| Issue |
JNWPU
Volume 39, Number 1, February 2021
|
|
|---|---|---|
| Page(s) | 167 - 174 | |
| DOI | https://doi.org/10.1051/jnwpu/20213910167 | |
| Published online | 09 April 2021 | |
An adaptive dynamic inversion control method based on improved piecewise constant for flight control system
基于改进的分段常数自适应动态逆控制方法研究
1
School of Automation, Northwestern Polytechnical University, Xi'an 710129, China
2
Shaanxi Province Key Laboratory of Flight Control and Simulation Technology, Xi'an 710129, China
3
AVIC Xi'an Flight Automatic Control Research Institute, Xi'an 710076, China
Received:
2
September
2020
Abstract
To overcome the lack of robustness of the nonlinear dynamic inversion (NDI) control, a simple and practical adaptive NDI control method based on an improved piecewise constant is proposed in this paper to enhance its robustness to disturbances and improve the accuracy of response tracking. Firstly, reasonable assumptions and analyses are made for the system with the influence of disturbance. Secondly, an improved piecewise constant adaptive NDI control method suitable for general flight control systems is proposed. The stability of the control system with disturbance and the error convergence range of the improved piecewise constant adaptive control are proved and analyzed theoretically. Finally, taking into account the fighter actual control requirements, the angular rates control strategy is given, and the proposed method is applied to the angular rates flight controller design. Matlab simulations are carried out under the disturbance of the actuator failure and the sudden change of the center of gravity, and the robustness and dynamic performance of the controller designed based on the present method is compared and verified. The results illustrate that our present method has stronger robustness and higher control accuracy.
摘要
针对非线性动态逆控制在扰动影响下鲁棒性不足的问题,提出一种适用于工程的基于改进分段常数自适应动态逆控制方法,用于增强控制系统对干扰的鲁棒性以及提高控制响应的准确性。在扰动影响下对模型做出合理的分析;提出了适用于飞行控制系统的改进的分段常数自适应动态逆控制方法;证明了设计的控制器在扰动影响下的稳定性和动态特性,以及改进后的分段常数自适应的误差收敛范围;对飞机模型进行描述给出了符合实际战斗机控制需求的自适应动态逆角速度控制策略,并且基于改进后的方法设计控制律并在执行机构故障和重心突变扰动下进行仿真,对比验证了基于改进的分段常数自适应动态逆方法设计的控制器的鲁棒性和动态性能。结果表明基于改进的分段常数自适应动态逆控制具有鲁棒性强、控制精度高的特点。
Key words: adaptive dynamic inversion control / improved piecewise constant / angular rate control / robustness / matlab simulation / flight control system / controller design
关键字 : 自适应动态逆控制 / 改进的分段常数自适应 / 角速度控制律 / 鲁棒性
© 2021 Journal of Northwestern Polytechnical University. All rights reserved.
This is an Open Access article distributed under the terms of the Creative Commons Attribution License (http://creativecommons.org/licenses/by/4.0), which permits unrestricted use, distribution, and reproduction in any medium, provided the original work is properly cited.
如何提高航空器安全性和可靠性一直是热点问题。在飞行过程中,各种不确定因素的存在都会对飞机的飞行性能产生影响。例如,战斗机发射导弹以及运输机低空空投都会改变飞机重心位置,而重心位置与飞机的动态性能和稳定性有着密切的关系,重心的变化会降低控制性能,甚至破坏飞机自身的稳定性。此外,执行机构故障严重威胁着飞机安全飞行以及飞行员的生命安全。因此,通过提高飞行控制系统的鲁棒性,使其在飞行中主动或者被动克服所遇到干扰,对飞机安全飞行具有深远的意义。
1992年,学者Snell等[1]首次将非线性动态逆控制方法(nonlinear dynamic inversion, NDI)应用到战斗机控制律设计中,出色地展现出NDI方法快速性好以及解耦能力强的特点。由于NDI控制方法的特点契合了现代战机对性能的要求,因而该方法一经提出,就得到了国内外学者的广泛关注。
由于各类因素的制约和限制,实际工程中难以获取精确的气动数据,导致NDI控制器无法精确消除飞机中非线性部分,进而降低了控制性能。针对NDI暴露出鲁棒性不足的问题,众多学者对该方法进行改进,旨在保留其优秀特性的同时,降低NDI方法对精确模型的依赖,达到提高NDI控制器的鲁棒性的目的。根据国内外学者发表的文章来看,对NDI控制的改进方式主要集中在增量NDI(incremental NDI,INDI)[2-3]和自适应NDI(adaptive NDI,ANDI)[4-6]两方面。INDI控制方法采用泰勒级数展开的方式对模型进行简化,得到控制输入增量与状态量之间的关系,进而采用NDI控制“反演求逆”的方法推导出INDI控制律。由于INDI控制律中采用角加速度信号来替代原本NDI中与非线性模型相关的信息,因而INDI控制律在降低对模型的依赖的同时提高了系统对扰动的鲁棒性[7]。引入角加速度信号是INDI的精髓,但是实际中没有相应的传感器去直接测量角加速度信号,并且通常采用对角速度信号差分滤波的方式来获取角加速度。由于这一过程很难保证实时性,并且得到的角加速度信号中的误差还会直接降低到INDI的鲁棒性[8]。因此,这对INDI方法的实际应用造成了一个严峻的挑战。
自适应控制则是在控制器中加入自适应结构,根据动态误差估计出模型不确定性以及扰动对系统产生的影响,在控制器中予以补偿,达到提高控制器鲁棒性的目的。目前对自适应控制理论和应用的研究较为成熟,典型的自适应算法都包括神经网络自适应[9]、L1自适应[10]等。因此将NDI控制与自适应控制结合,提出自适应动态逆控制方法来增强NDI控制器的鲁棒性。相比于INDI,ANDI不需要引入额外的角加速度信号,并且ANDI控制方法保留NDI控制优良的动态特性和解耦能力的同时,兼顾了自适应控制的鲁棒性,使得基于此方法设计的控制器能够克服飞行过程中扰动对飞机的影响。文献[4]针对高超声速飞机提出一种自适应动态逆控制增强控制系统的鲁棒性,克服了高速条件下的强耦合性和强非线性对飞机的影响,最终实现了所期望的跟踪性能。文献[5]针对舰载机着舰问题,提出一种基于改进的神经网络自适应动态逆控制方法,并基于此方法设计舰载机纵向控制律,用于消除舰尾流对舰载机影响。由于该方法引入自适应学习率来加快神经网络的收敛速度,进而保证控制器的鲁棒性,提高了着舰精度。文献[6]同样将神经网络和动态逆方法结合,根据最优控制理论设计神经网络权值的自适应律。在飞机发生舵面故障时,神经网络权值进行调整,重构出舵面故障所导致的误差,并由控制器进行补偿,从仿真结果来看该方法达到预期的控制效果,保证舵机故障下飞机的操纵品质。
以自适应控制为线索,为了解决动态逆方法对参数扰度敏感的问题,本文提出一种基于分段常数的自适应动态逆控制策略,并对分段常数自适应算法[11]进行改进,旨在减小CPU运行负担的同时提高该算法对扰动影响估计的精度。此外,基于改进的分段常数自适应动态逆控制设计先进战斗机控制律。仿真结果表明,本文所设计的控制器能够增强控制系统的鲁棒性,针对重心突变干扰和执行机构故障,该控制器能够有效克服以上扰动的影响,对于飞机的安全飞行具有一定的工程应用价值。
1 自适应动态逆控制方法
自适应动态逆控制器由动态逆控制器、参考模型和自适应律三部分组成。其中参考模型提供期望的系统动态性能;自适应律和控制律则根据系统与参考模型之间的响应误差对扰动进行估计和补偿,促使被控对象达到满意的动态性能。本节主要对干扰影响下的模型进行分析,并且设计相应的控制律、参考模型和自适应律。
1.1 干扰影响下的模型分析
通常情况,扰动下的系统微分方程可表述为:
1
式中: x(t)∈Rn×1是系统状态; f(x)∈Rn×1表示与控制无关的系统非线性光滑向量函数; G(x)∈Rn×m(n≤m)表示与控制相关的系统控制效能矩阵; u(t)∈Rm×1是系统的控制输入; C∈Rm×n为系统输出矩阵; 而y(t)∈Rm×1表示系统的输出。特别的, λ(t)∈Rm×m表示输入增益对角矩阵; δ(x, t)∈Rn×1表示系统受到的扰动, 包括模型不确定性、外部扰动等。系统满足以下几个假设:
假设1 系统控制效能矩阵的逆(伪逆)存在。即G(x)-1G(x)=I或G(x)+G(x)=I。
假设2 扰动δ(x, t)全局有界。即存在常数D>0和X>0, 使得扰动在任意时刻t>0, 且状态量有界‖x‖∞≤X的范围内满足‖δ(x, t)‖∞≤D。
假设3 扰动δ(x, t)偏导数存在且有界。存在常数dδ, t>0和dδ, t>0, 则扰动偏导数满足
2
假设4 输入增益矩阵λ(t)是符号已知的非奇异对角矩阵, 其对角线元素λii(i=1, 2…n)满足0≤λii≤1。理想情况下为单位阵; 如果部分控制面性能降级, 则对应元素λii∈(0, 1);如果完全失效则对应元素λii为零。
由于控制器需要克服干扰影响, 因此类比参考文献[10], 将系统(1)其变换成以下形式
3
式中, σ(x, t)和δ(x, t)满足δ(x, t)=G(x)σ(x, t)。
1.2 自适应动态逆控制器设计
采用反馈求逆的思想设计动态逆控制律, 动态逆控制律如下
4
公式中,
为扰动影响的估计, 由自适应律不断更新, 下一节将详细给出设计过程。λ0为已知标称系统的输入增益矩阵。νd是伪控制输入, 表示系统期望的动态, 这里由线性控制器(5)设计。
5
式中: Kω为对角增益阵, 满足Kω, ii>0, i=1, 2…n; xcmd为系统的输入指令。
1.3 参考模型设计
参考模型的功能是为系统响应提供的参考。其功能决定了参考模型具有系统期望的动态。因此参考模型的响应是被控对象理想的响应。考虑到自适应动态逆控制律(4)形式, 系统参考模型可设计为
6
式中:
为参考模型的状态量; e(t)∈Rn×1表示参考模型与系统之间的误差, 即
7
1.4 基于改进的分段常数的自适应律
自适应律根据参考模型与系统响应之间的误差来更新参数
, 将其反馈给自适应动态逆控制器对系统进行调整。保证闭环系统信号有界的同时, 使得系统输出响应跟踪上参考模型的输出。
分段常数自适应算法是一种典型的自适应律的设计方法。该算法有以下几个不可替代的优势: a)该算法结构简单、计算量小, 不会给系统带来额外负担; b)能够保证系统信号的半全局一致界性; c)在保证系统稳态性的同时兼顾了系统的瞬态性能。
分段常数自适应有着与CPU相同的采样频率。当系统采样间隔Ts越小, 系统响应的稳态误差越小, 因此通常可以通过减小采样间隔来缩小稳态误差的界, 但这样会大大增加CPU的负担。因而, 本文对参考文献[11]所用到的分段常数自适应进行改进, 改进后的自适应律在相同条件下提高所估计
的精度, 缩小系统稳态误差e(t)。改进过程详见第2.1节稳定性分析, 采用改进后的分段常数自适应算法设计的自适应律为
8
式中, Φ(Ts)和η(iTs)具体如下
9
10
在自适应律中, Ts为系统采样时间间隔; In为n阶单位阵; Kσ表示增强因子的对角矩阵, 其作用是提高系统稳态精度。特别的, 对角线元素满足

2 控制系统性能分析
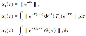
在对自适应动态逆控制性能分析之前, 定义在分析过程中用到的一些参数。
定义
为由控制输入和干扰引起的状态输出的上界, 其中κ(Ts)与Δ的定义如下
11
12
α1(t), α2(t), α3(t)的定义具体如下
13
在采样周期Ts内α1(t), α2(t), α3(t)的最大值可以表示为
14
2.1 稳定性分析
(6) 式与(3)式相减能够得到误差动态
15
式中,
表示扰动估计误差, 具体形式如下
16
在iTs+t时刻下, 系统的误差动态方程的解为
17
定义状态量在iTs时刻状态误差引起的解
18
同样, 定义干扰项在iTs时刻引起的解
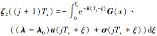
19
在时间间隔[jTs, (j+1)Ts]内, 且(j+1)Ts < τ, 则(j+1)Ts时刻下系统的预测误差为
20
式中
21
22
在改进后的分段常数自适应律(8)~(10)式作用下ζ1((j+1)Ts)变为
23
将(23)式代入到预测误差方程(20)式中, 可进一步变型为
24
由于干扰的满足假设2, 并且根据(11)式和(12)式对κ(Ts)和Δ的定义, 可得
25
(25) 式得到的上界对所有(j+1)Ts≤τ都成立, 因此对于iTs≤τ, (26)式同样成立。
26
在所有iTs+t≤τ, t∈(0, Ts]的范围内, 根据式(13)对α1(t), α2(t), α3(t)和Δ的定义, 误差的二范数如下
27
将(26)式带入(27)式, 可变形为
28
将右侧定义为γ0(Ts), 见(29)式。
29
根据(13)式和(14)式的定义不难推出
30
所以, 当时间间隔Ts很小时, 误差的极限为
31
因此对于任意t∈[0, τ], 都有
32
式中,
为任意小的正常数。从上述推导过程能明显看出以下特点:
1) 扰动影响下, 基于改进的分段常数自适应律((8)~(10)式)在时间间隔Ts能够保证系统的稳定性。因此在整个控制过程, 系统的全局稳定和瞬态性能都得到了保证。
2) 通过提高频率来减小时间间隔Ts能够有效降低误差的范围, 进而提高系统响应稳态精度, 但与此同时会增加CPU的负担。
3) 由于‖(I+Kσ)-1‖2 < 1, 因此增强因子Kσ的加入缩小了误差的收敛性范围。改进后的分段常数自适应能够在不减小时间间隔Ts的条件下提高估计精度, 进而达到减小系统的误差的目的, 避免了增加频率对CPU造成过重负担。
2.2 动态特性分析
当采样间隔Ts很小时, 可以忽略系统状态误差。此时为了分析系统的动态特性, 引入非自适应形式的闭环动态系统, 如(33)式所示
33
此时, 结合(5)式, 闭环系统响应为
34
并且
。参考模型变为一阶惯性环节。因此可以看出当选取合适采样间隔Ts, 在改进后分段常数自适应动态逆控制律作用下系统能够达到所期望的动态性能。
3 自适应动态逆角速度控制律设计
3.1 模型描述
以某型先进战斗机为例, 该战机可操纵机构包括左右副翼δa, l, δa, r, 左右全动平尾δe, l, δe, r, 前缘襟翼δlef, l, δlef, r, 方向舵δr和大推力发动机。战斗机质量为9 295.44 kg, 翼面面积S为27.87 m2, 平均气动弦长为3.45 m, 翼展b为9.144 m。
前缘襟翼的控制指令由迎角α、静压ps和动压Q根据控制函数自动生成, 控制律如下
35
通常情况下, 战斗机的角速度运动方程可写为
36
式中: ω=[p q r]T表示角速度; J代表转动惯量矩阵。将战机所受力矩
拆分为气动力产生的气动力矩
和操纵面偏转产生的操纵力矩, 操纵力矩又可以拆分为操纵导数矩阵CMc与操纵面偏转u相乘的形式, 具体表达为
37
38
式中: Ma为马赫数; Cl*Cm*Cn*表示除去操纵导数之外的气动导数之和, 具体包括静稳定导数、阻尼导数和非定长气动状态等; Clδa, rClδa, lClδrCmδe, rCmδe, lCnδa, rCnδa, lCnδr为各控制面的操纵导数。
战斗机侧滑角运动方程可描述为
39
式中: g为重力加速度; Va表示真空速; φ和θ分别表示滚转角和俯仰角。
3.2 角速度控制策略及控制器设计
对于纵轴和侧轴, 飞行员的杆指令分别直接对应飞机的俯仰和滚转运动。飞行过程中由于不希望侧滑角产生, 因此在方向轴上脚蹬对应侧滑角指令而不再是偏航角速度, 以便保证飞机的侧滑角为0。
角速度控制律的性能直接影响到飞机的操纵品质。品质优秀的角速度控制律要保证在各种不确定扰动下飞机的角速度都能跟踪上驾驶员的指令, 因此采用基于改进后的分段常数自适应动态逆控制方法来提高角速度控制律的鲁棒性。自适应动态逆控制律设计为
40
参考模型设计为
41
基于改进后的分段常数自适应律为
42
式中, Φ(Ts)和η(iTs)如(8)~(10)式所示。
考虑到侧滑角响应速度远远慢于偏航角速度响应, 因此根据奇异摄动理论, 在侧滑角变化时可认为偏航角速度已经跟踪上所给指令。因此将侧滑角控制器的输出作为偏航角速度的指令。
由于侧滑角与偏航角速率之间的几何关系相对清晰, 因而采用积分式动态逆方法设计侧滑角控制律, 具体设计如下
43
式中, νβ表示侧滑角的虚拟控制量, 具体如下
44
式中, Kβ=2, Kβi=0.25。
综上, 战斗机角速度控制策略如图 1所示。
![]() |
图1 基于自适应动态逆控制的角速度整体控制结构 |
4 仿真验证
本节采用matlab/simulink对所改进后的分段常数自适应动态逆控制角速度控制器的鲁棒性和动态性能进行验证和分析。
所有仿真都在6 000 m高度, 150 m/s速度的巡航条件下完成。在该巡航条件下飞机的配平状态为α=θ=3.49°, δe=-4.34°以及油门开度δth=0.25, 其余状态和舵面偏转为0。
参考模型以及系统采样频率为100 Hz, 即时间间隔为Ts=0.01 s。采用一阶惯性环节来模拟操纵面的执行机构, 对于不同操纵面的幅度与速率限制具体如表 1所示。
操纵面限制
4.1 操纵面执行机构故障
在常见的“舵面卡死”和“舵效降级”故障干扰下, 对所设计控制器的鲁棒性进行验证。同时给战斗机带有指令滤波的俯仰角速率和滚转角速率指令, 期间始终保持侧滑角为零。
在飞行过程中, 假设10 s飞机左升降舵出现故障, 故障使得左升降舵舵效降低20%;在15 s时飞机右升降舵卡死在-5°。在24 s和25 s时飞机左、右副翼也分别出现性能降级故障, 故障使得舵效降低50%和35%。仿真结果如图 2至8所示。
![]() |
图2 执行机构故障下, 俯仰角速度响应曲线 |
![]() |
图3 执行机构故障下, 滚转角速度响应曲线 |
![]() |
图4 执行机构故障下, 侧滑角响应曲线 |
![]() |
图5 左、右升降舵偏转曲线 |
![]() |
图6 左、右副翼偏转曲线 |
![]() |
图7 方向舵偏转曲线 |
![]() |
图8 改进后的分段常数自适应律估计出参数 |
正常飞行时, 俯仰角速度和滚转角速度能够快速准确地跟踪上指令; 当执行器出现故障后, 分段常数自适应律开始参与调整, 因此, 飞机能克服扰动影响快速恢复至平衡, 并且后续角速度依旧能达到期望的动态性能, 整个过程展示出所设计基于改进的分段常数自适应动态逆控制器优秀的鲁棒性。
4.2 重心突变干扰
重心位置是飞机的重要参数之一, 该变化直接影响到飞机的操纵性和动态性能。本小节则在飞机受扰重心突变情形下对比验证所设计改进后的分段常数自适应动态逆控制的性能。
同样, 给飞机带有指令滤波的俯仰角速率和滚转角速率指令, 并且要求侧滑角始终为零。在12 s时飞机重心发生突变, 假设重心偏移Δx=0.1 m, Δy=0.1 m, Δz=0.1 m。对比改进前、后分段常数自适应算法设计的角速度控制器和常规动态逆控制器控制效果, 对比结果如图 9至11所示。
![]() |
图9 重心突变下,滚转角速度响应对比曲线 |
![]() |
图10 重心突变下,俯仰角速度响应对比曲线 |
![]() |
图11 重心突变下,侧滑角响应对比曲线 |
从对比结果能看出:正常飞行时,3种动态逆控制器作用下的角速度响应相同;但在重心突变后,常规动态逆控制器性能存在明显下降。相反,改进前、后的自适应动态逆控制器能够克服重心突变造成的影响,保证扰动下角速度的性能,但改进后的分段常数自适应动态逆控制器的准确性更高,表现在角速度的稳态误差明显最小。整体上来看,基于改进的分段常数自适应动态逆控制器结果不仅表现出强大的鲁棒性,而且突出了准确性高的优点。
5 结论
本文提出一种基于改进的分段常数自适应动态逆控制方法, 用于提高控制系统的鲁棒性。仿真结果表明,基于此方法设计角速度控制器在执行机构故障和重心突变干扰下,表现出令人满意的控制性能。
References
- Snell S A, Enns D F, Garrard W L, et al. Nonlinear inversion flight control for a supermaneuverable aircraft[J]. Journal of Guidance Control and Dynamics, 1990, 15(4):976–984 [Google Scholar]
- Wang X, Van K E, Chu Q P, et al. Flexible aircraft gust load alleviation with incremental nonlinear dynamic inversion[J]. Journal of Guidance Control and Dynamics, 2019, 42(7):1519–1536 [Article] [Google Scholar]
- Simplicio P, Pavel M D, Van Kampen E, et al. An acceleration measurements-based approach for helicopter nonlinear flight control using incremental nonlinear dynamic inversion[J]. Control Engineering Practice, 2013, 21(8):1065[J]. 1077 [Article] [Google Scholar]
- Elizabeth Rollins, John Valasek, Jonathan A. Muse. Nonlinear adaptive dynamic inversion applied to a generic hypersonic vehicle[C]//AIAA Guidance, Navigation, and Control Conference, 2013 [Google Scholar]
- Zhou Jun, Jiang Ju, Yu Chaojun, et al. Carrier aircraft dynamic inversion landing control based on improved neural network[J]. Journal of Harbin Engineering University, 2018, 39(10):1649–1654 [Article] (in Chinese) [Google Scholar]
- Ge Yunlong, Zhang Weiguo. Optimal control based neural network adaptive flight control[J]. Electronics Optics & Control, 2012, 19(7):13–17 [Article] (in Chinese) [Google Scholar]
- Wang Xuerui, Van kampen E J, Chu Q, et al. Stability analysis for incremental nonlinear dynamic inversion control[J]. Journal of Guidance, Control, and Dynamics, 2019, 42: 1116–1129 [Article] [Google Scholar]
- Sieberling S, Chu Q P, Mulder J A, et al. Robust flight control using incremental nonlinear dynamic inversion and angular acceleration prediction[J]. Journal of Guidance Control and Dynamics, 2010, 33(6):1732–1742 [Article] [Google Scholar]
- Xu B, Yang C, Shi Z. Reinforcement learning output feedback NN control using deterministic learning technique[J]. IEEE Trans on Neural Networks and Learning Systems, 2014, 25(3):635–641 [Article] [Google Scholar]
- Haira H, Cao Chengyu. L1 adaptive control theory[J]. Chest, 2010, 108(4):1182–1183 [Google Scholar]
- Tyler Leman, Enric Xargay, Geir Dullerud, et al. L1 adaptive control augmentation system for the X-48B aircraft[C]//AIAA Guidance, Navigation, and Control Conference, 2009 [Google Scholar]
All Tables
All Figures
![]() |
图1 基于自适应动态逆控制的角速度整体控制结构 |
| In the text | |
![]() |
图2 执行机构故障下, 俯仰角速度响应曲线 |
| In the text | |
![]() |
图3 执行机构故障下, 滚转角速度响应曲线 |
| In the text | |
![]() |
图4 执行机构故障下, 侧滑角响应曲线 |
| In the text | |
![]() |
图5 左、右升降舵偏转曲线 |
| In the text | |
![]() |
图6 左、右副翼偏转曲线 |
| In the text | |
![]() |
图7 方向舵偏转曲线 |
| In the text | |
![]() |
图8 改进后的分段常数自适应律估计出参数 |
| In the text | |
![]() |
图9 重心突变下,滚转角速度响应对比曲线 |
| In the text | |
![]() |
图10 重心突变下,俯仰角速度响应对比曲线 |
| In the text | |
![]() |
图11 重心突变下,侧滑角响应对比曲线 |
| In the text | |
Current usage metrics show cumulative count of Article Views (full-text article views including HTML views, PDF and ePub downloads, according to the available data) and Abstracts Views on Vision4Press platform.
Data correspond to usage on the plateform after 2015. The current usage metrics is available 48-96 hours after online publication and is updated daily on week days.
Initial download of the metrics may take a while.











