| Issue |
JNWPU
Volume 38, Number 3, June 2020
|
|
|---|---|---|
| Page(s) | 478 - 484 | |
| DOI | https://doi.org/10.1051/jnwpu/20203830478 | |
| Published online | 06 August 2020 | |
Influence of Flow Field's Radial Dimension on Ventilated Supercavitating Flow
通气超空化流域径向尺度影响
School of Marine Science and Technology, Northwestern Polytechnical University, Xi'an 710072, China
Received:
9
September
2019
Abstract
To investigate the influence of flow field's radial dimension on the flow of the portion gas-leakage supercavity, based on the two-fluid multiphase flow model and SST turbulence model, considering the compressibility of ventilated gas, a 3D simulation model of ventilated supercavity was established to simulate the flow of the supercavitation, which was consistent with water tunnel experiment. The effect of flow field's radial dimension on ventilated supercavity's dimension and pressure distribution was studied. The results show that flow field's radial dimension has a significant effect on the ventilated supercavity's dimension and pressure distribution. When flow field's radial dimension ratio is 6.5 times lower than the maximum diameter of supercavity, the supercavity cannot be formed to completely enclose the underwater vehicle. With the increase of flow field's radial dimension, the pressure inside and outside the supercavity decreases, and there is a pronounced increase in supercavity dimension. When flow field's radial dimension ratio is 54.0 times greater than the maximum diameter of supercavity, the dimension and pressure distribution of ventilated supercavity remain unchanged, which coincides with the theoretical results. In addition, the calculation results provide a criterion for simulating the shape of ventilated supercavity in the open environment, which can be used to guide engineering practice.
摘要
为研究流域尺度对阵泄气通气超空化的影响,基于分相流模型和SST湍流模型,考虑通气可压缩性,建立了通气超空泡流动的三维数值模型,通过水洞实验对数值方法进行了验证,研究了流域径向尺度对通气超空泡尺度和压力分布特性的影响。计算结果表明:流域径向尺度对通气超空泡流型及压力分布影响显著。流域径向尺度比小于6.5时,无法形成完全包裹航行器的超空泡,随着流域径向尺度增加,超空泡尺寸增大,空泡内压力和外流场压力均减小;当径向尺度比大于54.0时,空泡尺寸和内部压力达到稳定收敛,计算结果与经验公式吻合,研究结果为模拟阵泄气通气超空泡自由流场空泡形态提供了流域径向尺度的选择标准,可用于指导工程实践。
Key words: ventilated supercavity / flow field / supercavity's dimension / pressure distribution / multiphase flow / SST turbulence model / underwater vehicle
关键字 : 通气空化泡 / 流场 / 空泡尺寸 / 压力分布 / 多相流 / SST湍流模型 / 水下航行器
© 2019 Journal of Northwestern Polytechnical University. All rights reserved.
This is an Open Access article distributed under the terms of the Creative Commons Attribution License (http://creativecommons.org/licenses/by/4.0), which permits unrestricted use, distribution, and reproduction in any medium, provided the original work is properly cited.
超空泡流型与航行器的位置耦合关系决定了航行器所受流体动力,空泡流型的确定对超空泡航行器的设计与控制至关重要[1-2]。水洞实验和数值计算是超空泡流型与航行器位置关系确定的重要方法[3-4],但其有限的计算域严重影响空泡外形,因此需要研究反映开放环境空泡流型的流域尺度选择标准,为水洞实验相似比模型设计、数值仿真流域的确定提供理论基础。
文献[5]指出通气超空泡存在2种泄气方式,一种是双涡管泄气,另一种是阵泄气。近年来,国内外学者在水洞实验中开展了阻塞效应对涡管泄气超空泡流动特性研究,获得了阻塞效应对双涡管泄气超空泡形态及流动特性的影响[6-8]。随着计算机技术的迅速发展,数值仿真在揭示通气超空化流动机理和模拟超空泡形态具有较高的计算精度,并且具有容易实现实验中难以实施复杂工况的优势[9-10]。文献[11-13]分别利用数值仿真方法研究了阻塞效应对涡管泄气超空化的影响,文献[14]研究了流域径向尺度对高速自然超空泡流型的影响,但没有开展流域尺度对通气空化的相关研究。
流域径向尺度对阵泄气超空泡形态影响及如何选择流域径向尺度的研究较少,相关研究未充分考虑流域尺度对超空泡形态的影响[15-16]。研究学者在阵泄气超空泡研究中,通常采用涡管泄气超空泡流域尺度,文献[17]发现在水洞实验选择不同尺寸模型时,将获得不同泄气类型空泡。因而,选用涡管泄气流域尺度可能改变阵泄气空泡泄气方式,不适合其空化问题的研究。综上所述,目前的研究集中在涡管泄气超空泡,关于高速阵泄气超空泡流域径向尺度的选择,研究学者还没有达成共识,形成一个公认的选择标准。本文基于分相流模型和SST湍流模型,充分考虑了由于流域尺度不同引起的流场压力变化对超空泡流型的影响,系统地研究了流域径向尺度对阵泄气超空化流场的影响,分析了流域径向尺度影响空泡形态的原因,并给出了阵泄气超空泡实验或数值模拟时流域径向尺度的选择标准。
1 基本方程
1.1 控制方程
文献[18]分析了匀置平衡流模型和分相流模型分别对通气超空化的影响,指出分相流模型在计算通气超空化上具有较高的计算精度。
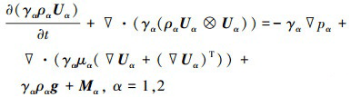
通气介质为常温空气,忽略两相间换热,因此能量方程可以忽略,控制方程只涉及连续方程、动量方程和体积分数方程。
连续性方程为
(1)
动量方程为
(2)
式中:γαραg是重力产生的动量源项;Mα为其他相作用在α相的相间作用力。
体积分数方程为
(3)
1.2 湍流模型
基于baseline(BSL) k-ω模型的SST湍流模型考虑了湍流剪切应力的传输, 可以精确地预测流动开始和逆压梯度条件下的流体分离。文献[19]对比分析了不同湍流模型对超空泡流型的影响, 结果表明SST湍流模型在通气超空泡定量计算上具有较高的计算精度, 因此本文采用SST湍流模型研究径向尺度比对通气超空化的影响规律, 基本方程为
(4)
(5)
(6)
(7)
式中:k为湍动能; ω为湍动频率; μt为动黏度; pk为湍流产生项;U为速度矢量。
公式(5)中的正交发散项Dω, 其方程为
(8)
式中
(9)
(10)
(11)
2 计算模型及径向尺度比
2.1 计算模型
2.1.1 物理模型
为了在水洞实验中验证数值方法的准确性, 本文采用两套计算模型, 一套为水洞实验验证的细直杆模型; 一套为用于研究流域径向尺度对通气超空化影响的数值计算模型。为了减小模型对通气超空泡流型的影响, 水洞实验采用细直杆模型, 空化器直径为12 mm, 细直杆最大直径为10 mm, 模型如图 1a)所示。数值计算模型布局参考文献[1], 航行器由圆盘空化器、通气装置、锥段弹身、柱段弹身、尾喷管组成, 如图 1b)所示。
![]() |
图1 几何模型 |
2.1.2 边界条件
计算域左侧边界采用速度入口, 流速80 m/s; 计算域右侧边界采用压力出口, 绝对压力200 kPa, 通气孔采用质量流量入口边界条件, 通气量为28 g/s, 通气为可压缩常温空气; 计算域周围采用无滑移壁面边界条件。具体细节如图 2所示。
![]() |
图2 边界条件 |
2.1.3 网格拓扑
高速通气超空泡以阵泄气模式泄气, 超空泡内伴随着强烈地回注射流, 即在闭合区相互掺混的气液两相被卷向空化器方向, 并以环形涡的形态在空泡内移动, 气体与液体两相间存在剧烈的两相作用[5]。为了更好地捕捉回注射流现象和清晰地气液两相交界面, 因此需要在空泡区进行网格加密。计算模型全网格采用六面体结构化网格划分, 60%以上的网格总量集中在通气空化区, 针对不同流域径向尺度比计算模型, 保持通气空化区的网格分布规律不变, 空化区域外, 随着流域径向直径的增大, 网格分布保持一致, 如图 3所示。
![]() |
图3 计算模型网格分布情况 |
2.2 流域径向尺度比
为了研究流域径向尺度对通气超空泡流型和流场压力的影响, 本文需排除其他可能因素对空泡流型的影响。采用上述航行器计算模型, 保持来流速度、出口压力和通气质量流量不变, 唯一变量为流域的径向直径大小。为了评估流域径向直径大小对通气超空化流动的影响, 本文定义了参数流域径向尺度比如下
(12)
式中:D1表示流域径向最大直径;D2表示通气超空泡理论空泡最大截面直径。
3 数值仿真与结果
3.1 模型验证
为了评估仿真结果的置信度, 在西北工业大学水洞中开展用于数值计算方法验证的水洞实验, 为了减小航行体对空泡流型的影响, 实验中采用细直杆模型。数值仿真采用与实验相同工况条件进行了细直杆模型验证。结果如图 4所示, 在2种不同通气率工况下, 数值仿真得到的超空泡最大直径与实验结果误差最大不超过5%, 超空泡长度与实验误差最大不超过8%。数值仿真得到的超空泡双涡管泄气方式与实验现象一致。此处通气率定义如下
(13)
式中:Q为超空泡气体体积流量;V为来流速度;Dn为空化器直径。
本文所采用的数值计算方法可以有效地揭示通气超空化流动机理, 空泡尺度与尾部泄气方式与实验结果符合度较高, 这说明本文的计算方法有较高计算精度, 可用于径向尺度比对通气超空化影响的研究。
![]() |
图4 数值计算与实验结果比对 |
3.2 计算结果
针对不同计算模型, 给定通气质量流量、来流速度和出口环境压力, 采用与数值模型验证时相同的计算方法和算法设置, 开展流域径向尺度比对阵泄气通气超空化影响的数值仿真。数据统计时, 以气相体积分数0.5的等值面作为空泡外形轮廓。
图 5为不同流域径向尺度比通气超空泡流型轮廓, 图 5a)至5g)分别代表流域径向尺度比为6.5, 10.8, 21.6, 32.4, 43.2, 54.0, 64.8时超空泡轮廓图。从图中可知, 通气超空泡外形近似为回转椭球面, 流域径向尺度比不影响空泡回转椭球面外形及空泡的自由闭合模式, 只影响空泡的大小。流域径向尺度比对通气超空泡尺度影响较大, 流域径向尺度比减小, 空泡尺度变小。当流域尺度过小时, 如图 5a)工况, 空泡闭合于航行器锥段, 未能越过航行器肩点, 因此不能形成完全包裹航行器的超空泡。文献[3]指出在水洞实验时, 由于水洞阻塞作用, 相似比模型不能形成预期的空泡, 只有增大空化器尺寸才能形成预期空泡。本文的研究结果与文献中提到的现象一致。
为了定量地阐述流域径向尺度比对通气超空泡流型的影响, 以空泡外形轮廓与对称面的交线作为空泡的轮廓线, 并以空化器直径进行无量纲处理, 计算结果如图 6所示。
图 6空泡轮廓线对比结果显示, 流域径向尺度比对通气超空泡流型影响显著, 流域较小时, 超空泡最大直径显著缩小, 空泡长度亦显著减小; 流域越小对空泡影响越加显著, 在流域径向尺度比为6.5时, 通气空泡闭合于航行器锥段, 不能形成完全包裹航行器超空泡; 流域径向尺度比10.8工况与流域径向尺度比54.0工况相比, 超空泡长度减小约为15.5%, 超空泡最大直径减小约为12.3%。当流域径向尺度比大于54.0时, 空泡外形不再继续减小, 超空泡流型趋于稳定收敛, 此时流域径向尺度比对超空泡流型的影响可以忽略不计, 因此在通气超空泡数值仿真时, 为了得到与自由流场实验超空泡尺度一致的计算结果, 所选择的流域径向尺度比至少为54.0以上。
为了分析流域径向尺度比对流场压力分布的影响规律, 将通气超空泡流场外沿着空泡发展方向, 径向距离x轴0.4 m处作为监测位置, 并将此监测位置的不同流域径向尺度比压力分布绘制在同一图表中, 如图 7所示。
流场压力沿着x轴方向大致可以分为3个区域(A, B, C)。区域A和区域C压力随着x轴方向近似按照线性规律逐渐减小, 区域B压力随着x轴方向先减小后增大。这是因为出口边界给定压力不变, 但由于流域存在沿程压力损失, 导致入口处压力增大。在通气空化区域内, 由于空泡直径先逐渐增大后减小, 导致流道先变小后增大, 根据倍努利方程可知此区域压力先减小后增大。此区域压力不再满足线性规律, 而是按照曲线规律变化。区域B中压力最低点正好对应于各径向尺度比工况通气超空泡最大直径处的轴向位置, 同时也间接佐证了上述分析的准确性。随着流域径向尺度比增大, 监测位置处压力整体减小, 当径向尺度比增大到64.8时, 压力几乎不再进一步减小。当流域径向尺度比减小时, 流场沿程压力损失增大, 因此流场压力随着流域径向尺度比的减小而增大。
图 8为不同流域径向尺度比超空泡内部压力分布图。空泡内压力沿x轴方向逐渐增大。随着流域径向尺度比增大, 空泡内压力减小, 当径向尺度比增大到64.8时, 空泡内压力几乎不再减小。这是因为外流场压力随流域径向尺度比减小而增大, 从而导致空泡内压力增大。通气空泡内压力增大, 导致通入的非凝结气体密度增大, 因此在质量流量保持恒定的情况下, 当流域径向尺度比减小时, 超空泡内的体积流量减小, 因此通气超空泡尺度变小。
Logvinovich[20]建立了尾自由闭合超空泡流型阵泄气率的半经验公式
(14)
式中:γ为经验系数, 约为0.01~0.02;Cx为空化器阻力系数; σv为自然空化数; σc为通气空化数。
泄气率经验公式中的经验系数γ采用0.015, 根据Logvinovich泄气率半经验公式可求得文中仿真工况的自由流场超空泡通气空化数σc为0.022。将不同流域径向尺度下求得的通气空化数与理论值对比, 结果如图 9所示。
图 9结果表明, 流域径向尺度比大于54.0时, 仿真计算的空化数与经验公式计算结果符合度较高, 同时也进一步验证了数值方法的精度和合理性。因此, 流域径向尺度比大于54.0时, 流域边界对通气超空化的影响可忽略, 计算结果与经验公式结果相吻合, 可用于模拟自由流场的通气超空泡形态并指导工程实践。
![]() |
图5 不同径向尺度比空泡流型 |
![]() |
图6 不同径向尺度比空泡轮廓曲线 |
![]() |
图7 不同径向尺度比流场压力分布图 |
![]() |
图8 不同径向尺度比空泡内压力分布 |
![]() |
图9 数值模拟与半经验公式对比结果 |
4 结论
本文基于分相流模型, 考虑通气压缩性, 建立了通气超空化的三维数值模型, 通过西北工业大学水洞实验复核, 对所采用数值方法的可靠性与计算精度进行了充分论证。研究了流域径向尺度比对超空泡尺寸和流场压力分布的影响, 分析了流域径向尺度比对超空化影响机理。本文研究结论如下1)流域径向尺度比对超空泡尺寸影响显著, 相比于径向尺度比Δ=54.0工况, Δ=10.8时超空泡长度和最大直径分别减小15.5%和12.3%, 径向尺度比继续减小, 不能生成完全包裹航行器的超空泡;
2) 在阵泄气超空化研究中, 选择涡管泄气超空泡的流域径向尺度是远远不够的, 径向尺度比Δ大于54.0时, 阵泄气超空泡流型模拟结果与Logvinovich泄气率半经验公式结果相吻合;
3) 通气超空泡外部流场压力沿x轴方向整体呈现下降趋势, 但在对应通气空化的外部区域, 压力先减小后增大, 压力最低点对应超空泡最大直径位置;
4) 超空泡内部压力沿x轴方向增大, 并且压力随流域径向尺度比增大而减小; 径向尺度比对空泡内压力的影响是引起超空泡形态改变的主要原因。
References
- Li D J, Luo K, Huang C, et al. Dynamics Model and Control of High-Speed Supercavitating Vehicles Incorporated with Time-Delay[J]. International Journal of Nonlinear Sciences and Numerical Simulation, 2014, 15(3/4): 221-230 [Article] [Google Scholar]
- Zhang Yuwen, Yuan Xulong, Deng Fei. Fluid Dynamics of Supercavitating Underwater Vechicles[M]. Beijing: National Defense Industry Press, 2014 [Google Scholar]
- Yuan X L, Xing T. Hydrodynamic Characteristics of a Supercavitating Vehicle's Aft Body[J]. Ocean Engineering, 2016, 114:37-46 [Article] [CrossRef] [Google Scholar]
- Zhang Yuwen, Wang Yucai, Dang Jianjun, et al. Experimental Investigation on Cavity Flow Pattern of Slender Bodies[J]. Journal of Hydrodynamics, Ser A, 2004, 19(3): 394-400 (in Chinese) [Google Scholar]
- Karn A, Arant R E A, Hong J, et al. An Experimental Investigation into Supercavity Closure Mechanisms[J]. Journal of Fluid Mechanics, 2016, 789: 259-284 [Article] [CrossRef] [Google Scholar]
- Shao S Y, Karn A, Ahn B K, et al. A Comparative Study of Natural and Ventilated Supercavitation Across Two Closed Wall Water Tunnel Facilities[J]. Experimental Thermal and Fluid Science, 2017, 88: 519-529 [Article] [CrossRef] [Google Scholar]
- Kawakami E, Arndt R E A. Investigation of the Behavior of Ventilated Supercavities[J]. Journal of the Fluids Engineering-Transactions of the ASME, 2011, 133(9): 091305 [Article] [CrossRef] [Google Scholar]
- Lee S J, Paik B G, Kim K Y, et al. On Axial Deformation of Ventilated Supercavities in Closed Wall Tunnel Experiment[J]. Experiment Thermal and Fluid Science, 2018, 96(4): 321-328 [CrossRef] [Google Scholar]
- Kinzel M P, Krane M H, Kirschner I N, et al. A Numerical Assessment of the Interaction of a Supercavitating Flow with a Gas Jet[J]. Ocean Engineering, 2017, 136:304-313 [Article] [CrossRef] [Google Scholar]
- Kinzel, M P, Lindau, J W, Kunz, R F. Air Entrainment Mechanisms from Artificial Supercavities: Insight Based on Numerical Simulations[C]//Proceedings of the 7th International Symposium on Cavitation, Ann Arbor, MI, USA, 2009: 136 [Google Scholar]
- Zhou J J, Yu K P, Min J, et al. The Comparative Study of Ventilated Supercavity Shape in Water Tunnel and Infinite Flow Field[J]. Journal of Hydrodynamics, Ser B, 2010, 22(5): 689-696 [Article] [CrossRef] [Google Scholar]
- Chen X, Lu C J, Li J, et al. The Wall Effect on Ventilated Cavitating Flowing in Closed Cavitation Tunnel[J]. Journal of Hydrodynamics, 2008, 20(5): 561-566 [Article] [CrossRef] [Google Scholar]
- Lei CAO, Karn A, Arndt R E A, et al. Numerical Investigations of Pressure Distribution inside a Ventilated Supercavity[J]. Journal of Fluids Engineering, 2017, 139(2): 021301 [CrossRef] [Google Scholar]
- Huang Chuang, Luo Kai, Dang Jianjun, et al. Influence of Flow Field's Radial Dimension on Natural Supercavity[J]. Journal of Northwestern Polytechnical, 2015, 33(6): 936-941 [Article] [Article] (in Chinese) [Google Scholar]
- Sun Shiming, Yan Kai, Chen Weizhen. Numerical Simulation of Ventilation Law for Supercavitating Vehicle[J]. Torpedo Technology, 2014, 22(2): 81-86 [Article] (in Chinese) [Google Scholar]
- Hu Yong. The Interaction between Ventilated Supercavitating Flow and Exhausted Gas of an Underwater Vehicle[D]. Shanghai: Shanghai Jiaotong University, 2008(in Chinese) [Google Scholar]
- Skidmore G. The Pulsation of Ventilated Supercavities[D]. Pennsyvania, United States: Pennsyvania State University, 2012 [Google Scholar]
- Zhou J J, Yu K P, Yang M, et al. On the Gas Leakage Way of Supercavity and Vehicle[J]. Journal of Hydrodynamic, Ser B, 2010, 22(5): 86-871 [Google Scholar]
- Zhou Jingjun, Yu Kaiping, Yang Ming, et al. Numerical Simulation of Gas Leakage Mechanism of Ventilated Supercavity under the Condition of Low Froude Number[J]. Engineering Mechanics, 2011, 28(1): 251-256 [Article] (in Chinese) [Google Scholar]
- Logvinovich G V. Hydrodynamics of Flows with Free Boundaries[M]. Kiev: Naukova Dumka Publishing, 1969 [Google Scholar]
All Figures
![]() |
图1 几何模型 |
| In the text | |
![]() |
图2 边界条件 |
| In the text | |
![]() |
图3 计算模型网格分布情况 |
| In the text | |
![]() |
图4 数值计算与实验结果比对 |
| In the text | |
![]() |
图5 不同径向尺度比空泡流型 |
| In the text | |
![]() |
图6 不同径向尺度比空泡轮廓曲线 |
| In the text | |
![]() |
图7 不同径向尺度比流场压力分布图 |
| In the text | |
![]() |
图8 不同径向尺度比空泡内压力分布 |
| In the text | |
![]() |
图9 数值模拟与半经验公式对比结果 |
| In the text | |
Current usage metrics show cumulative count of Article Views (full-text article views including HTML views, PDF and ePub downloads, according to the available data) and Abstracts Views on Vision4Press platform.
Data correspond to usage on the plateform after 2015. The current usage metrics is available 48-96 hours after online publication and is updated daily on week days.
Initial download of the metrics may take a while.









