DATA-ACK模式发送DATA给目的节点D, 节点D收到DATA之后立即应答ACK。令δ为基本时隙的时长, 设DATA占用m个基本时隙, ACK占用n个基本时隙; 无线信号传播时延为TP, 天线收发转换时延为TA, 如图 2所示。其中传播时延为
, dSD为S与D之间的距离, c为无线信号传播的速度(近似为光速)。因此, 可得DS的时长
(1)
从(1)式可以看出:①在给定所需要传输的数据情况下, DATA占用的基本时隙个数m和ACK占用的基本时隙n, 可被认为是确定值; ②天线收发转换时延TA, 主要是由天线的硬件实现方式等因素决定的(一般只有数微秒), 可被忽略; ③无线信号传播时延TP则主要是由收发节点之间的距离(即无线通信链路的距离)决定的; 而在DARN网络中, 定向中继飞机到地面节点的链路距离差异很大, 最小为定向中继飞机的高度h(数公里), 最大为定向中继飞机的通信距离R(数百公里), 因此TP不可被忽略。综上所述, 公式(1)可被近似为
(2)
式中, C=(m+n)δ为常数。
当采用传统的TDMA方法(traditional TDMA scheme, TTS)设计时隙长度时, 则应考虑定向中继飞机的最大通信距离R, 此时无线信号传播时延为
, DATA-ACK的时隙长度为

在本文提出的LDD-TDMA中, 我们将降低所有链路对应的距离R, 从而减小数据收发时隙的长度。
![]() |
图 2 DATA-ACK模式数据传输示意图 |
2 基于链路距离分环的多址接入协议
针对通信时延扩展问题, 在传统的TDMA多址接入协议基础上, 本文提出一种基于链路距离分环的多址接入协议LDD-TDMA。
2.1 基本思想
LDD-TDMA的基本思想如下所述:首先, 令圆心为数据源节点S(即定向中继飞机), 半径为定向天线的通信范围R, 确定该源节点的圆形通信区域A; 然后,仍以节点S为圆心, 再令半径为d1, d2, …, dK, 0=d0 < d1 < d2 < … < dK < dK+1=R, 则可将区域A划分为1个半径为d1的圆形区域, 和半径分别为d2, …, dK, dK+1的K个环形区域; 接着, 计算并得到链路距离d1, d2, …, dK, dK+1所对应的无线信号传播时延TP1, TP2, …, TPK, TPK+1, 其中TPk=dk/c, 1≤k≤K+1;将TP1, TP2, …, TPK代入公式(1)可得该传播时延对应的DS时间长度M1δ, M2δ, …, MKδ, MK+1δ, 其中Mkδ, 1≤k≤K+1, 对应链路距离大于dk-1而小于dk的环形(或圆形, 当k=1时)区域; 最后, 如果目的节点D位于第k个环形, 则源节点S使用时间长度为Mkδ的时隙与目的节点D进行数据传输。
图 3给出了对源节点S的通信区域A进行分环的示意图; 此时K=3, 可以看出源节点S的通信区域A, 被划分为一个以d1为半径的圆形, 和3个分别以d2, d3和R为半径的环形。
![]() |
图 3 源节点S的通信区域分环示意图 |
2.2 协议流程
在LDD-TDMA中, 基本时隙是最小的时长粒度, 多个基本时隙构成一个DS。与传统的TDMA协议不同, 在TTS中所有的DS的长度是相同的, 而在LDD-TDMA中, DS的长度被划分为K+1档, 每一档的DS长度根据对应的收发节点之间的距离确定。
LDD-TDMA协议的工作流程包括3个阶段, 分别为邻节点发现阶段、源节点与目的节点通信距离的测量阶段、数据传输阶段。其中前2个阶段是为数据传输阶段服务的, 它们所占用的时间, 将作为LDD-TDMA协议的开销; 而在数据传输阶段, 定向中继节点则可以根据与每个邻节点的距离, 采用对应分环的DS长度与该邻节点进行数据传输。
下面, 给出LDD-TDMA协议在不同阶段所完成的功能, 及其具体的工作流程。
在邻节点发现阶段, 源节点可采用轮询扫描、令牌传递等算法发现邻节点, 具体的邻节点发现算法不在本文的研究范围内。之后, 源节点根据其缓存数据的目的地址, 与目的节点进行测距, 得到通信链路的距离; 该阶段也可与邻节点发现阶段相结合, 在邻节点发现的同时, 通过采用基于信号到达时间、基于信号能量等的方法测量与目的节点的距离。最后, 在数据传输阶段, 根据定向中继节点与邻节点的距离, 确定所采用的DS的长度, 成功进行握手之后, 源节点将数据发送给目的节点。
3 理论性能分析
本节对LDD-TDMA协议进行建模, 并推导出在给定K的情况下, 最优的分环大小以及最优的LDD-TDMA协议的效率, 即最大的分环增益, 对LDD-TDMA协议中关键参数的设定提供理论指导。
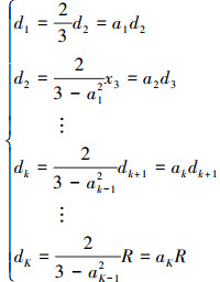
定理1 设定向中继飞机为源节点S位于二维坐标系的原点处, N个地面节点被随机均匀部署在以S为圆心R为半径的圆内。令分环半径为d1, d2, …, dK, 0=d0 < d1 < d2 < … < dK < dK+1=R, 对地面节点的被部署区域进行划分, 得到1个以d1为半径的圆形和K个环形。当分环参数为
(3)
时, LDD-TDMA的平均时隙长度达到最小值。
证明:在传统的TDMA协议中, 所有节点的DS长度均按照距离最远的节点进行计算。因此, 从每个DS长度的角度看, 每个目的节点与源节点的链路距离相当于通信距离R。而在LDD-TDMA中, 由于采用了分环的思想, 当源与目的节点通信时, 所采用的DS长度为该目的节点所位于的环形的半径(环形的圆心为源节点所处于的位置)。因此, 从平均DS长度的角度看, 每个目的节点与源节点的链路距离相当于平均分环距离, 即每个环形内的节点个数乘以对应环形半径的平均值。当该平均环形距离最小时分环增益最大, 相应的LDD-TDMA协议的效率也最大。
因此, 本证明的基本思路是:在给定环形个数K的情况下, 首先求出由于分环所带来的目的节点与源节点的平均分环距离; 然后, 通过最小化该平均分环距离, 推导求得分环参数的最优值。下面给出详细的证明过程。
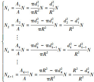
由于N个地面节点在半径为R的圆形内被随机均匀部署, 因此每个环形区域内的节点个数为
(4)
设d′k为第k个环形内的节点D与源节点S的距离, 则dk-1≤d′k≤dk。由于在LDD-TDMA中, 每个环形所对应的DS长度, 是按照该环形内距离源节点S最远的邻节点计算的, 因此, 源节点S与其周边所有邻节点的平均距离可被计算为
(5)
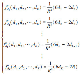
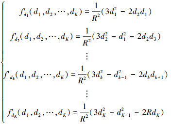
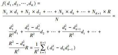
为了计算最优的环形参数d1, d2, …, dK, 首先求f(d1, d2, …, dK)对d1, d2, …, dK的偏导, 可得
(6)
然后, 令上述偏导函数全部等于0, 求解上述联立的方程组可得公式(3)。为了证明公式(3)可使得f(d1, d2, …, dK)取得最小值, 对其求二次偏导可得(7)式
(7)
将(3)式代入(7)式可知f″dk(·)>0, 1≤k≤K, 因此, 公式(3)给出的环形参数, 可最小化平均距离f(d1, d2, …, dK), 从而最大化LDD-TDMA协议的效率。证毕。
基于定理1给出的公式(3), 可计算得到当源节点S所覆盖的圆形区域被分环时, 每个环形的最优半径; 之后, 基于式(5)可计算出分环后的链路平均距离。表 1给出了当圆形区域被划分为2~5个环形时, 每个环形的半径和分环后的平均链路半径。
将表 1中不同分环个数对应的平均距离f(d1, d2, …, dK)代入公式(2), 可得到对应LDD-TDMA协议的平均时隙长度

从而可计算得到LDD-TDMA协议相对于TTS协议的增益

此外, 从表 1可得随分环个数的增大, 链路平均距离减小。定理2给出了当分环个数K趋于∞时, 链路距离的最小值。
定理2 设在半径为R的圆形内, 以泊松点过程分布有N个地面节点; 如果以每个节点到圆心的距离作为一个环形半径, 则当环形个数趋于无穷时, 即N→∞时, 所有节点的平均距离为
。
证明 设节点部署区域的圆心位置为极坐标的原点, 令N个节点的位置为(R1, θ1), (R2, θ2), …, (RN, θN)。由于N个节点以泊松点过程被部署, 因此可知θ1, θ2, …, θn与R1, R2, …RN独立, 且服从U[0, 2π]的均匀分布; 其中, R1, R2, …RN的密度函数为
。
对f(z)求积分, 可得N个节点到源节点S距离的期望为
。证毕。
基于定理2, 可知当分环个数K趋于∞时, LDD-TDMA协议中DS的平均长度为
(8)
当C为常数时, 即源节点S的DATA数据传输时间与目的节点D的ACK传输时间之和为常数时, LDD-TDMA协议与TTS协议相比, 在每个数据收发时隙上的平均增益为
(9)
从(9)式可知, 在给定R和c时, 随C的增大每个数据收发时隙上的平均增益越来越小。
由公式(9)可求出分环所带来的理论性能增益,如表 2所示。表 2给出了当R=200 km, C=0.001 s时, 分环个数分别为2~5, 以及分环个数趋于∞时的分环增益。从表 2可知, 随分环个数的增大, 分环所带来的理论增益增大。当R=200 km, C=0.001 s时, 分环个数为4时所带来的分环增益, 与分环个数为5时所带来的分环增益已经接近, 表明进一步的增加分环个数, 所带来的分环增益增量却变小。
理论计算得到的环形半径
LDD-TDMA协议与TTS相比的理论性能增益(R=200 km, C=0.001 s)
4 仿真性能分析
在MATLAB中搭建了仿真平台, 并与传统的TDMA协议TTS进行了仿真对比, 验证了分环算法所带来的性能增益。设网络中共有N个节点, 以密度为λ的泊松点过程, 被部署在半径R=200 km的圆形内; 定向飞机中继节点被部署在圆心, 最大通信半径为R。此时, 无线信号的往返传播延迟为
。设DATA与ACK的数据传输速率为2 Mb/s, DATA长度为240 B, ACK长度为10 B, 则DATA数据传输时间与目的节点的ACK传输时间之和为1×10-3 s, 即C=1 ms。
图 4给出了不同节点密度(λ=10-8和λ=10-9)情况下, 在给定R=200 km和C=0.001 s时, 不同分环个数对应的平均链路距离以及最小分环平均链路距离, 其中“不分环距离”即为传统的TTS协议。从图 4可得, 仿真结果与理论分析结果(参见表 2)相吻合, 验证了理论分析的正确性; 此外, 与理论分析一致, 网络中的节点密度λ和节点个数N对分环平均链路距离几乎没有影响; 随着分环个数的增加, 链路的平均距离逐渐减小, 并趋近于理论极限。
图 5给出了节点密度λ=10-9和R=200 km, 不同数据传输时间C(C=0.000 5 s, C=0.001 s, C=0.001 5 s)下, 不同分环个数所带来的LDD-TDMA协议与TTS相比的性能增益曲线。从图 5可知, 随着分环个数的增大, LDD-TDMA协议所带来的分环增益也越来越大, 随着C的增大分环增益越来越小, 该结论与公式(9)得出的结论一致。从图 5可知, 当分环个数达到4之后, LDD-TDMA协议的分环增益可达13.37%(C=0.001 s时), 且随着分环个数的增加, 增益的增量部分变小; 该结论意味着在实际的LDD-TDMA协议中, 尽管分环个数越多协议增益越大, 但一般只需要将网络划分为3~4个分环即可, 从而降低了协议实现的复杂度。
图 6给出了节点密度λ=10-9和C=0.001 ms, 不同分环个数(3, 4, 5)下, 不同节点最大传输距离R下的链路平均距离。从图 6可知, 随链路距离R增大, 给定分环所对应的链路平均距离逐渐增大; 且分环个数越多链路的平均距离越小。
![]() |
图 4 不同分环个数下平均距离与理论最小平均距离 |
![]() |
图 5 不同数据传输时间C下LDD-TDMA协议增益 |
![]() |
图 6 不同节点最大传输距离R对平均链路距离的影响 |
5 结论
针对定向航空中继网络中, 定向通信链路长、无线信号传播时延与数据传输时延相近, 所引起的通信时延扩展问题, 本文提出了一种基于通信链路距离分环的时分多址接入协议LDD-TDMA。理论推导并给出了不同分环个数对应的最优环形半径的闭合表达式, 通过计算不同分环个数下平均环形链路距离, 可求出不同分环个数对应的LDD-TDMA协议的理论分环增益。仿真结果验证了理论模型分析的正确性, 结果表明当最大通信半径R为200 km, 数据传输时延为0.001 s时, 在LDD-TDMA协议的实际应用中, 只需要将节点的通信区域划分为4个分环即可获得约13.37%增益。
未来研究中将考虑如何在复杂的三维网络拓扑中, 解决本文所提出的通信时延扩展问题。
References
- Macleod R B, Margetts A. Networked Airborne Communications Using Adaptive Multi-Beam Directional Links[C]//2016 IEEE Aerospace Conference, Big Sky, MT, USA, 2016: 1–7 [Google Scholar]
- Shake T, Amin R. Maximizing Interconnectedness and Availability in Directional Airborne Range Extension Networks[C]//2017 IEEE Military Communications Conference, Baltimore, MD, USA, 2017: 273–278 [Google Scholar]
- Kuperman G, Margolies R, Jones N M, et al. Uncoordinated MAC for Adaptive Multi-Beam Directional Networks: Analysis and Evaluation[C]//2016 25th International Conference on Computer Communication and Networks, Waikoloa, HI, USA, 2016: 1–10 [Google Scholar]
- Proulx B, Kuperman G, Jones N M, et al. Simulation and Modeling of a New Medium Access Control Scheme for Multi-Beam Directional Networking[C]//2017 IEEE Aerospace Conference, Big Sky, MT, USA, 2017: 1–9 [Google Scholar]
- Shake T. Topology Design for Directional Range Extension Networks with Antenna Blockage[C]//2017 IEEE Wireless Communications and Networking Conference, San Francisco, CA, USA, 2017: 1–6 [Google Scholar]
- Liu Chuang, Lyu Na, Chen Kefan, et al. An Unmanned Aerial Vehicle Relay Network Deployment Strategy for Aeronautic Swarm[J]. Computer Engineering, 2018, 44(5): 107–112 [Article] (in Chinese) [Google Scholar]
- Zhou Jie, Liu Yuanan, Wu Fan, et al. Allocation of Multi-Objective Cross-Layer Wireless Sensor Network Resource Based on Chaotic Parallel Genetic Algorithm[J]. Acta Phys Sin, 2011, 60(9): 148–157 [Article] (in Chinese) [Google Scholar]
- Boukerche A, Samarah S. A Novel Algorithm for Mining Association Rules in Wireless Ad Hoc Sensor Networks[J]. IEEE Trans on Parallel & Distributed Systems, 2008, 19(7): 865–877 [Article] [CrossRef] [Google Scholar]
- Luan Peng, Zhu Jiang, Gao Kai. A Position-Based Slot Assignment Protocol for LEO Satellites Network[J]. Telecommunication Engineering, 2016, 56(9): 990–994 [Article] (in Chinese) [Google Scholar]
- Cheng Nan, Liu Zhimin, Wang Jixin. TDMA-Based Distributed Dynamic Slot Algorithm for Adhoc Networks[J]. Application Research of Computers, 2005, 22(1): 222–225 [Article] (in Chinese) [NASA ADS] [Google Scholar]
- Yan Shaochen, Ma Zhengxin, Shi Rong. A Position Based MAC Protocol for Large Scale Mobile Adhoc Networks[J]. 2010, 34(suppl 2): 60–62+72(in Chinese) [Google Scholar]
- Wu Guangyu, Yao Kailing. A General Interference Model and Distributed ABS Slot Access Method[P]. China, CN106792807A, 2017(in Chinese) [Google Scholar]
All Tables
All Figures
![]() |
图 1 定向航空中继网络DARN示意图 |
| In the text | |
![]() |
图 2 DATA-ACK模式数据传输示意图 |
| In the text | |
![]() |
图 3 源节点S的通信区域分环示意图 |
| In the text | |
![]() |
图 4 不同分环个数下平均距离与理论最小平均距离 |
| In the text | |
![]() |
图 5 不同数据传输时间C下LDD-TDMA协议增益 |
| In the text | |
![]() |
图 6 不同节点最大传输距离R对平均链路距离的影响 |
| In the text | |
Current usage metrics show cumulative count of Article Views (full-text article views including HTML views, PDF and ePub downloads, according to the available data) and Abstracts Views on Vision4Press platform.
Data correspond to usage on the plateform after 2015. The current usage metrics is available 48-96 hours after online publication and is updated daily on week days.
Initial download of the metrics may take a while.






