| Issue |
JNWPU
Volume 38, Number 6, December 2020
|
|
|---|---|---|
| Page(s) | 1171 - 1178 | |
| DOI | https://doi.org/10.1051/jnwpu/20203861171 | |
| Published online | 02 February 2021 | |
A Tolerant Detection Method for Estimating Robust Signal Subspace with Horizontal Arrays in Uncertain Shallow Ocean Environment
不确定浅海环境中基于水平阵稳健子空间估计的宽容检测方法
1
School of Marine Science and Technology, Northwestern Polytechnical University, Xi'an 710072, China
2
Science and Technology on Electronic Control Laboratory, Chengdu 610036, China
Received:
16
March
2020
Abstract
The environmental parameters are usually uncertain in complex shallow ocean environment and restrict the performance of the matching model-like method. Therefore, we need a more tolerant detection method for detecting underwater targets in the uncertain shallow ocean environment. The previous mode-subspace detection method has the characteristics of both high performance and robustness. However, the robust mode-subspace detector is suitable for vertical arrays and its performance is limited by shallow ocean environment. Therefore, we propose the tolerant detection method for estimating the robust signal subspace with horizontal arrays. We estimate the robust signal subspace by bringing uncertain parameters into the observation matrix of a horizontal array. Combined with the robust signal subspace estimation, we propose a subspace detector that tolerates uncertain parameters. The results on simulation in a uncertain shallow ocean environment show that the detector we proposed has a high average detection capability and a certain tolerance for uncertain parameters.
摘要
环境参数在复杂浅海环境中通常是不确定的,从而制约了匹配模型类高性能方法的检测性能。对于水下目标检测问题,需要更宽容的检测方法。在以往的研究中,稳健模态子空间检测方法具有兼顾高性能和稳健性的特点,但该检测器适用于垂直阵,性能受浅海深度的限制,因此考虑适用于水平阵的宽容检测方法。子空间检测方法是一类具有一定稳健性的检测方法,其性能取决于信号子空间的估计。通过不确定波数重采样的方式将不确定环境和未知目标位置参数引入水平阵信息观测矩阵,得到了不确定环境中信号子空间的稳健估计方法。结合信号子空间的稳健估计提出了一种对不确定参数具有宽容性的子空间检测器,通过浅海不确定环境中的仿真检验,证明该检测器具有较高的平均检测能力同时对不确定参数有一定的宽容性。
Key words: tolerant detection / uncertain environment / horizontal array / signal subspace
关键字 : 检测 / 不确定环境 / 水平阵 / 子空间
© 2020 Journal of Northwestern Polytechnical University. All rights reserved.
This is an Open Access article distributed under the terms of the Creative Commons Attribution License (http://creativecommons.org/licenses/by/4.0), which permits unrestricted use, distribution, and reproduction in any medium, provided the original work is properly cited.
当海洋环境和目标位置参数精确已知时,可以利用水下声传输函数构建最优检测器。但受限于复杂多变的海洋环境和当前的测量手段,往往不能获得正确的参数信息,这就导致传输函数失配[1-3],进而影响检测器检测性能[4]。
针对不确定环境中的检测问题,常见的宽容检测器有贝叶斯检测器和广义似然比检测器[5]。贝叶斯检测器通过积分的形式将参数不确定性引入检测器,Sha等证明了在不同的参数条件下,贝叶斯检测器具有最优的平均检测性能[6]。但在实现中,贝叶斯检测器性能对参数的采样存在依赖,在部分未采样到的参数条件下检测能力明显低于平均检测能力[7],这就导致检测性能不够稳健。广义似然比检测器性能接近贝叶斯检测器[8],同样具有很好的平均检测性能,在部分未采样到的参数条件下不够稳健。能量检测器没有利用先验信息,不受参数变化的影响,具有最稳健的检测性能[9],但能量检测器只利用了信号的能量信息,对较弱信号的检测能力较差。近年来,Li等结合简正波传播模型和垂直阵信息观测模型,提出了一种稳健模态子空间检测器[7]。该检测器将不同参数条件下的最大模态子空间作为信号子空间的稳健估计,对投影到该子空间的信号进行能量检测,在保证检测稳健性的前提下仍有较高的检测能力。但因为模态子空间由模态函数矩阵张成,这意味着只有垂直阵接收信号能落入该子空间中,所以稳健模态子空间检测器只能用于垂直阵。但垂直阵在浅海中孔径受到海深限制、应用场景不够灵活,故垂直阵对于浅海不确定环境中的宽容检测问题有一定局限。
水平阵不存在孔径受限的问题,通常能带来更大的阵列增益,是一种应用场景广泛的常用阵形[10-12],但近些年水平阵的检测相关研究较少,更多的研究集中于测向、定位等领域,因此研究适用于水平阵的宽容检测方法是很有必要的。在检测方法的研究中,首要的问题是建立适当的接收与观测模型。Bogart等在研究中给出了波导环境中的水平阵接收信号的远场近似模型[11],在此基础上,Conan等给出了目标在端射方向时水平阵的远场观测矩阵形式[13],结合两者的研究,可以得到水平阵一般远场接收与观测模型。接着,在一般接收与观测模型的基础上,研究不确定参数条件下的宽容检测方法。前人的研究指出,利用观测矩阵构建信号子空间[14],通过将信号向恰当子空间投影的方式可以在提高检测能力的同时保证一定的稳健性[7]。因此,考虑利用这一思路,通过水平阵观测矩阵估计信号子空间,在此基础上得到宽容的检测方法。但是,在实际中,受风浪、涡流、测量技术等影响,环境参数和目标位置往往是未知的,而水平阵远场观测矩阵在不同条件下可能是不同的,对应子空间也存在差异。针对这一问题,将环境参数和目标位置参数不确定性引入观测矩阵,通过不确定波数采样和奇异值分解的方法,构建了一个能包含各参数条件对应信号的稳健信号子空间,其估计误差可以由相对投影误差度量。在信号子空间稳健估计的基础上提出一种水平阵稳健子空间检测器(horizontal array robust subspace detector, HRSD),HRSD通过对投影到稳健信号子空间的信号进行能量检测,在具有较高的检测能力的同时对不确定参数具有宽容性。
1 海洋波导中简谐声源的水平阵信息观测
在水平不变浅海环境中,建立如图 1所示三维坐标系,其中xOy平面表示海平面, z轴表示深度。一个阵元间距为d的N元均匀水平线列阵(horizontal line array, HLA)平行x轴放置于深度zs处, 各阵元坐标分别为(0, 0, za), …, ((N-1)d, 0, za)。一远场声源S深度为zs, 与O点水平距离为rs, 与y轴夹角为θ。
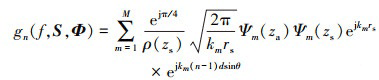
根据简正波理论[15], 在水平不变浅海环境中, 辐射声源与远场某一阵元之间的信道传输函数可以近似写作一系列简正波之和的形式
(1)
式中: f表示频率;S={rs, zs, θ}; Φ表示环境参数集, 包含水深、声速剖面、地声参数等; ρ(zs)表示声源深度上的介质密度; M表示传播模态的阶数; Ψm(·)、km分别表示第m阶模态特征函数(简称模态)、对应的水平波数, 他们均由海洋环境和声源频率共同决定。由于本文主要关注的是参数的不确定性对检测的影响, 假设频率已知, 因此, 为书写简便, 后文将去掉传递函数对于频率f的依赖。
在一定时间范围内, 水下声信道可以看作是一个线性时不变系统, 结合(1)式所示传输函数以及阵元之间的几何关系, HLA的接收信号可以在频域表示为如下形式
(2)
式中: r表示N×1维的接收信号频域快拍; E为观测矩阵
(3)
可以看出, 水平阵观测矩阵E由M个平面波方向向量构成,
为观测向量, 表示M个观测分量的幅值
(4)
式中:s表示辐射声信号的复幅度;n为N×1维的背景噪声向量, 为研究假设, 通常假设其为功率2σ2已知的空间复高斯白噪声, n~CN(0, 2σ2IN), IN为N维单位阵。
由(2)式所示观测模型可知, 接收到的目标辐射声信号均可以由观测矩阵中各方向向量线性表示, 这意味着接收到的目标信号会落入观测矩阵E张成的子空间中。
![]() |
图1 声源、阵列参数示意图 |
2 不确定环境中水平阵宽容子空间检测方法
2.1 不确定环境中信号子空间的稳健估计
结合简正波理论和(1)式易知, 当环境参数和目标位置参数未知时, 各阶水平波数、模态函数、声源深度、距离、水平方位角均不确定。由(3)至(4)式可知, 观测向量a受各阶模态函数
和声源深度zs、距离rs的不确定性影响, 观测矩阵E受各阶水平波数
和水平方位角θ的不确定性影响。
定义中间参量
(5)
将(5)式带入(3)式, 将观测矩阵改写为
(6)
结合(5)式和(6)式可以看出,
为一组不确定的参量, 在观测矩阵中表征由环境参数和目标位置参数带来的各方向向量的波数不确定性, 称参量
为不确定波数。显然, 不同组
对应观测矩阵E不同, 这意味着不同参数条件下, 接收到的声源辐射信号会落入不同的子空间中。
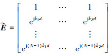
观察(6)式, 若已知不确定波数
的所有可能值
, 利用
构造形如观测矩阵E的N×Z的矩阵
(7)
此时, 任意参数条件下, E的所有列向量均可由
的列向量线性表示, 这表明任意不确定参数对应的观测矩阵E张成的子空间均为
张成子空间的子空间。那么, 任意不确定参数对应的接收声源辐射信号均会落入
张成的子空间中。
为了需要确定
, 对不确定波数
的不确定范围进行研究。注意到1号简正波对应的水平波数k1大于其余所有的水平波数, 以及正弦函数sinθ的取值范围为[-1, 1], 相应的,
的取值范围为
(8)
进一步, 由于所有简正波对应的水平波数均小于当前环境最小声速cmin对应的波数k0=2πf/cmin[15], 即
(9)
结合(8)式和(9)式, 可以得到
(10)
由(10)式可知,
不确定范围为(-k0, k0), 当在该范围内无限精度采样时可以获
的所有可能值
。但无限度精度采样显然是不现实的, 当阵列孔径有限时, 过密的不确定波数采样会导致矩阵
中各方向向量之间相关性较大, 使得
中存在大量的冗余信息, 这表明可以用恰当的采样密度代替理想中无限精度的采样。为了研究恰当的采样密度和剔除
中的冗余信息以提高子空间方法的性能, 对
进行奇异值分解
(11)
式中: Λs、Us、Vs分别表示前K个较大奇异值对应的奇异值对角阵、左奇异向量矩阵和右奇异向量矩阵,
为中主要信息成分; Λn, Un, Vn表示近0奇异值对应的奇异值对角阵、左奇异向量矩阵和右奇异向量矩阵, 代表冗余信息成分。当不确定波数采样密度增加, 只增加冗余信息成分而主要信息成分近乎不变时, 可以认为此时采样密度已经充足, 将冗余信息成分舍弃。为了保证近似的稳健性, 可以让前K个奇异值和占比尽可能的高。此时,
可以由保留的主要信息成分近似表示为
(12)
即
中各方向向量可近似由Us中列向量线性表示, 那么Us张成的子空间即为得到的信号子空间的稳健估计, 其维数为K。
在以往研究中, 通常是通过奇异值的大小来判断信号子空间的估计误差, 但具有很强的经验性且物理概念并不清晰, 类比文献[8], 定义相对投影能量损失(relative signal-engergy loss, RSL)来确定信号子空间的估计误差。lREL表示接收信号向估计信号子空间正交投影时的能量损失, 比通过奇异值大小的方法具有更清晰的物理意义
(13)
式中:信号能量Es=‖Ea‖22; 投影能量Es, P= ‖P·Ea‖22; P为子空间W的正交投影矩阵
(14)
Ea表示某一个环境参数条件下水平阵接收到的声源辐射信号。对于某一个已知参数不确定范围的不确定海洋环境, 如图 2所示, 当遍历所有可能的海洋环境和声源位置组合, 对应Ea向子空间W投影的REL均不超过某一极小值δ时, 表明Us张成的子空间作为信号子空间的估计具有稳健性。在实际应用中, 当δ < 0.01时, 即任意参数下阵列接收声源辐射信号的REL均小于1%, 此时可以认为估计的子空间W在所研究环境中信号子空间的稳健估计。
![]() |
图2 不确定浅海环境标准失配测试模型 |
2.2 稳健子空间检测器
根据(2)式所示水平阵观测模型, 可以将水平阵信号检测问题建立为如下二元假设检验问题
(15)
式中: H0为0假设, 表示只有噪声存在; H1为备选假设, 表示有信号存在, 给定接收信号r, 判断他属于H0假设还是H1假设。
对于(15)式所示检验问题的广义似然比检测器的检验统计量为
(16)
式中, E(EHE)-1EH是E张成的信号子空间的正交投影矩阵。根据之前的分析, 不确定环境中, Us张成的子空间为信号子空间的稳健估计, 因此, 结合(16)式和(18)式, Us张成的子空间的正交投影矩阵P代替E(EHE)-1EH, 得到HRSD的检验统计量为
(17)
THRSD(r)的统计分布为
(18)
式中, 非中心化参量β为
(19)
由(18)式可知, HRSD是一个卡方类型检测器。根据卡方随机变量的统计特性可知, HRSD的检测概率随非中心化参量β增大而增大, 随自由度2K增大而减小, 其中非中心化参量与投影到信号子空间上的信号能量成正比, 自由度为信号子空间维数K的2倍。
结合(13)式, 将(19)式改写为
(20)
那么, HRSD的稳健性可以由REL度量, 当各参数条件下均有REL≤1时, 可将(20)式近似表示为
(21)
如(21)式所示, 此时非中心化参量β只与接收信号能量和噪声功率有关, 与环境参数和目标声源位置参数无关, 这表明HRSD在信号子空间估计准确时具有很高的稳健性。
3 仿真分析
本节通过在标准不确定浅海波导中进行仿真实验, 对HRSD的有效性进行验证。首先通过等不确定波数采样估计信号子空间, 仿真信号子空间REL验证信号子空间稳健性, 而后, 通过ROC曲线和Pd-RSN曲线仿真给出HRSD检测性能, 并将HRSD的性能与GLRD、ED进行对比, 来说明HRSD的性能优势。
仿真中使用的标准不确定波导如图 2所示。他是由1993年美国NRL提出的1个标准失配模型[16], 各参数的意义及取值范围在表 1中给出。
除环境参数, 由于目标位置也是未知的, 仿真中, 目标距离rs=6±4 km, 深度zs=50±50 m, 水平方位角θ=0±π/2 rad, 环境和目标位置参数在各自取值范围内均匀分布。
因为本文研究的是低频浅海中的检测问题, 所以所有仿真过程中计算传输函数都使用KRAKEN软件, 仿真中假设接收阵均为固定布放在海底的100元水平线列阵, 阵列孔径为100 m, 声源频率为100 Hz。
失配测试模型中参数意义及取值范围
3.1 信号子空间估计及REL
当假设对环境参数分布未知时, 需要恰当地对声速最小值进行估计, Brekhovskikh指出, 海洋中声速的一般范围是1 450~1 540 m/s[17], 结合(10)式可以得到不确定波数
的范围为(-0.44, 0.44), 以0.02的采样间隔在该范围内均匀取值, 相应地, 可以得到44个波数和对应的重构观测矩阵
。对
奇异值分解, 仿真给出相应的归一化奇异值分布和前K阶奇异值之和占奇异值总和比例如图 3所示。结合图 3b), 保留前18阶奇异值对应的特征向量用以估计信号子空间, 仿真给出1 000个随机环境参数实现的REL如图 4所示, 其中每个环境参数实现中的REL是2 000个不同随机声源位置处的最大REL, 由图 4中可以看出, 1 000个随机环境参数实现中REL在10-5量级, 其中REL的最大值为9.01×10-5, 可忽略不计, 这表明当不确定波数采样间隔为0.02, 前18阶奇异值对应的特征向量张成的子空间为信号子空间的稳健估计。
上文给出了采样间隔为0.02时的结果, 可以验证, 进一步减小采样间隔将导出同样的结果, 相关讨论这里不再赘述。
![]() |
图3
|
![]() |
图4 在1 000个环境参数实现中信号子空间估计的REL |
3.2 HRSD性能仿真
选取不确定波数采样间隔为0.02, 固定阵列信噪比(RSN)为10 dB, 对环境和目标声源位置不确定参数集1 000次蒙特卡洛采样, 给出1 000个不同参数实现中HRSD的ROC曲线, 如图 5a)所示, 其中灰色曲线对应1 000个不同参数实现的ROC曲线, 蓝色曲线为平均ROC曲线。固定虚警概率Pf=0.1, 给出1 000个不同参数实现中HRSD的Pd-RSN曲线如图 5b)所示, 同样的灰色曲线对应1 000个不同参数实现, 蓝色曲线为平均曲线。由图 5可以看出, 1 000次不同参数实现中的ROC曲线和Pd-RSN曲线与各自的平均曲线非常接近。这一结果表明, 在同一阵列信噪比下, 不同环境参数和目标位置参数实现中, HRSD均具有较高的稳健性。将图 5与REL仿真结果对比, 不难看出, HRSD的稳健性来源于信号子空间的稳健估计, 与理论分析一致。此外, 由图 5b)可以看出, 当阵列信噪比小于0 dB时, 此时HRSD的检测概率Pd趋近虚警概率Pf, 各参数实现下的Pd-RSN曲线范围增大, HRSD稳健性下降, 这意味着此时HRSD对阵列信噪比有一定的要求, 阵列信噪比太低时检测器失效。
为了更进一步地阐述HRSD的检测性能, 需要将HRSD和其他宽容方法做横向对比, 因为在以往的研究中, MC-GLRD具有在不确定环境中接近最优的平均检测性能[8], ED具有最稳健的检测性能[9], 所以选取MC-GLRD和ED作为HRSD的对比方法。首先, 对三者的平均检测性能进行比较。仿真条件不变, 给出1 000个不同参数实现中HRSD、MC-GLRD、ED的平均ROC曲线和平均Pd-RSN曲线如图 6所示。在仿真中, MC-GLRD的不确定参数采样数为阵元数的2倍, 即2N=200。由图 6中可以看出, HRSD的平均检测能力远高于能量检测器, 从图 6b)可以看出, HRSD在不同信噪比条件下仅略低于MC-GLRD。这一结果表明了在一定条件下, HRSD具有较高的检测能力。
接着, 对比HRSD、MC-GLRD与ED的稳健性。固定虚警概率Pf=0.1, 给出1 000次参数实现下MC-GLRD、HRSD、ED的检测概率Pd变化如图 7所示, 可以看出在不同参数条件下HRSD具有和ED接近的稳健性, 稳健性好于MC-GLRD。联系3.1节REL仿真结果表明, 当信号子空间的估计稳健时, HRSD具有很高的稳健性, 即对环境参数和目标位置参数的不确定性具有很高的宽容度。
![]() |
图5 1 000次参数实现中HRSD |
![]() |
图6 MC-GLRD、HRSD、ED在1 000次参数实现下平均 |
![]() |
图7 MC-GLRD、HRSD、ED在1 000次参数实现下检测概率Pd变化 |
4 结论
本文在水平阵的基础上,结合子空间方法研究了一种基于稳健子空间的宽容检测器HRSD,该检测器利用了水平阵在不确定特性中的接收特性,对于不确定环境中的检测问题有一定的优势。在标准失配模型条件下,对HRSD进行仿真分析,在一定条件下,信号子空间估计的误差可忽略不计,此时信号子空间的估计具有稳健性。利用ROC曲线、曲线和不同参数实现中的变化曲线仿真比较了HRSD和MC-GLRD、ED的性能差异,HRSD具有略低于MC-GLRD和远高于ED的平均检测能力,同时,HRSD具有接近ED的稳健性,高于MC-GLRD。结合平均检测性能和稳健性,表明HRSD是一种对浅海不确定环境和未知目标位置参数具有一定宽容性的高性能检测器。
References
- Schmidt H, Baggeroer A B, Kuperman W A, et al. Environmentally Tolerant Beamforming for High-Resolution Matched Field Processing:Deterministic Mismatch[J]. The Journal of the Acoustical Society of America, 1990, 88(4): 1851-1862 [CrossRef] [Google Scholar]
- Delbalzo D R, Feuillade C, Rowe M M. Effects of Water-Depth Mismatch on Matched-Field Localization in Shallow Water[J]. The Journal of the Acoustical Society of America, 1988, 83(6): 2180-2185 [CrossRef] [Google Scholar]
- Zhao Hangfang, Li Jianlong, Gong Xianyi. Sensitivity of Minimum Variance Matched-Field Beamforming to an Environmental Parameter Mismatch in an Uncertain Ocean Channel[J]. Journal of Harbin Engineering University, 2011, 32(2): 200-208 (in Chinese) [Google Scholar]
- Liu Zongwei, Sun Chao, Du Jinyan. The Measure of Environmental Sensitivity in Detection Performance Degradation[J]. Acta Physica Sinica, 2013, 62(6): 64303 (in Chinese) [CrossRef] [Google Scholar]
- Kay S M. Fundamentals of Statistical Signal Processing[M]. Vpper Sgddle River New Jersey, Prentice Hall PTR, 1993 [Google Scholar]
- Sha L, Nolte L. Effects of Environmental Uncertainties on Sonar Detection Performance Prediction[J]. The Journal of the Acoustical Society of America, 2005, 117(1): 1942-1953 [CrossRef] [Google Scholar]
- Li M, Sun C, Willett P. Performance of Mode Space Detector in Uncertain Shallow Water and Its Robust Realization[J]. IEEE Journal of Oceanic Engineering, 2018, 43(1): 131-144 [CrossRef] [Google Scholar]
- Liu Zongwei, Sun Chao, Lyu Liangang. A Robust Signal Detection Method Based on Monte Carlo Optimization in Uncertain Ocean Environment[J]. Acta Acustica, 2015, 40(5): 665-674 (in Chinese) [Google Scholar]
- Sha L, Nolte L. Bayesian Sonar Detection Performance Prediction in the Presence of Interference in Uncertain Environments[J]. The Journal of the Acoustical Society of America, 2005, 117(4): 1954-1964 [CrossRef] [Google Scholar]
- Yang T C. A Method of Range and Depth Estimation by Modal Decomposition[J]. Journal of the Acoustical Society of America, 1987, 82(5): 1736-1745 [CrossRef] [Google Scholar]
- Bogart C W, Yang T C. Source Localization with Horizontal Arrays in Shallow Water:Spatial Sampling and Effective Aperture[J]. Journal of the Acoustical Society of America, 1994, 96(3): 1677-1686 [CrossRef] [Google Scholar]
- Zhang Tongwei, Yang Kunde, Ma Yuanliang, et al. The Proformance of MFP Localization with a Horizontal Line Array at Different Depths in Shallow Water[J]. Acta Physica Sinica, 2010, 59(5): 3294-3301 (in Chinese) [CrossRef] [Google Scholar]
- Conan E, Bonnel J, Nicolas B, et al. Using the Trapped Energy Ratio for Source Depth Discrimination with a Horizontal Line Array:Theory and Experimental Results[J]. The Journal of the Acoustical Society of America, 2017, 142(5): 2776-2786 [CrossRef] [Google Scholar]
- Scharf L L, Friedlander B. Matched Subspace Detectors[J]. IEEE Trans on signal processing, 1994, 42(8): 2146-2157 [NASA ADS] [CrossRef] [Google Scholar]
- Jensen F B, Kuperman W A, Porter M B, et al. Computational Ocean Acoustics[M]. New York: Springer Science & Business Media, 2011 [CrossRef] [Google Scholar]
- Porter M B. The Matched Field Processing Benchmark Problems[J]. Journal of Computational Acoustics, 1994, 2(3): 161-185 [CrossRef] [Google Scholar]
- Brekhovskikh L M, Lysanov Y P, Beyer R T. Fundamentals of Ocean Acoustics[M]. Berlin Heidelberg: Springor-Verlag, 1982 [CrossRef] [Google Scholar]
All Tables
All Figures
![]() |
图1 声源、阵列参数示意图 |
| In the text | |
![]() |
图2 不确定浅海环境标准失配测试模型 |
| In the text | |
![]() |
图3
|
| In the text | |
![]() |
图4 在1 000个环境参数实现中信号子空间估计的REL |
| In the text | |
![]() |
图5 1 000次参数实现中HRSD |
| In the text | |
![]() |
图6 MC-GLRD、HRSD、ED在1 000次参数实现下平均 |
| In the text | |
![]() |
图7 MC-GLRD、HRSD、ED在1 000次参数实现下检测概率Pd变化 |
| In the text | |
Current usage metrics show cumulative count of Article Views (full-text article views including HTML views, PDF and ePub downloads, according to the available data) and Abstracts Views on Vision4Press platform.
Data correspond to usage on the plateform after 2015. The current usage metrics is available 48-96 hours after online publication and is updated daily on week days.
Initial download of the metrics may take a while.







