| Issue |
JNWPU
Volume 40, Number 4, August 2022
|
|
|---|---|---|
| Page(s) | 875 - 882 | |
| DOI | https://doi.org/10.1051/jnwpu/20224040875 | |
| Published online | 30 September 2022 | |
Orbital maneuver technology of temporary networked satellites for earth exploration
临时组网卫星应急对地勘查的轨道机动技术
1
Xi′an Satellite Control Center, Xi′an 710043, China
2
Northwestern Polytechnical University, Xi′an 710072, China
Received:
9
October
2021
Abstract
It is very difficult to achieve effective coverage of hot-spot target in a short time period by earth perturbation for orbital maneuver, because the coverage gap of the temporary multi-satellites network in certain period of time is too large. In this paper, it is assumed that wave beam type of the satellite-payload sensor is a simple conic, the beam center of the satellite payload under the maximum lateral pendulum is calculated based on the precise ephemeris, and according to the projection ellipse of the payload wave beam on the ground, the coverage ability of the satellite payload on the ground target direction is obtained. Then the satellite is designed to encounter the ground target in the nodal period between the satellite passing the ground target and the latitude circle. The orbital maneuver control variables are calculated from the change of nodal period, and the optimal orbital maneuver control variables are selected from a specified time period. At last, the orbit maneuver in covering the target in a specified time period is achieved and the maximum revisit interval is greatly shortened.
摘要
针对多星以多类型载荷临时联合进行快速勘查存在某些时段勘查覆盖间隙过大、以地球摄动力长时间进行轨道机动难以短时实现对热点目标的有效覆盖等问题,提出基于精密星历计算出卫星在最大侧摆条件下的载荷波束中心,并假设载荷传感器波束类型为简单圆锥,依据载荷波束在地面的投影椭圆给出载荷在地面目标方向的覆盖能力;以卫星过地面目标同纬度圈的交点周期变化来设计卫星与地面目标相遇,由卫星相遇所需交点周期的变化计算出卫星轨道机动控制量;根据勘查需求从指定时间段内筛选出最小轨道机动控制量,从而实现在指定时段内以轨道机动覆盖目标,缩短了多星联合勘查的最大重访间隔。
Key words: target exploration / orbital maneuver / projection ellipse / nodal period / control variables
关键字 : 目标勘查 / 轨道机动 / 投影椭圆 / 交点周期 / 控制量
© 2022 Journal of Northwestern Polytechnical University. All rights reserved.
This is an Open Access article distributed under the terms of the Creative Commons Attribution License (http://creativecommons.org/licenses/by/4.0), which permits unrestricted use, distribution, and reproduction in any medium, provided the original work is properly cited.
对地勘查卫星一般为回归轨道[1-2],设计的回归轨道可使星载微波、可见光、红外、多光谱、合成孔径等有效载荷对地面固定区域进行反复勘查[3-4]。在局部环境污染、海啸地震等突发热点事件发生时,往往要求多颗卫星能临时改变当前运行轨道,紧急临时组网以多种载荷联合对地面关注目标进行灾情动态监测[5]。由于各星组网前勘查的区域不同,临时组网后对新目标勘查会出现某些时段勘查覆盖间隙过大(如24 h)或在需求时段内无法观测到目标的情况[3, 6],为了缩短对新目标的勘查最大重访间隔,需要短时间内完成对组网某些卫星的轨道机动,使得这些卫星在指定的时间段内能覆盖勘查目标。
目前关于临时应急组网的覆盖间隙调整问题的研究不多,多数为基于轨道机动的星座组网、单星单目标变轨等对热点目标的覆盖研究,且仅考虑卫星星下点与目标点重合。文献[7-8]提出了单星单目标观测方法,给出目标可见性及卫星变轨策略。文献[9]选用有限推力两次点火的方式进行轨道转移,建立了三维的考虑J2摄动的有限推力微分方程。文献[10]研究了连续推力下对多个地面目标点的观测轨道设计,以勒让德伪谱方法将轨道机动问题分割形成多段问题进行求解。文献[11]研究了在各种初始降交点经度条件下,卫星按Hohmann共面变轨的轨道降交点经度与目标经度差的机动策略。
星载载荷波束与地面目标在同纬度圈存在经度差则无法覆盖观测目标,若进行轨道机动消除此经度差,则载荷波束可有效覆盖地面目标。结合工程应用实际背景,利用卫星地固系星历计算出卫星姿态侧摆下载荷波束在地面勘查目标方向的覆盖能力,将指定控制时刻后一时间段内的最短经度差圈次作为控后勘查目标的可见圈次,设计星载载荷波束投影与地面目标在此圈次相遇,以相遇的交点周期变化描述卫星轨道机动控制量,即可实现短时内以轨道机动在特定时间段内对地面目标的覆盖。与文献[7-11]的工作相比,本文的创新在于:①以星载载荷波束与目标重合来勘查目标,同时考虑了卫星滚动姿态侧摆和载荷幅宽对载荷波束地面投影的影响,更符合工程实际;②以应急指定时刻为轨道机动时刻,以勘查目标与波束的最短垂线距离作为控制量计算依据,使得从控制时刻轨道位置覆盖目标的机动量最小,可以快速响应应急勘查任务。
1 载荷波束中心
卫星要实现通过临时组网在特定时间段内联合对地面目标观测,其前提条件是各星载载荷波束必须在指定时间段内实现对地面目标的有效覆盖。实现有效覆盖需要快速掌握卫星对地面区域的覆盖能力,而其关键在于准确地计算出卫星载荷波束中心与地球的交点。利用卫星的地固系数据计算轨道面的法向量,以法向量、卫星与地心连线的几何关系确定载荷波束中心方向,通过迭代使高程误差逼近于零。该方法避免了各种坐标系的转换计算,在满足精度的前提下实现了快速计算,同时减少了采用地球平均半径存在的高程误差。
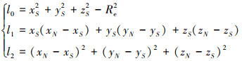
若卫星S在地固系下位置矢量S=[xS, yS, zS]、速度矢量v=[dx, dy, dz],地心为O,h为轨道面法向量,dSN为卫星载荷波束中心的方向矢量,E为卫星载荷波束中心与地球表面的交点(如图 1所示),令卫星勘查的滚动方向侧摆角为β,则∠OSN=β,dSN与h交于N,垂直于轨道面的单位法向矢量ho可表示为[12-13]
1
式中,v′=v+vωe, vωe为地球自转速度在地固系下的方向矢量。
卫星地心距为r,矢量dON可表示为rtanβho,即可得到N点在地固系下的坐标(xN, yN, zN),待求解的波束中心点E(xE, yE, zE)在dSN上,即卫星S, E和N三点共线,满足dSE=kdSN(k为比例系数),且E与地心O的距离为地球半径Re[12],则有
2
3
联合解得:
4
式中

为保证滚动侧摆角β与波束中心点E在卫星同一侧,(4)式中k取较小值,同时β要小于地球半径角ρ[12-14]。
5
设终止条件为
,通过迭代可得波束中心点E(xE, yE, zE)。
![]() |
图1 波束中心几何示意图 |
2 最短弧长
需要勘查的地面特定目标为R,其地固系位置坐标为(xr, yr, zr),大地坐标为(λlonr, λlatr, hr)。文中仅考虑地面目标能够完全被卫星单景图像或者单次扫描获取的情况,且卫星载荷波束为简单圆锥型,传感器视场角即载荷波束宽度为2η。由于受卫星侧摆角、地球曲率等影响,载荷波束在地球表面的投影近似为一个不规则椭圆图形,其在卫星侧摆方向为一长半轴a1、短半轴b的半椭圆,在侧摆反向为一个长半轴a2(a1>a2)和短半轴b的半椭圆,2个半椭圆以短半轴b组成一个如图 2所示的不规则椭圆,椭圆中心即为星载载荷波束中心在地面的投影点E,E点、星下点G及地面目标R组成的向量dGE, dER的向量角为∠GER=ε。
6
卫星载荷波束边界与波束中心的夹角如图 3所示在(β-η, β+η)之间,波束中心与地心矢量dOS的向量角∂[15-19]。
7
载荷波束中心E点及波束在地面的投影椭圆a1, a2, b的天底角∂′分别为∂0′和∂1′=∂-η, ∂2′=∂+η, ∂3′=η, 对应的地心角ϕi(i=0, 1, 2, 3)[6, 15, 18-20]为
8
则投影椭圆区域a1, a2, b点对应的半径弧长分别为[6, 15, 21-22]:
9
建立以波束中心E为坐标系原点,EG方向为x轴正向,y轴正向为卫星运行方向且与x轴正交的参考坐标系,若向量角∠GER位于坐标系平面二、三象限,则星载载荷在地面目标方向的覆盖能力EF为
10
否则∠GER位于一、四象限,EF的覆盖能力则为
11
由于卫星运行轨道为多个圈次,每圈都有一个垂点弧长(卫星载荷波束中心点到勘查目标所在大圆的最短弧长),由(10)~(11)式可得出载荷的覆盖序列EFn(n=1, 2, …),定义Δ=(EFn-1-EFn)(EFn-EFn+1),在每隔T时段内当Δ符号改变时,即可得出在指定控制时刻后卫星经过目标R所在纬度圈λlatr的最短弧长序列EFj(j=1, 2, …, m),对应的历元时刻为Tsj(j=1, 2, …, m), 其中,m的取值为[21-23]

式中:T为卫星轨道周期,Td为轨道控制时刻后要求载荷覆盖勘查目标的时间段,则最短弧长EFj在地面的覆盖经度为[19]
12
式中:
, 为地面目标勘查点R所在纬度圈λlatr每度对应的弧长[19-21]; eE为大地子午圈偏心率。
![]() |
图2 载荷波束投影示意图 |
![]() |
图3 卫星载荷侧摆覆盖区域示意图 |
3 勘查设计与轨道调整
3.1 勘查设计
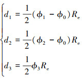
轨道机动的目标是星载波束与勘查目标同纬度圈经度差小于波束宽度,而消除此经度差则卫星轨道存在交点周期变化,以交点周期的增量描述卫星轨道机动控制量,从中筛选出最合适的控制量,则可实现在指定时刻通过轨道机动对地面目标的勘查。
若卫星轨道允许控制时刻为Tc,卫星联合勘查要求勘查目标的时间从允许控制时刻Tc开始后Td时段内完成覆盖。卫星每圈次经过目标同纬度λlatr的交点周期Trj为[17-18, 21-23]
13
式中: GM为地心引力常数,取3.986 005×1014 m3/s2;a为航天器此圈次轨道半长轴。Tsj与轨道允许机动时刻Tc的时间差ΔTscj为:ΔTscj=Tc-Tsj,若卫星在Tsj时刻勘查目标,从允许轨道机动时刻Tc开始,卫星轨道调整运行的圈次
,卫星载荷波束与地面目标在目标同纬度的经度差Δλlonj[18]:
14
式中,λlonsj为Tsj时刻星下点G的大地坐标经度。
Δλlonj描述了卫星载荷波束经过地面目标同纬度圈时载荷波束与地面目标的经度差,而消除Δλlonj的卫星轨道周期增量为ΔTj[21-22]
15
3.2 轨道调整
对轨道周期进行修正,周期调整量为ΔT,需要的半长轴为
16
则在Td时段内卫星覆盖目标,需要的半长轴调整量为Δa[21-22]
17
计算出(Tc, Tc+Td)时段内卫星轨道机动控制量Δaj序列,从Δaj中筛选出最小控制量,则此控制量即是在勘查要求的启控时刻Tc后Td时间段内完成目标勘查所需的最小控制量。
18
Δa为指定控制时刻Tc期望的轨道面内机动轨控量,可通过单次轨控或两次轨控实现最终控制目的。当采用两次轨控时,第一次轨控量可以选取期望值Δa的一半,第二次轨控需要考虑第一次控制误差,根据文中设计的计算方法重新确定控制量。
4 仿真算例
4.1 双星组网勘查
已知2颗卫星A, B在滚动方向的最大侧摆角为35°,轨道根数如表 1所示,若以2颗卫星A, B临时组网,对地面目标R进行勘查,勘查目标R的大地坐标为(15.12, 117.85, 0)。
在7月10日到19日勘查期间,可见时长为578 s,覆盖总间隙约为230 h,其中在7月12日11时23分到14日17时31分、7月16日11时22分到18日17时30分存在约为54 h的长覆盖间隙,如表 2所示。
选择对A星进行轨道调整,指定在7月10日2时0分进行轨道机动,8 h内完成目标覆盖要求。通过设计卫星载荷波束与目标相遇,计算结果为轨道半长轴需降低4.35 km(见表 3)。
控后A, B两星对同一目标勘查(见表 4),可见时长617 s,其中54 h的长覆盖间隙的分别缩短为12 h和30 h,也基本实现了均匀覆盖。
A, B卫星开普勒轨道根数
A, B卫星控前对目标勘查的可见时段
A星轨道机动半长轴控制量
A, B卫星控后对目标勘查的可见时段
4.2 主星和备星组网联合勘查
卫星资源包括6颗主星和1颗备份星(初始轨道信息如表 5所示),勘查任务包含3个点目标(如表 6所示)。
控前对3个目标的覆盖勘查如图 4所示,现需对目标3在2018年1月16日8时到17日7时之间增加覆盖。在1月15日8时对备星(编号7)实施轨道控制,控制量为轨道高度降低8.4 km,使卫星在1月17日5时35分、21日17时21分可对目标点勘查(见图 5),提高了卫星在指定时段内的勘查频次,缩短了卫星的重访周期,达到了相对均匀覆盖的目的,卫星的勘查能力比较数据如表 7所示。
仿真表明,在7天的计算时间内,对7号卫星实施轨控后,增加了2个窗口资源,累计勘查时长增加了3 min,最长不可勘查时长由16 h减少到13 h,实现了卫星在特定时间段内对地面目标的勘查任务,缩短了卫星的重访周期,并改善了目标的均匀覆盖特性。
7颗卫星开普勒轨道根数
目标坐标信息表
![]() |
图4 卫星控制前勘查时段甘特图 |
![]() |
图5 卫星控制后勘查时段甘特图 |
卫星勘查能力比较统计表
5 结论
当卫星组网对地面目标进行联合勘查时,通过卫星姿态、载荷的侧摆可在有限范围内进行勘查覆盖调整,某些卫星星载载荷不具备侧摆能力,同时受载荷地面分辨力等因素的制约,侧摆调整对地面目标的机动覆盖能力有限。当侧摆调整仍不能实现对特定目标覆盖或覆盖不满足业务精度要求时,依据文中设计的卫星载荷投影与地面目标的相遇覆盖,可实现在特定时段内对地面目标的有效覆盖,也是一种卫星临时组网对特定目标进行短时间勘查的轨道机动优选方法。
References
- CHENG Shaoyuan, ZHANG Li, GAO Weijun, et al. Geometric parameters analysis of large for space camera when rolling[J]. Infrared and Engineering, 2015, 44(6): 1872–1877. [Article] (in Chinese) [Google Scholar]
- RUAN Ningjuan, ZHUANG Xuxia, LI Tuotuo, et al. End to end simulation and analysis of space optical remote sensing system[J]. Spacecraft Recovery & Remote Sensing, 2013, 34(6): 36–43. [Article] (in Chinese) [Google Scholar]
- JIA Zhijun, YANG Min, SUN Yang, et al. Swinging strategy on earth observing satellites[J]. Acta Armamentarii, 2014, 35(7): 128–130. [Article] (in Chinese) [Google Scholar]
- CHE Hangyu, SHI Xiaojin, ZHUANG Chaoran. Misson planning and emergency imaging of domestic land observation satellite[J]. Satellites Application, 2019, 10: 31–37. [Article] (in Chinese) [Google Scholar]
- REN Kai. Target positioning technology of reconnaissance satellite based on distributed SAR system[J]. Computer Measurement & Control, 2020, 28(9): 218–222. [Article] (in Chinese) [Google Scholar]
- ZHU Jianghan, LI Xi, MAO Chilong, et al. Elevations selection approach of area target observation task using satellites resource[J]. Geomatics and information science of Wuhan University, 2006, 31(10): 868–870. [Article] (in Chinese) [Google Scholar]
- GAN Lan, GONG Shengping. Observation mission planning for maneuverable satellite constellation towards multiple area targets[J]. Journal of Astronautics, 2021, 42(2): 185–191. [Article] (in Chinese) [Google Scholar]
- GAN Lan, GONG Shengping. Observation mission planning for maneuverable satellite constellation towards multiple targets[J]. Journal of Tsinghua University, 2021, 61(3): 240–247. [Article] (in Chinese) [Google Scholar]
- YU Peijun, WANG Wei, LI Jiancheng. Optimization method of finite thrust emergency orbit maneuver for an earth observation satellite[J]. Journal of Beijing University of Aeronautics and Astronautics, 2011, 37(7): 757–761. [Article] (in Chinese) [Google Scholar]
- LIANG Xingang, YANG Di. Orbit design for observing multiple surface targets with constant and variable specific impulse engine[J]. Missile and Space Vechcile, 2007, 291: 6–11. [Article] (in Chinese) [Google Scholar]
- ZHANG Xiaokun, YANG Xin, LIN Baojun. Orbit maneuver simulation for small earth orbit servation satellite[J]. Computer Simulation, 2006, 23(6): 66–68. [Article] (in Chinese) [Google Scholar]
- XUE Yongjiao, WANG Demin, QI Chundong, et al. Algorithm to determine the satellite side beam center[J]. Application of Electronic Technique, 2015, 41(3): 105–115. [Article] (in Chinese) [Google Scholar]
- GUO Xiaomin, ZHANG Hongqun, HAN Jiawei, et al. The research on computing the satellite observation area on swinging mode[J]. Microcomputer Information, 2011, 27(11): 71–73. [Article] (in Chinese) [Google Scholar]
- ZHONG Wei, GAO Youran. A calculaton method for satellite coverage area[J]. Modern Radar, 2020, 42(7): 5–10. [Article] (in Chinese) [Google Scholar]
- YANG Jiwei, FU Wei, HAN Li, et al. Regional target planning algorithm of satellite imaging based on global grid[J]. Spacecraft Engineering, 2021, 30(1): 31–37. [Article] (in Chinese) [Google Scholar]
- HE Hongyan, WU Chongde, WANG Xiaoyong, et al. Study of influence of swinging on the systemic parameters of the satellite and CCD camara[J]. Spacecraft Recovery & Remote Sensing, 2003, 24(4): 14–18. [Article] (in Chinese) [Google Scholar]
- ZHANG Renwei. Satellite orbit attitude dynamics and control[M]. Beijing: Beihang University Press, 1998: 3–17 (in Chinese) [Google Scholar]
- CAO Yuhua, FENG Shuxing, GUAN Qingbo, et al. Modeling and simulation of spacecraft military application[M]. Beijing: National Defense Industry Press, 2010: 54–61 (in Chinese) [Google Scholar]
- TAN Weichi, HU Jingang. Spacecraft system engineering[M]. Beijing: China Science and Technology Press, 2009: 73–79 (in Chinese) [Google Scholar]
- HAO Yan. TT & C network of space[M]. Beijing: National Defense Industry Press, 2004: 181–184 (in Chinese) [Google Scholar]
- LIU Lin, HU Songjie, CAO Jianfeng, et al. Theory and application of spacecraft orbit determination[M]. Beijing: Publishing House of Electronics Industry, 2015: 44–47 (in Chinese) [Google Scholar]
- LIU Lin, TANG Jingshi. Theory and application of spacecraft orbit[J]. Beijing: Publishing House of Electronics Industry, 2015: 40–43 (in Chinese) [Google Scholar]
- LI Jisheng. Precise orbit determination of artificial satellite[M]. Beijing: The People's Liberation Army Press, 1995: 77–83 (in Chinese) [Google Scholar]
All Tables
All Figures
![]() |
图1 波束中心几何示意图 |
| In the text | |
![]() |
图2 载荷波束投影示意图 |
| In the text | |
![]() |
图3 卫星载荷侧摆覆盖区域示意图 |
| In the text | |
![]() |
图4 卫星控制前勘查时段甘特图 |
| In the text | |
![]() |
图5 卫星控制后勘查时段甘特图 |
| In the text | |
Current usage metrics show cumulative count of Article Views (full-text article views including HTML views, PDF and ePub downloads, according to the available data) and Abstracts Views on Vision4Press platform.
Data correspond to usage on the plateform after 2015. The current usage metrics is available 48-96 hours after online publication and is updated daily on week days.
Initial download of the metrics may take a while.





